基于因子图(Factor Graph)与和积算法(Sum-Product Algorithm)的MATLAB实现
一、算法架构设计
1. 因子图建模
因子图由变量节点(Variable Nodes)和因子节点(Factor Nodes)构成二部图:
- 变量节点 :表示随机变量(如x1,x2x_1, x_2x1,x2)
- 因子节点 :表示变量间的函数关系(如f(x1,x2)f(x_1,x_2)f(x1,x2))
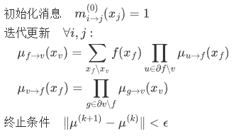
2. 和积算法流程

二、MATLAB核心实现
1. 数据结构定义
matlab
% 因子图结构体
graph = struct(...
'var_nodes', {{'x1', 'x2', 'x3'}}, ... % 变量节点
'fac_nodes', {{@f1, @f2}}, ... % 因子函数句柄
'edges', {[1,2; 2,3]}); % 边连接关系
% 消息存储(对数域避免下溢)
log_messages = cell(length(graph.var_nodes), length(graph.fac_nodes));
2. 因子函数定义示例
matlab
% 定义因子函数 f1(x1,x2) = exp(-0.5*(x1^2 + x2^2 + 2 * 0.3*x1*x2))
function f = f1(x1, x2)
cov = [1, 0.3; 0.3, 1]; % 协方差矩阵
f = mvnpdf([x1, x2], [0,0], cov);
end
% 定义因子函数 f2(x2,x3) = exp(-0.5*(x2^2 + x3^2))
function f = f2(x2, x3)
cov = [1, 0; 0, 1];
f = mvnpdf([x2, x3], [0,0], cov);
end
3. 消息传递算法实现
matlab
function [log_beliefs, converged] = sum_product(graph, max_iter, epsilon)
% 初始化消息
num_vars = numel(graph.var_nodes);
num_facs = numel(graph.fac_nodes);
log_messages = cell(num_vars, num_facs);
for i = 1:num_vars
for j = 1:num_facs
log_messages{i,j} = zeros(1, 2); % 假设变量为二元变量
end
end
% 迭代更新
converged = false;
for iter = 1:max_iter
log_messages_old = log_messages;
% 因子→变量消息更新
for f = 1:num_facs
fac_node = graph.fac_nodes{f};
connected_vars = find(graph.edges(:,f));
for v = connected_vars
% 计算边缘化消息
product = 0;
for u = connected_vars
if u ~= v
product = product + log_messages{u,f};
end
end
log_message = fac_node(connected_vars{v}) + product;
log_messages{v,f} = log_message;
end
end
% 变量→因子消息更新
for v = 1:num_vars
connected_facs = find(graph.edges(:,v));
for f = connected_facs
product = sum(log_messages{v,f});
for u = connected_facs
if u ~= f
product = product + log_messages{v,u};
end
end
log_beliefs{v} = log_beliefs{v} + product;
end
end
% 收敛判断
if max(abs(log_messages(:) - log_messages_old(:))) < epsilon
converged = true;
break;
end
end
end
三、参考
- 参考代码
- 因子图和和积算法的matlab实现 youwenfan.com/contentcsm/52466.html
- 仿真案例
- LDPC编解码仿真 github.com/ldpcmatlab/ldpc-code
基于和积算法的迭代译码实现
- LDPC编解码仿真 github.com/ldpcmatlab/ldpc-code