转置行列式
把上面行列式按照主对角线翻转后结果如下,使用来表示:
转置后,在转置
性质一:
行列地位相同,对行性质,队列性质
证明:
现有一个上三角行列式如下
转置后为下三角行列式
所以
性质二:
用k乘以D的某一行元素,等于用k乘以D
证明:
如下有一个4阶行列式,结果是主对角线相乘
将第一行元素都乘以 k,第一行第一列为1,其他项目均为0,则行列式如下:
所以
如果有n行都乘以k,则
性质三:
交换两行(列)行列式,D值符号改变
证明:
如下有一个3阶行列式,按行展开,依据列标排列统计逆序数,1后面为0,2后面为0,3后面为0, 则逆序数为0+0+0
第一行和第二行交换,按行展开,依据列标排列统计逆序数,2后面为1,1后面为0,3后面为0, 则逆序数为1+0+0
所以
性质四:
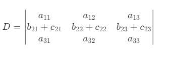
D的某一行为两数之和,则表示成两个行列式的和。
证明:
现有三阶行列式,第二行为第一列为
, 第二行第二列为
, 第二行第二列为
根据三阶行列式,展开结果如下:
将每一项拆分为含
和
的两部分:
上述两部分分别对应两个三阶行列式 D1 和 D2:
因此,
即原行列式可拆分为两个行列式的和。
性质五:
将行列式的某一行(列),乘以一个数k加到另一行,行列式的值不变
证明:
构造三阶行列式D
将 D 的第 2 行乘以 k 加到第 1 行,得到新行列式 D′:
根据 "某一行是两数之和的行列式可拆分为两个行列式的和",将 D′ 拆分为 D1+D2
观察 D2,其第 1 行是第 2 行的 k 倍(两行成比例)。根据行列式性质:"若行列式有两行(列)成比例,则行列式值为 0,因此 D2=0。
结合上述结果,D′=D+0=D,即 "将行列式某一行乘以数 k 加到另一行,行列式值不变"
对称行列式
若行列式 D 满足 转置等于自身 (即),则称 D 为对称行列式。
,转置后
,且元素满足 a12=a21=2、a13=a31=3 等。
若行列式 D 满足 转置等于自身 (即 DT=D),则称 D 为对称行列式。
从元素角度看:对称行列式的元素满足 aij=aji(i,j 为任意行、列下标)。
反对称行列式:
若行列式 D 满足 转置等于自身的相反数 (即 ),则称 D 为反对称行列式。
从元素角度看:反对称行列式的元素满足
(i,j 为任意行、列下标),且主对角线元素 aii=0(令 i=j,则 aii=−aii,故 aii=0)。
,转置后
,且主对角线元素均为 0,满足
、
等。
奇数阶反对称行列式值为 0:
若 D 是 n 阶反对称行列式(n 为奇数),则
,但行列式转置后值不(DT=D),故 D=−D,2D=0,即 D=0;
偶数阶反对称行列式值为完全平方数:




,转置后
,且元素满足 a12=a21=2、a13=a31=3 等。
,转置后
,且主对角线元素均为 0,满足