四相Costas 环法提取相干载波的工作原理如图所示

此方法是Costas 环法的扩展变形。
进入数字接收机的QPSK 信号与数控振荡器生成的本地信号
以及其经过
移相所得共四路信号分别相乘,并且将四路结果分别经过低通滤波器滤除不需要的高频分量,之后对这四路信号进行乘法运算完成鉴相,鉴相结果送入环路滤波器(LF),其输出结果送入NCO 对生成本地信号进行控制。
设本地NCO 输出的信号为:

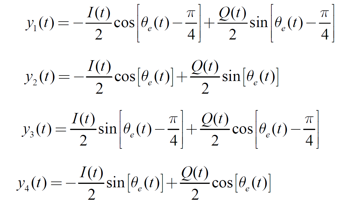
输入信号与四路不同相位信号的相乘,并且经过低通滤波之后输出的信号分别为:

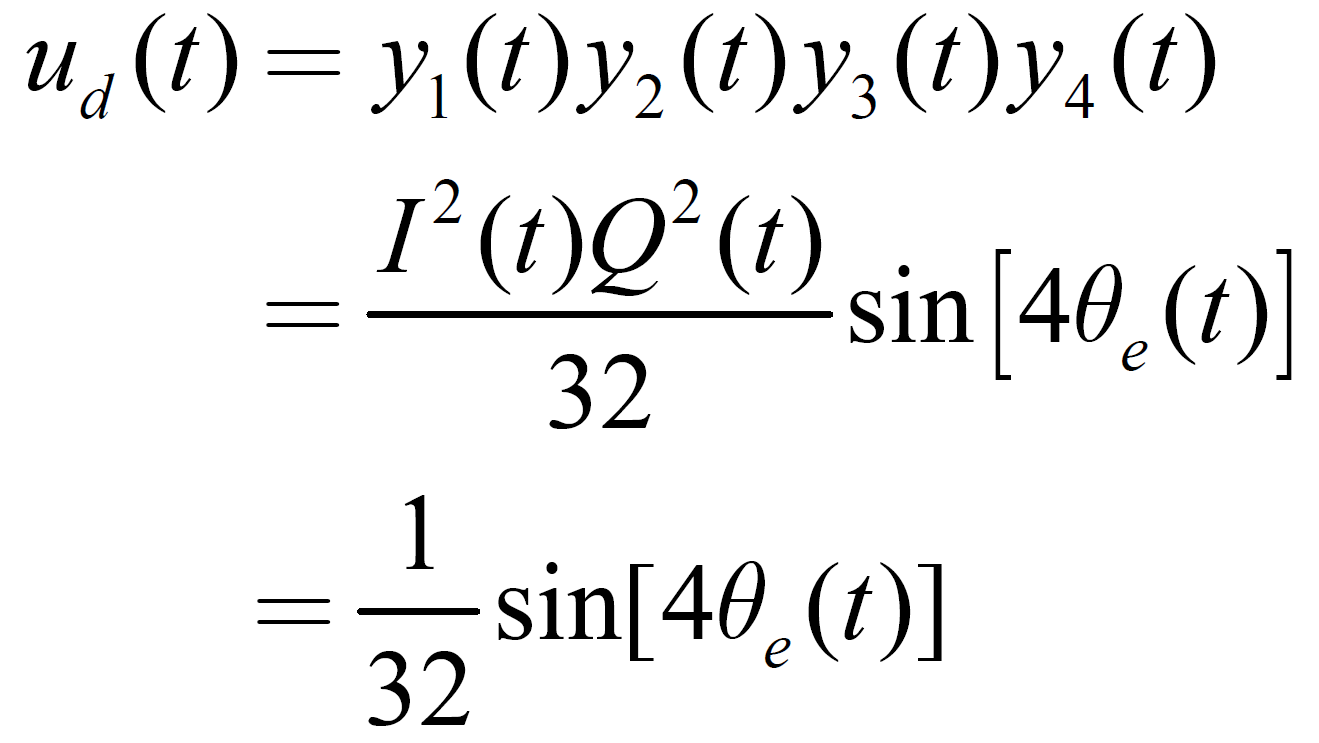
将此四路信号相乘得到等效鉴相输出为:

式中,
为相位误差,从等效鉴相输出结果可以看出,四相 Costas 同步环路也是在在 0、
附近具有锁定状态,其等效鉴相特性与四次方环法相同。