38. 二叉树的最大深度
题目描述
给定一个二叉树 root ,返回其最大深度。
二叉树的 最大深度 是指从根节点到最远叶子节点的最长路径上的节点数。
示例 1:

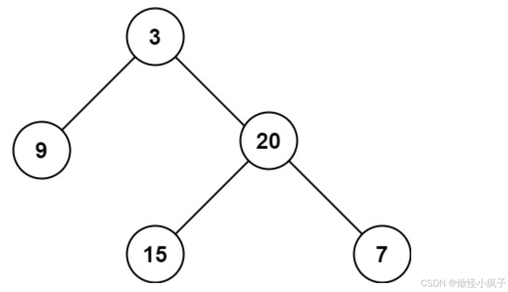
输入:root = [3,9,20,null,null,15,7]
输出:3
示例 2:
输入:root = [1,null,2]
输出:2
提示:
树中节点的数量在 [0, 104] 区间内。
-100 <= Node.val <= 100
求解
深度优先遍历,一棵树的深度就是 max(l, r) + 1,代码如下:
js
var maxDepth = function(root) {
if (!root) return 0;
return Math.max(maxDepth(root.left), maxDepth(root.right)) + 1;
};
广度优先遍历(层遍历)
需要一个队列来维护每一层的节点,遍历一层,用一个 计数器来计算层数。
js
var maxDepth = function(root) {
// 广度优先搜索
// 一层一层拓展,用一个计数器 计数
if (!root) return 0;
let queue = [], ans = 0;
queue.push(root);
while(queue.length !== 0) {
let tmp = [];
for (let node of queue) {
if (node.left) tmp.push(node.left);
if (node.right) tmp.push(node.right);
}
queue = tmp
ans += 1;
}
return ans;
};