LeetCode 面试经典 150_二叉树层次遍历_二叉树的层平均值(82_637_C++_简单)
题目描述:
给定一个非空二叉树的根节点 root , 以数组的形式返回每一层节点的平均值。与实际答案相差 10-5 以内的答案可以被接受。
输入输出样例:
示例 1:

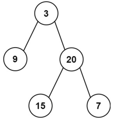
输入 :root = [3,9,20,null,null,15,7]
输出 :[3.00000,14.50000,11.00000]
解释 :第 0 层的平均值为 3,第 1 层的平均值为 14.5,第 2 层的平均值为 11 。
因此返回 [3, 14.5, 11] 。
示例 2:

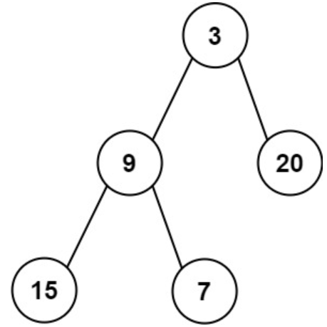
输入 :root = [3,9,20,15,7]
输出:[3.00000,14.50000,11.00000]
提示:
树中节点数量在 [1, 104] 范围内
-231 <= Node.val <= 231 - 1
题解:
解题思路:
思路一(BFS):
1、采用层次遍历的思想,计算每层结点值的总和 和结点个数 ,再计算每层的平均值。采用层次遍历的思想,当一层遍历完,队列中的元素为下一层的全部结点 。
2、复杂度分析:
① 时间复杂度:O(n),其中 n 是二叉树中的节点个数。遍历了一遍二叉树。
② 空间复杂度:O(n),其中 n 是二叉树中的节点个数。空间复杂度取决于队列开销,队列中的节点个数不会超过 n。
代码实现
代码实现(思路一(BFS)):
cpp
class Solution{
public:
vector<double> averageOfLevels(TreeNode *root){
// 创建一个队列,用于进行广度优先遍历 (BFS)
queue<TreeNode*> Q;
// 将根节点加入队列
Q.push(root);
// 存储每一层的平均值
vector<double> ans;
// 当队列不为空时,继续遍历
while (!Q.empty()){
// 当前层的节点值总和
double sum = 0;
// 当前层的节点个数
int size = Q.size();
// 遍历当前层的所有节点
for (int i = 0; i < size; i++){
// 获取队列中的第一个节点
TreeNode *node = Q.front();
// 将该节点的值累加到 sum
sum += node->val;
// 弹出队列中的该节点
Q.pop();
// 如果当前节点有左子树,将左子树加入队列
if (node->left != nullptr) Q.push(node->left);
// 如果当前节点有右子树,将右子树加入队列
if (node->right != nullptr) Q.push(node->right);
}
// 计算当前层的平均值,并将其加入结果数组
ans.push_back(sum / size);
}
// 返回存储所有层平均值的数组
return ans;
}
};
以思路一为例进行调试
cpp
#include<iostream>
#include<vector>
#include<queue>
using namespace std;
struct TreeNode{
int val;
TreeNode *left;
TreeNode *right;
TreeNode():val(0),left(nullptr),right(nullptr){}
TreeNode(int x):val(x),left(nullptr),right(nullptr){}
TreeNode(int x,TreeNode *left,TreeNode *right):val(x),left(left),right(right){}
};
TreeNode *createTree(vector<int> nums){
if (nums.empty()){
return nullptr;
}
TreeNode *root=new TreeNode(nums[0]);
queue<TreeNode *> Q;
Q.push(root);
int i=1;
while (i<nums.size()){
TreeNode *node = Q.front();
Q.pop();
if (i<nums.size()&&nums[i]!=-1){
node->left=new TreeNode(nums[i]);
Q.push(node->left);
}
i++;
if (i<nums.size()&&nums[i]!=-1){
node->right=new TreeNode(nums[i]);
Q.push(node->right);
}
i++;
}
return root;
}
class Solution{
public:
vector<double> averageOfLevels(TreeNode *root){
// 创建一个队列,用于进行广度优先遍历 (BFS)
queue<TreeNode*> Q;
// 将根节点加入队列
Q.push(root);
// 存储每一层的平均值
vector<double> ans;
// 当队列不为空时,继续遍历
while (!Q.empty()){
// 当前层的节点值总和
double sum = 0;
// 当前层的节点个数
int size = Q.size();
// 遍历当前层的所有节点
for (int i = 0; i < size; i++){
// 获取队列中的第一个节点
TreeNode *node = Q.front();
// 将该节点的值累加到 sum
sum += node->val;
// 弹出队列中的该节点
Q.pop();
// 如果当前节点有左子树,将左子树加入队列
if (node->left != nullptr) Q.push(node->left);
// 如果当前节点有右子树,将右子树加入队列
if (node->right != nullptr) Q.push(node->right);
}
// 计算当前层的平均值,并将其加入结果数组
ans.push_back(sum / size);
}
// 返回存储所有层平均值的数组
return ans;
}
};
int main(int argc, char const *argv[])
{
vector<int> nums = {3,9,20,-1,-1,15,7};
TreeNode *root= createTree(nums);
Solution s;
vector<double> ans= s.averageOfLevels(root);
for(auto &i:ans){
cout<<i<<" ";
}
return 0;
}
LeetCode 面试经典 150_二叉树层次遍历_二叉树的层平均值(82_637)原题链接
欢迎大家和我沟通交流(✿◠‿◠)