教程
高斯分布
高斯分布 (Gaussian Distribution),又称正态分布 (Normal Distribution),是描述连续型随机变量分布规律的一种概率分布。
(1) 一维高斯分布

-
μ :均值/数学期望(分布的中心位置),数据集中在均值 μ 附近。
-
σ2 :方差(衡量数据离散程度,σ 为标准差)。
-
exp(⋅):自然指数函数。
-- 简单理解:水机变量集中分布在均值附近的分布。
高斯白噪声
均值通常为 0的高斯噪声。
多维高斯分布
什么是高斯的维数?
就是高斯函数的自变量有几个。
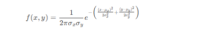
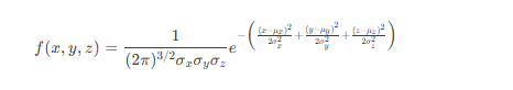
一维:

二维:

三维:

多维高斯pdf:

-
x:n 维向量。
-
μ:均值向量。
-
Σ:协方差矩阵(描述各维度的方差和相关性)。
-
Σ−1:协方差矩阵的逆矩阵。
k 维高斯分布的PDF为:

-
参数:
-
μ:均值向量(k×1)。
-
x:k维向量,表示有k个自变量。
-
Σ:协方差矩阵(k×k,对称正定)。
-
-
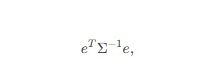
马氏距离(Mahalanobis Distance):

应用场景
- 多变量数据建模(如机器人位姿估计)。
表达式解释


为什么需要转置?
在多维高斯分布的指数部分,(x−μ),Σ都是矩阵,矩阵乘法需要满足左矩阵的列数等于右矩阵行数,才能计算,所以:
- Σ−1是 n×n 的矩阵。
- x−μ 是 n×1的列向量。
- 为了矩阵乘法合法,需将第一个向量转为行向量(1×n),即 (x−μ)T。
多维高斯函数中的二次型
在多维高斯分布的指数部分,(x−μ)TΣ−1(x−μ)是一个二次型(Quadratic Form),应该说是一个加加权二次型。
二次型是线性代数和多元统计中的核心概念。
对于 n 维向量 x∈Rn 和一个 n×n的对称矩阵 A,x的二次型定义为:

加权二次型
即二次型中的对称矩阵A有权重:
slam中最小二乘的误差的加权二次型,定义为:
