一. 概念
又称二叉排序树、二叉查找树
性质、判定:
1. 若它的左子树不为空,则左子树上所有节点的值都小于根节点的值
2. 若它的右子树不为空,则右子树上所有节点的值都大于根节点的值
3. 它的左右子树都是二叉搜索树
二. 实现
BinarySearchTree.h
cpp
template<class K>
struct BSTreeNode
{
BSTreeNode<K>* _left;
BSTreeNode<K>* _right;
K _key;
BSTreeNode(const K& key)
:_left(nullptr)
, _right(nullptr)
, _key(key)
{ }
};
template<class K>
class BSTree
{
typedef BSTreeNode<K> Node;
public:
BSTree()
:_root(nullptr)
{ }
bool Insert(const K& key) {}
bool Find(const K& key) {}
bool Erase(const K& key) {}
void InOrder() {}
private:
void _InOrder(Node* root) {}
private:
Node* _root;
};
void TestBSTree1()
{
int a[] = { 8, 3, 1, 10, 6, 4, 7, 14, 13 };
BSTree<int> t;
for (auto e : a)
{
t.Insert(e);
}
t.InOrder();
t.Erase(4);
t.InOrder();
t.Erase(6);
t.InOrder();
t.Erase(7);
t.InOrder();
t.Erase(3);
t.InOrder();
for (auto e : a)
{
t.Erase(e);
}
t.InOrder();
}
1. 查找
从根开始比较,查找,比根大则往右边走查找,比根小则往左边走查找
最多找高度次:O(N)

红黑树、AVL树:O(logN)
cpp
bool Find(const K& key)
{
Node* cur = _root;
while (cur)
{
if (cur->_key < key)
{
cur = cur->_right;
}
else if (cur->_key > key)
{
cur = cur->_left;
}
else
{
return true;
}
}
return false;
}
2. 插入
树为空,则直接新增节点,赋值给 root 指针
树不空,按二叉搜索树性质查找插入位置,插入新节点

cpp
bool Insert(const K& key)
{
if (_root == nullptr)
{
_root = new Node(key);
return true;
}
Node* parent = nullptr;
Node* cur = _root;
while (cur)
{
if (cur->_key < key)
{
parent = cur;
cur = cur->_right;
}
else if (cur->_key > key)
{
parent = cur;
cur = cur->_left;
}
else
{
return false;
}
}
cur = new Node(key);
if (parent->_key < key)
{
parent->_right = cur;
}
else
{
parent->_left = cur;
}
return true;
}
3. 中序遍历
中序遍历(左子树、根、右子树)二叉搜索树的结果是排序的结果
cpp
void InOrder(Node* root)
{
if (root == nullptr)
{
return;
}
InOrder(root->_left);
cout << root->_key << " ";
InOrder(root->_right);
}
有问题,我们在外面用对象调用中序遍历要传私有成员变量 _root,但是私有我们不能在类外面用
cpp
BSTree<int> t;
t.InOrder();
可以这样解决:
cpp
void InOrder()
{
_InOrder(_root);
cout << endl;
}
void _InOrder(Node* root)
{
if (root == nullptr)
{
return;
}
_InOrder(root->_left);
cout << root->_key << " ";
_InOrder(root->_right);
}
4. 删除
要删的节点有3种情况:
1. 没有孩子:托孤
2. 有1个孩子:托孤
3. 有2个孩子:和左子树的最大节点(左子树的最右节点) **或****右子树的最小节点(右子树的最左节点)**替换

cpp
bool Erase(const K& key)
{
Node* parent = nullptr;
Node* cur = _root;
while (cur)
{
if (cur->_key < key)
{
parent = cur;
cur = cur->_right;
}
else if (cur->_key > key)
{
parent = cur;
cur = cur->_left;
}
else // 树中找到了要删除的节点cur
{
// ......
delete cur;
return true;
}
}
return false;
}
cur 左为空(也解决了没有孩子,左右都为空):

cpp
else // 树中找到了要删除的节点cur
{
// cur左为空
if (cur->_left == nullptr)
{
if (parent->_right == cur)
{
parent->_right = cur->_right;
}
else
{
parent->_left = cur->_right;
}
}
// ......
delete cur;
return true;
}
但有这种特殊情况:

cpp
else // 树中找到了要删除的节点cur
{
// cur左为空
if (cur->_left == nullptr)
{
if (cur == _root)
{
_root = cur->_right;
}
else
{
if (parent->_right == cur)
{
parent->_right = cur->_right;
}
else
{
parent->_left = cur->_right;
}
}
}
// ......
delete cur;
return true;
}
cur 右为空:同理

cpp
else // 树中找到了要删除的节点cur
{
// cur左为空
if (cur->_left == nullptr) { }
// cur右为空
else if (cur->_right == nullptr)
{
if (cur == _root)
{
_root = cur->_left;
}
else
{
if (parent->_right == cur)
{
parent->_right = cur->_left;
}
else // parent->_left == cur
{
parent->_left = cur->_left;
}
}
}
// ......
delete cur;
return true;
}
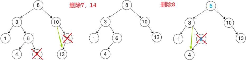
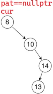
cur 左右都不为空: 替换以左子树的最大节点(左子树的最右节点)为例

**注意:**leftMax 是左子树的最右节点,leftMax 这个节点一定不会有右子树,可能有左子树
**注意:**这里是左右都不为空的情况,而且我们要去左子树找最右节点,所以 leftMax 可直接定义为 cur->_left;parent 可直接定义为 cur
如果 leftMax 定义为 cur,parent 定义为 nullptr,例3会坑

**注意:**替换后要通过找到父亲直接删(一定可以直接删,因为 leftMax 右一定为空)。不能递归删(7 < 8,在右子树找,找不到,删不了)。因为搜索树的结构变了,而且无法传根,无法控制;进而导致不满足二叉搜索树的性质

cpp
else // 树中找到了要删除的节点cur
{
// cur左为空
if (cur->_left == nullptr) { }
// cur右为空
else if (cur->_right == nullptr) { }
// cur左右都不为空
else
{
// 找替代节点
Node* parent = cur;
Node* leftMax = cur->_left;
while (leftMax->_right)
{
parent = leftMax;
leftMax = leftMax->_right;
}
swap(cur->_key, leftMax->_key);
if (parent->_left == leftMax)
{
parent->_left = leftMax->_left;
}
else // parent->_right == leftMax
{
parent->_right = leftMax->_left;
}
cur = leftMax;
}
delete cur;
return true;
}
三. 递归版实现
C++里,凡是树形结构递归,都要单独写子函数。因为递归是子问题,要控制子树
BinarySearchTree.h
cpp
template<class K>
struct BSTreeNode
{
BSTreeNode<K>* _left;
BSTreeNode<K>* _right;
K _key;
BSTreeNode(const K& key)
:_left(nullptr)
, _right(nullptr)
, _key(key)
{ }
};
template<class K>
class BSTree
{
typedef BSTreeNode<K> Node;
public:
BSTree()
:_root(nullptr)
{ }
void InOrder()
{
_InOrder(_root);
cout << endl;
}
bool FindR(const K& key)
{
return _FindR(_root, key);
}
bool InsertR(const K& key)
{
return _InsertR(_root, key);
}
bool EraseR(const K& key)
{
return _EraseR(_root, key);
}
private:
bool _FindR(Node* root, const K& key) {}
bool _InsertR(Node*& root, const K& key) {}
bool _EraseR(Node*& root, const K& key) {}
void _InOrder(Node* root) {}
private:
Node* _root;
};
1. 查找
比根大,在右子树找;比根小,在左子树找;到空还没找到,则不存在
cpp
bool FindR(const K& key)
{
return _FindR(_root, key);
}
bool _FindR(Node* root, const K& key)
{
if (root == nullptr)
return false;
if (root->_key < key)
{
return _FindR(root->_right, key);
}
else if (root->_key > key)
{
return _FindR(root->_left, key);
}
else
{
return true;
}
}
2. 插入
插入的值 < 根:往左子树去插入
插入的值 > 根:往右子树去插入
插入的值 == 根:插入失败
走到空的地方就可以插入
怎么插入?new Node(key),但还要找父亲,怎么解决?加引用成为 Node* **&**root
这里指针的作用:链接树
这里引用的作用:下一层改变影响上一层
cpp
bool InsertR(const K& key)
{
return _InsertR(_root, key);
}
bool _InsertR(Node*& root, const K& key)
{
if (root == nullptr)
{
root = new Node(key);
return true;
}
if (root->_key < key)
{
return _InsertR(root->_right, key);
}
else if (root->_key > key)
{
return _InsertR(root->_left, key);
}
else
{
return false;
}
}
如果是空树,root 是 _root 的别名,new 的第一个节点刚好给 _root
如果不是空树,层层往下递归,前面的引用不起作用,每一层(每一个栈帧)都有一个引用

6 是对象,把左指针这个成员传给下一层,下一层的 root 是 6 的左指针的别名(引用此时不发挥作用)
5 > 4,把 4 的右指针往下传,root 是 4 的右指针的别名
4 的右指针为空 ==> 插入
new节点,给 root,对 root 修改,就是对 4 的右指针修改
这一句赋值,直接就链接上了,不用找父亲,不用比较大小

3. 删除
先找有没有要删的节点,找到了就删,同样分3种情况:左为空、右为空、左右都为空
cpp
bool EraseR(const K& key)
{
return _EraseR(_root, key);
}
bool _EraseR(Node*& root, const K& key)
{
if (root == nullptr) // 树里没有
return false;
if (root->_key < key)
{
return _EraseR(root->_right, key);
}
else if (root->_key > key)
{
return _EraseR(root->_left, key);
}
else // 找到了,准备删
{
Node* del = root;
if (root->_left == nullptr) // 1.左为空
{
root = root->_right;
}
else if (root->_right == nullptr) // 2.右为空
{
root = root->_left;
}
else // 3. 左右都不为空
{ }
delete del;
return true;
}
}

3 < 6,3 的右指针往下传,root 是 3 的右指针的别名
此时 root 是 6,找到了,开始删:root 左为空,把 root(3的右指针)赋值为 root 的右指针
root 的右指针指向 7 ==>3 的右指针指向 7,完成了链接关系

root 是 _root 的别名 ,上来就找到了,开始删:
root 不为空,root = root->_right 就是 _root = _root->_right;
左右都为空:找替代节点(以找左树的最右节点为例,最右节点的右一定为空)
以刚开始就找到要删的 8 为例:
转化为删红圈的节点。非递归实现一定可以找父亲,直接删;不能递归删

我们现在有了引用,root 是 _root 的别名
但在 root 当前位置发挥不了作用,因为不需要改 _root,所以不能直接在最大的树删除
可以转化为在蓝圈的树中删,递归往下走,一定是右为空的情况。那时,root 是 6 的右指针的别名
走这个情形:

cpp
else // 3. 左右都不为空
{
Node* leftMax = root->_left;
while (leftMax->_right)
{
leftMax = leftMax->_right;
}
swap(root->_key, leftMax->_key);
return _EraseR(root->_left, key);
}
这种方法在替换后,会在左子树再找一遍要删除的节点,但代价不大
第11行递归进去之后,不会再次走这个左右都不为空的 else
4. 析构、拷贝、赋值
析构: 析构也得写子函数,因为要递归,析构函数都没有参数
二叉树:用后序遍历删除,循环不好用
拷贝: 不能调 Insert,会改变树的形状
走前序遍例赋值
默认的拷贝构造是浅拷贝,会出错,要自己实现深拷贝
赋值:现代写法
cpp
BSTree(const BSTree<K>& t)
{
_root = Copy(t._root);
}
BSTree<K>& operator=(BSTree<K> t)
{
swap(_root, t._root);
return *this;
}
~BSTree()
{
Destroy(_root);
}
void Destroy(Node*& root)
{
if (root == nullptr)
return;
Destroy(root->_left);
Destroy(root->_right);
delete root;
root = nullptr; // 这就是传引用的原因
}
Node* Copy(Node* root)
{
if (root == nullptr)
return nullptr;
Node* copyroot = new Node(root->_key);
copyroot->_left = Copy(root->_left);
copyroot->_right = Copy(root->_right);
return copyroot;
}
非递归+递归整体代码
cpp
template<class K>
struct BSTreeNode
{
BSTreeNode<K>* _left;
BSTreeNode<K>* _right;
K _key;
BSTreeNode(const K& key)
:_left(nullptr)
, _right(nullptr)
, _key(key)
{ }
};
template<class K>
class BSTree
{
typedef BSTreeNode<K> Node;
public:
BSTree()
:_root(nullptr)
{ }
BSTree(const BSTree<K>& t)
{
_root = Copy(t._root);
}
BSTree<K>& operator=( BSTree<K> t)
{
swap(_root, t._root);
return *this;
}
~BSTree()
{
Destroy(_root);
}
bool Insert(const K& key)
{
if (_root == nullptr)
{
_root = new Node(key);
return true;
}
Node* parent = nullptr;
Node* cur = _root;
while (cur)
{
if (cur->_key < key)
{
parent = cur;
cur = cur->_right;
}
else if (cur->_key > key)
{
parent = cur;
cur = cur->_left;
}
else
{
return false;
}
}
cur = new Node(key);
if (parent->_key < key)
{
parent->_right = cur;
}
else
{
parent->_left = cur;
}
return true;
}
bool Find(const K& key)
{
Node* cur = _root;
while (cur)
{
if (cur->_key < key)
{
cur = cur->_right;
}
else if (cur->_key > key)
{
cur = cur->_left;
}
else
{
return true;
}
}
return false;
}
bool Erase(const K& key)
{
Node* parent = nullptr;
Node* cur = _root;
while (cur)
{
if (cur->_key < key)
{
parent = cur;
cur = cur->_right;
}
else if (cur->_key > key)
{
parent = cur;
cur = cur->_left;
}
else // 树中找到了要删除的节点cur
{
// cur左为空
if (cur->_left == nullptr)
{
if (cur == _root)
{
_root = cur->_right;
}
else
{
if (parent->_right == cur)
{
parent->_right = cur->_right;
}
else // parent->_left == cur
{
parent->_left = cur->_right;
}
}
}
// cur右为空
else if (cur->_right == nullptr)
{
if (cur == _root)
{
_root = cur->_left;
}
else
{
if (parent->_right == cur)
{
parent->_right = cur->_left;
}
else // parent->_left == cur
{
parent->_left = cur->_left;
}
}
}
// cur左右都不为空
else
{
// 找替代节点
Node* parent = cur;
Node* leftMax = cur->_left;
while (leftMax->_right)
{
parent = leftMax;
leftMax = leftMax->_right;
}
swap(cur->_key, leftMax->_key);
if (parent->_left == leftMax)
{
parent->_left = leftMax->_left;
}
else // parent->_right == leftMax
{
parent->_right = leftMax->_left;
}
cur = leftMax;
}
delete cur;
return true;
}
}
return false;
}
void InOrder()
{
_InOrder(_root);
cout << endl;
}
bool FindR(const K& key)
{
return _FindR(_root, key);
}
bool InsertR(const K& key)
{
return _InsertR(_root, key);
}
bool EraseR(const K& key)
{
return _EraseR(_root, key);
}
private:
void Destroy(Node*& root)
{
if (root == nullptr)
return;
Destroy(root->_left);
Destroy(root->_right);
delete root;
root = nullptr; // 这就是传引用的原因
}
Node* Copy(Node* root)
{
if (root == nullptr)
return nullptr;
Node* copyroot = new Node(root->_key);
copyroot->_left = Copy(root->_left);
copyroot->_right = Copy(root->_right);
return copyroot;
}
bool _FindR(Node* root, const K& key)
{
if (root == nullptr)
return false;
if (root->_key < key)
{
return _FindR(root->_right, key);
}
else if (root->_key > key)
{
return _FindR(root->_left, key);
}
else
{
return true;
}
}
bool _InsertR(Node*& root, const K& key)
{
if (root == nullptr)
{
root = new Node(key);
return true;
}
if (root->_key < key)
{
return _InsertR(root->_right, key);
}
else if (root->_key > key)
{
return _InsertR(root->_left, key);
}
else
{
return false;
}
}
bool _EraseR(Node*& root, const K& key)
{
if (root == nullptr) // 树里没有
return false;
if (root->_key < key)
{
return _EraseR(root->_right, key);
}
else if (root->_key > key)
{
return _EraseR(root->_left, key);
}
else // 找到了,准备删
{
Node* del = root;
if (root->_left == nullptr) // 1.左为空
{
root = root->_right;
}
else if (root->_right == nullptr) // 2.右为空
{
root = root->_left;
}
else // 3. 左右都不为空
{
Node* leftMax = root->_left;
while (leftMax->_right)
{
leftMax = leftMax->_right;
}
swap(root->_key, leftMax->_key);
return _EraseR(root->_left, key);
}
delete del;
return true;
}
}
void _InOrder(Node* root)
{
if (root == nullptr)
{
return;
}
_InOrder(root->_left);
cout << root->_key << " ";
_InOrder(root->_right);
}
private:
Node* _root;
};
void TestBSTree1()
{
int a[] = { 8, 3, 1, 10, 6, 4, 7, 14, 13 };
BSTree<int> t;
for (auto e : a)
{
t.InsertR(e);
}
t.InOrder();
t.EraseR(4);
t.InOrder();
t.EraseR(6);
t.InOrder();
t.EraseR(7);
t.InOrder();
t.EraseR(3);
t.InOrder();
for (auto e : a)
{
t.EraseR(e);
}
t.InOrder();
}
void TestBSTree2()
{
int a[] = { 8, 3, 1, 10, 6, 4, 7, 14, 13 };
BSTree<int> t;
for (auto e : a)
{
t.InsertR(e);
}
BSTree<int> t1(t);
t.InOrder();
t1.InOrder();
}
四. 应用模型
1. key 的搜索模型
快速判断在不在的场景
门禁系统、小区车辆出入系统 ......
2. key_value 的搜索模型
通过一个值找另一个值
商场的车辆出入系统、高铁实名制车票系统 ......
cpp
namespace key_value
{
template<class K, class V>
struct BSTreeNode
{
BSTreeNode<K, V>* _left;
BSTreeNode<K, V>* _right;
K _key;
V _value;
BSTreeNode(const K& key, const V& value)
:_left(nullptr)
, _right(nullptr)
, _key(key)
, _value(value)
{ }
};
template<class K, class V>
class BSTree
{
typedef BSTreeNode<K, V> Node;
public:
BSTree()
:_root(nullptr)
{ }
void InOrder()
{
_InOrder(_root);
cout << endl;
}
Node* FindR(const K& key)
{
return _FindR(_root, key);
}
bool InsertR(const K& key, const V& value)
{
return _InsertR(_root, key, value);
}
bool EraseR(const K& key)
{
return _EraseR(_root, key);
}
private:
Node* _FindR(Node* root, const K& key)
{
if (root == nullptr)
return nullptr;
if (root->_key < key)
{
return _FindR(root->_right, key);
}
else if (root->_key > key)
{
return _FindR(root->_left, key);
}
else
{
return root;
}
}
bool _InsertR(Node*& root, const K& key, const V& value)
{
if (root == nullptr)
{
root = new Node(key, value);
return true;
}
if (root->_key < key)
{
return _InsertR(root->_right, key, value);
}
else if (root->_key > key)
{
return _InsertR(root->_left, key, value);
}
else
{
return false;
}
}
bool _EraseR(Node*& root, const K& key)
{
if (root == nullptr) // 树里没有
return false;
if (root->_key < key)
{
return _EraseR(root->_right, key);
}
else if (root->_key > key)
{
return _EraseR(root->_left, key);
}
else // 找到了,准备删
{
Node* del = root;
if (root->_left == nullptr) // 1.左为空
{
root = root->_right;
}
else if (root->_right == nullptr) // 2.右为空
{
root = root->_left;
}
else // 3. 左右都不为空
{
Node* leftMax = root->_left;
while (leftMax->_right)
{
leftMax = leftMax->_right;
}
swap(root->_key, leftMax->_key);
return _EraseR(root->_left, key);
}
delete del;
return true;
}
}
void _InOrder(Node* root)
{
if (root == nullptr)
{
return;
}
_InOrder(root->_left);
cout << root->_key << ":" << root->_value << endl;
_InOrder(root->_right);
}
private:
Node* _root;
};
}
拼写检查:读取词库放到一颗搜索树;读取单词,看在不在树中,不在则拼写错误
cpp
void TestBSTree1()
{
BSTree<string, string> dict;
dict.InsertR("hello", "你好");
dict.InsertR("tree", "树");
dict.InsertR("apple", "苹果");
dict.InsertR("day", "天");
string str;
while (cin >> str)
{
BSTreeNode<string, string>* ret = dict.FindR(str);
if (ret != nullptr)
{
cout << ret->_value << endl;
}
else
{
cout << "没有此单词" << endl;
}
}
}

统计出现次数
cpp
void TestBSTree2()
{
string arr[] = { "苹果", "西瓜", "苹果", "西瓜", "苹果",
"苹果", "西瓜", "苹果", "香蕉", "苹果", "香蕉" };
BSTree<string, int> countTree;
for (auto& str : arr)
{
BSTreeNode<string, int>* ret = countTree.FindR(str);
if (ret == nullptr)
{
countTree.InsertR(str, 1);
}
else
{
ret->_value++;
}
}
countTree.InOrder();
}

本篇的分享就到这里了,感谢观看 ,如果对你有帮助,别忘了点赞+收藏+关注 。
小编会以自己学习过程中遇到的问题为素材,持续为您推送文章