【题目来源】
https://www.acwing.com/problem/content/325/
【题目描述】
鲍勃喜欢玩电脑游戏,特别是战略游戏,但有时他找不到解决问题的方法,这让他很伤心。
现在他有以下问题。
他必须保护一座中世纪城市,这条城市的道路构成了一棵树。
每个节点上的士兵可以观察到所有和这个点相连的边。
他必须在节点上放置最少数量的士兵,以便他们可以观察到所有的边。
你能帮助他吗?
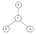
例如,下面的树:

只需要放置 1 名士兵(在节点 1 处),就可观察到所有的边。
【输入格式】
输入包含多组测试数据,每组测试数据用以描述一棵树。
对于每组测试数据,第一行包含整数 N,表示树的节点数目。
接下来 N 行,每行按如下方法描述一个节点。
节点编号:(子节点数目) 子节点 子节点 ...
节点编号从 0 到 N−1,每个节点的子节点数量均不超过 10,每个边在输入数据中只出现一次。
【输出格式】
对于每组测试数据,输出一个占据一行的结果,表示最少需要的士兵数。
【输入样例】
4
0:(1) 1
1:(2) 2 3
2:(0)
3:(0)
5
3:(3) 1 4 2
1:(1) 0
2:(0)
0:(0)
4:(0)
【输出样例】
1
2
【数据范围】
0<N≤1500,
一个测试点所有 N 相加之和不超过 300650。
【算法分析】
● 状态表示
f[u][0] 表示在以 u 为根的子树中选择,并且不选 u 时的最少士兵数。
f[u][1] 表示在以 u 为根的子树中选择,并且选 u 时的最少士兵数。
● 属性:min
● 状态计算(si 表示 u 的第 i 个孩子)
当前 u 不选,子节点一定要选 :f[u][0] = ∑f[si][1]
当前 u 选了,那么子节点可选可不选:f[u][1] = ∑min(f[si][0], f[si][1])
【算法代码】
cpp
#include <bits/stdc++.h>
using namespace std;
const int N=2e3;
const int M=N<<1;
int f[N][2];
int e[M],ne[M],h[N],idx;
void add(int a,int b) {
e[idx]=b,ne[idx]=h[a],h[a]=idx++;
}
void dfs(int u,int fa) {
f[u][1]=1,f[u][0]=0;
for(int i=h[u]; i!=-1; i=ne[i]) {
int j=e[i];
if(j==fa) continue;
dfs(j,u);
f[u][1]+=min(f[j][0],f[j][1]);
f[u][0]+=f[j][1];
}
}
int main() {
int n;
while(cin>>n) {
memset(h,-1,sizeof h);
idx=0;
for(int i=1; i<=n; i++) {
int a,b,m;
scanf("%d:(%d)",&a,&m);
while(m--) {
cin>>b;
add(a,b),add(b,a);
}
}
dfs(1,-1);
cout<<min(f[1][0],f[1][1])<<endl;
}
return 0;
}
/*
in:
4
0:(1) 1
1:(2) 2 3
2:(0)
3:(0)
5
3:(3) 1 4 2
1:(1) 0
2:(0)
0:(0)
4:(0)
out:
1
2
*/
【参考文献】
https://developer.aliyun.com/article/1039179
https://www.cnblogs.com/newblg/p/14406459.html