1.高斯消元法求矩阵的零空间
2.行最简形式求矩阵的零空间
1.高斯消元法求矩阵的零空间

csharp
1).对矩阵进行高斯消元
a.第2行 = 第2行 - 2 × 第1行
b.第3行 = 第3行 - 3 × 第1行
c.第3行 = 第3行 - 第2行

csharp
2).识别主元和自由变量
a.主元位置: 第一列和第三列
b.主元变量: x1, x3
c.自由变量: x2, x4
csharp
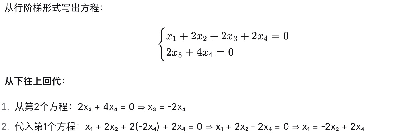
3).回代求解

csharp
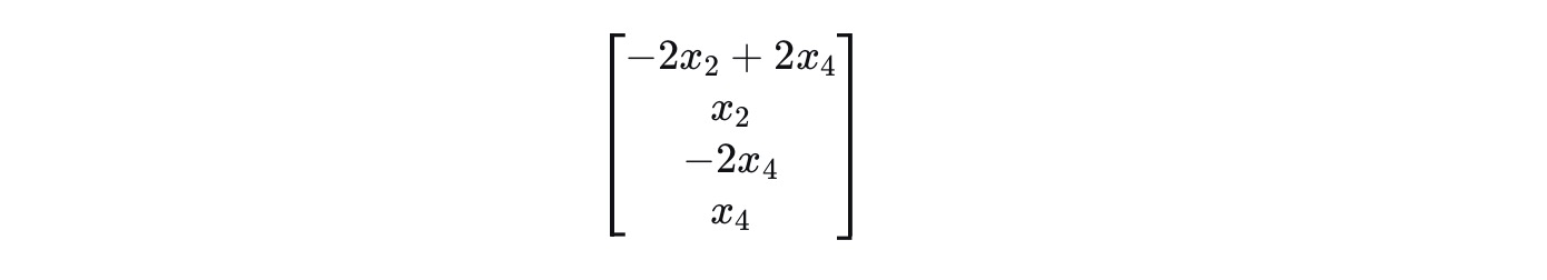
4).将x1, x2, x3, x4写为列向量

csharp
将x2, x4提出, 得出方程Ax = 0的解; 下面的形式表示方程的通解
注: "零空间中自由变量对应的是单位向量"

csharp
假设有n个变量, r个主元(即秩为r), 那么自由变量的个数为n - r
我们构造零空间基向量的目标是找到n - r个线性无关的向量, 使得这些向量的任意线性组合都
是方程的解, 并且这些向量张成整个零空间
方法如下:
a.每次令一个自由变量取1, 其余自由变量取0
b.通过回代(或直接从行最简形式)求出基本变量的值
c.为什么自由变量部分要取单位向量? 因为这样构造的向量是线性无关的
csharp
下面的向量称为方程的特解

csharp
矩阵A的零空间是"Ax = 0的特解的线性组合成", 特解的个数就等于自由变量的个数, 因为
每一个自由变量对应一个特解
2.行最简形式求矩阵的零空间

csharp
1).将矩阵化为行最简形式
a.第2行 = 第2行 - 2 × 第1行
b.第3行 = 第3行 - 3 × 第1行
c.第3行 = 第3行 - 第2行
d.第2行 = 第2行 ÷ 2
e.第1行 = 第1行 - 2 × 第2行

csharp
2).观察通过高斯消元法求解的特解矩阵

csharp
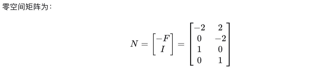
3).将R矩阵分为单位矩阵和F的形式

csharp
将特解矩阵分为单位矩阵和-F的形式

csharp
实例:

csharp
1).识别基本变量和自由变量
a.主元列: 第1列和第3列
b.基本变量: x₁, x₃
c.自由变量: x₂, x₄
csharp
2).构造F矩阵

csharp
3).构造零矩阵

csharp
我们的自由向量是x2, x4, 自由向量对应的值的单位向量, 因此需要交换第二行和第三行的
顺序
