文章目录
- 一、图像领域的预训练
-
- 1.概念
-
- [1.1 Frozen](#1.1 Frozen)
- [1.2 Fine-Tuning(微调)](#1.2 Fine-Tuning(微调))
- [1.3 预训练的好处](#1.3 预训练的好处)
- 1.4常用的预训练模型:ImageNet
- 二、NLP发展史
-
- [1. 传统的NLP:one-hot编码](#1. 传统的NLP:one-hot编码)
- [2. 语言模型问题背景及基本思想](#2. 语言模型问题背景及基本思想)
- [3. NNLM神经网络语言模型](#3. NNLM神经网络语言模型)
- 3.Word2Vec的诞生
-
- [3.1 改进](#3.1 改进)
- [3.1 两种核心模型](#3.1 两种核心模型)
- [3.2 两种优化算法](#3.2 两种优化算法)
-
- [(1)Hierarchical Softmax(层次Softmax)](#(1)Hierarchical Softmax(层次Softmax))
- [(2)Negative Sampling(负采样)](#(2)Negative Sampling(负采样))
一、图像领域的预训练
1.概念
先用某个训练集合比如训练集合A或训练集合B,对网络进行预训练,在A或B任务上训练网络参数,然后存起来备用,面临第三个任务C时,应用相同的网络结果,在比较浅层的网络结果中,使用在A或B任务上学习好的参数,其他CNN高层参数仍然随机初始化,然后用C任务的训练数据来训练网络,此时有两种方法:
1.1 Frozen
浅层加载的参数在训练C任务过程中不动
**Frozen体现在对所有的预训练参数,让他们不参与梯度下降训练过程,只替换并训练最后的分类头。**
```python
# 冻结所有预训练参数
for param in model.parameters():
param.requires_grad = False
# 只替换并训练最后的分类头
model.fc = nn.Linear(num_ftrs, 10)
# 此时,优化器只对新分类头的参数进行更新
optimizer = optim.SGD(model.fc.parameters(), lr=1e-3, momentum=0.9)
使用场景:
- 下游任务数据集非常小(容易过拟合)。
- 计算资源有限,训练速度快。
- 预训练模型的特征非常通用,与下游任务高度相关(例如,用ImageNet预训练模型做其他动植物分类)。
- 作为一个快速的性能基线
1.2 Fine-Tuning(微调)
解冻预训练模型主干的全部或部分参数,让它们和新分类头一起参与训练。通常为主干设置比分类头更小的学习率,以防止预训练好的特征被破坏性地更新。
python
optimizer = optim.SGD([
{'params': model.fc.parameters(), 'lr': 1e-3}, # 新分类头:大学习率
{'params': (p for n, p in model.named_parameters() if 'fc' not in n), 'lr': 1e-4} # 预训练主干:小学习率
], momentum=0.9)
应用场景:
- 下游任务数据集足够大。
- 下游任务与预训练任务的数据分布存在一定差异(例如,用ImageNet自然图像预训练模型去处理医学X光片)。
- 计算资源充足。
- 通常能获得比冻结方法更高的性能上限。
1.3 预训练的好处
如果训练集比较少的话,直接使用当前神经网络Resnet、Densenet和Inception等网络时,模型的参数会达到百万、千万甚至上亿的个数,但数据量比较少的情况下做这样的训练效果不一定好,这很容易造成过拟合。但是在已经训练好参数的ImageNet上学习数据集少的可怜的C任务,再通过Fine-Funing调整参数就会让它更加适合解决C任务。
1.4常用的预训练模型:ImageNet
- 训练数据足够大。训练了大量提前标注好的数据集,训练数据越大,模型参数越靠谱;
- 数据图像类别多,种类越多,模型越具有通用性。
二、NLP发展史
1. 传统的NLP:one-hot编码
One-hot编码是一种词表示方法,它为基于统计的NLP模型(如n-gram模型)提供了基础的数值化表示,使得基于最大似然估计的概率计算得以实现。具体思想如下:

存在的问题:
(1)数据维度高,计算效率低。
(2)在计算相似度时(余弦相似度或者是欧式距离),向量正交产生,词汇鸿沟,无法理解到语义,只能粗暴得判定这两个单词是否是同一个词。
2. 语言模型问题背景及基本思想

| 特征 | 传统NPL(one-hot+统计) | 特征 |
|---|---|---|
| 核心思想 | 统计共现频率 | 学习分布式表示 |
| 词表示 | one-hot(稀疏/高维/离散) | 词向量(稠密/低维/连续) |
| 工作原理 | 查找统计表,计算条件概率 | 通过神经网络计算条件概率 |
| 泛化能力 | 弱 | 强 |
| 例子 | 没见过"猫"追"球",就认为概率为0 | 知道"猫"近似于"狗","尾巴"近似于"球"推断出"猫"追"球"是合理的。 |
3. NNLM神经网络语言模型
提出了嵌入矩阵,初始化了一个嵌入矩阵,维度为(词汇长度,嵌入维度),将原来超高维度的向量矩阵大幅度降维。预测目标:用前n-1个单词预测第n个单词时,每一个词向量都去找到其对应的嵌入向量,然后通过正向传播,让模型进行预测,接着利用反向传播惩罚参数,最终得到一个能够包含语义关系的嵌入矩阵------能够表示单词之间的相似性。
NNLM的基本架构:
- 输入层:将前 n-1 个单词(作为上下文)通过查找表(Look-up Table) 转换为密集向量(即词向量,Word Embedding)。这一步是NNLM的一个重要贡献,它首次将离散的单词映射到了连续的向量空间。
- 投影层:将上一步得到的多个词向量拼接(concatenate)成一个巨大的输入向量。
- 隐藏层:一个标准的全连接层,使用tanh等激活函数。
- 输出层:一个更大的全连接层,接一个softmax函数,用于预测词汇表中所有单词作为下一个单词的概率。
python
import torch
import torch.nn as nn
import torch.optim as optim
# 计算词之间的余弦相似度
from torch.nn.functional import cosine_similarity
# 设置随机种子以保证结果可重现
torch.manual_seed(42)
# 定义超参数
vocab = ["我", "爱", "人工智能"] # 词汇表
vocab_size = len(vocab) # 词汇表大小
embedding_dim = 2 # 嵌入维度
context_size = 1 # 上下文长度(用前1个词预测下一个词)
hidden_dim = 3 # 隐藏层维度
learning_rate = 0.1
epochs = 50 # 训练轮数
# 创建词到索引的映射
word_to_ix = {word: i for i, word in enumerate(vocab)}
print("词汇映射:", word_to_ix)
#词汇映射: {'我': 0, '爱': 1, '人工智能': 2}
# 训练数据: 用前一个词预测后一个词
# 输入: ["我"] -> 目标: "爱"
# 输入: ["爱"] -> 目标: "人工智能"
training_data = [
(["我"], "爱"),
(["爱"], "人工智能")
]
# 将文本数据转换为索引
def make_context_vector(context, word_to_ix):
idxs = [word_to_ix[w] for w in context]
return torch.tensor(idxs, dtype=torch.long)
# 准备训练数据
X_train = []
y_train = []
for context, target in training_data:
context_vector = make_context_vector(context, word_to_ix)
target_index = word_to_ix[target]
X_train.append(context_vector)
y_train.append(target_index)
print("训练数据准备完成")
print("输入:", [vocab[x.item()] for x in X_train])
print("目标:", [vocab[y] for y in y_train])
class NNLM(nn.Module):
def __init__(self, vocab_size, embedding_dim, context_size, hidden_dim):
super(NNLM, self).__init__()
'''
vocab_size------>词汇表大小
embedding_dim------>嵌入维度
context_size------>上下文长度(用前1个词预测下一个词)
hidden_dim------>隐藏层维度
'''
self.context_size = context_size
# 词嵌入层 - 这就是我们要学习的词嵌入矩阵!
self.embeddings = nn.Embedding(vocab_size, embedding_dim)
# 线性层和激活函数
self.linear1 = nn.Linear(context_size * embedding_dim, hidden_dim)
self.tanh = nn.Tanh()
self.linear2 = nn.Linear(hidden_dim, vocab_size)
# 打印初始化的词嵌入矩阵
#print(self.embeddings.weight)
print("初始词嵌入矩阵:")
for i, word in enumerate(vocab):
print(f" {word}: {self.embeddings.weight[i].detach().numpy()}")
def forward(self, inputs):
# 1. 查找词嵌入 (batch_size, context_size) -> (batch_size, context_size, embedding_dim)
embeds = self.embeddings(inputs)
#print(embeds)
# 2. 拼接嵌入向量 (batch_size, context_size * embedding_dim)
embeds = embeds.view(embeds.shape[0], -1)
# 3. 通过隐藏层
out = self.linear1(embeds)
#print(out)
#print(out.shape)
out = self.tanh(out)
# 4. 输出层
out = self.linear2(out)
#print(out)
#print(out.shape)
log_probs = torch.log_softmax(out, dim=1)
return log_probs
# 创建模型
model = NNLM(vocab_size, embedding_dim, context_size, hidden_dim)
loss_function = nn.NLLLoss() # 负对数似然损失
optimizer = optim.SGD(model.parameters(), lr=learning_rate)
print("\n开始训练...")
for epoch in range(epochs):
total_loss = 0
for context, target in zip(X_train, y_train):
# 准备输入数据
context_var = context.unsqueeze(0) # 添加batch维度
# 前向传播
model.zero_grad()
log_probs = model(context_var)
# 计算损失
loss = loss_function(log_probs, torch.tensor([target]))
# 反向传播
loss.backward()
optimizer.step()
total_loss += loss.item()
# 每10轮打印一次进度
if (epoch + 1) % 10 == 0:
print(f'Epoch {epoch + 1}/{epochs}, Loss: {total_loss / len(X_train):.4f}')
print("训练完成!")
print("\n训练后的词嵌入矩阵:")
final_embeddings = model.embeddings.weight.detach()
for i, word in enumerate(vocab):
print(f" {word}: {final_embeddings[i].numpy()}")
# 计算词之间的余弦相似度
from torch.nn.functional import cosine_similarity
print("\n词嵌入相似度:")
for i in range(vocab_size):
for j in range(i + 1, vocab_size):
sim = cosine_similarity(
final_embeddings[i].unsqueeze(0),
final_embeddings[j].unsqueeze(0)
).item()
print(f" '{vocab[i]}' 和 '{vocab[j]}' 的相似度: {sim:.4f}")
def predict_next_word(model, context_words):
context_vector = make_context_vector(context_words, word_to_ix)
context_var = context_vector.unsqueeze(0)
with torch.no_grad():
log_probs = model(context_var)
probs = torch.exp(log_probs)
print(f"\n输入: '{' '.join(context_words)}'")
for i, word in enumerate(vocab):
print(f" 预测 '{word}' 的概率: {probs[0][i]:.4f}")
predicted_index = torch.argmax(probs[0]).item()
return vocab[predicted_index]
# 测试预测
test_context = ["我"]
predicted_word = predict_next_word(model, test_context)
print(f" 最可能的下一个词: '{predicted_word}'")
test_context = ["爱"]
predicted_word = predict_next_word(model, test_context)
print(f" 最可能的下一个词: '{predicted_word}'")
存在的问题:
- 计算复杂度极高:因为Softmax需要计算所有词汇(通常是数万甚至数十万)的得分并归一化为概率。这使得模型的训练和推理速度非常慢。隐藏层的巨大参数量也带来了计算负担。
- 结构复杂:模型包含了投影层、隐藏层、输出层等多个非线性变换层。复杂的结构意味着更长的训练时间和更多的调参工作。
- 核心目标不同:NNLM的首要目标是训练一个更好的语言模型(即更准确地预测下一个词),其副产品才是词向量。它的优化过程是为了最小化困惑度(Perplexity),而不是为了得到最优质的词向量。
3.Word2Vec的诞生
3.1 改进
(1)目标转变:放弃完整的语言模型建模。Word2Vec不再以预测下一个单词的概率分布作为核心目标,而是直接专注于学习高质量的词向量。通过更简单高效的任务来达成这个目的;
(2)效率优先:通过简化结构(去掉隐藏层)和优化训练目标(如使用负采样或层次Softmax来避免完整的计算),使得模型可以在大规模语料上进行高效训练。NNML需要对每一个单词计算概率值,当文本量过大时,这样的计算量是灾难性的。
(3)"一个词由其上下文决定":基于假设分布------相同含义的词会出现在相似的上下文中,Word2Vec通过捕捉单词的上下文关系来学习词向量。
总结:Word2Vec为了高效训练处高质量词向量,甩掉了NNLM做概率预测而产生的沉重包袱。
3.1 两种核心模型
| CBOW-词袋 | Skip-gram | |
|---|---|---|
| 目标 | 通过上下文来预测中心词。 | 与CBOW相反,通过中心词来预测其上下文。 |
| 过程 | 将上下文多个词的词向量平均(或拼接后投影),直接输入输出层来预测中心词。 | 输入中心词,输出层试图同时预测多个上下文词。 |
| 特点 | 训练速度快,对高频词效更好。 | 在小型数据集上效果好,尤其能很好地处理低频词。 |
(1)CBOW-词袋
目标:通过上下文来预测中心词。
过程:将上下文多个词的词向量平均(或拼接后投影),直接输入输出层来预测中心词。
特点:训练速度快,对高频词效更好。
(2)Skip-gram
目标:与CBOW相反,通过中心词来预测其上下文。
过程:输入中心词,输出层试图同时预测多个上下文词。
特点:在小型数据集上效果好,尤其能很好地处理低频词。
3.2 两种优化算法
为了避免完整的Softmax计算,Word2Vec引入两种革命性技术:
(1)Hierarchical Softmax(层次Softmax)
如何基于Huffman树把预测的复杂度从O(V)降到O(logV)?
普通的softmax计算过程
以CBOW模型为例,首先需要通过逻辑回归来计算每个单词的得分,然后通过softmax进行归一化计算(Softmax本身就是一个激活函数)。用公式则可以表示为:

其中,X表示为上下文词向量的平均(或拼接),Wi表示需要预测的中心词的词向量。在Word2Vec中很巧妙得涉及:需要对Win和Wout进行学习,同步输出两个词嵌入矩阵。这是word2vec的创新性之一,认为同一个单词作为预测中心词和上线文本来说,其词向量是不同的。如下所示:
python
# 初始化(随机值)
W_in = {
"the": [0.1, -0.2, 0.3], # 输入向量
"cat": [-0.1, 0.3, 0.2],
"sat": [0.2, -0.1, 0.4],
"on": [0.3, 0.1, -0.2], # 也会被更新(如果作为上下文时)
}
W_out = {
"the": [0.2, -0.1, 0.3], # 输出向量
"cat": [-0.2, 0.2, 0.1],
"sat": [0.1, -0.2, 0.3],
"on": [-0.1, 0.3, -0.2], # 目标词的输出向量
}
# 前向传播
x = (W_in["the"] + W_in["sat"]) / 2 # 上下文平均
# 计算"on"的得分
score_on = dot(W_out["on"], x) # W_out["on"] · x
# 计算损失,反向传播...
# 梯度会更新:
# 1. W_out["on"](因为它是目标词)
# 2. W_in["the"] 和 W_in["sat"](因为它们是上下文)
# 3. 其他词的输出向量也会有轻微更新(负采样时)
因此时间复杂度为:O(V)
HierarchicalSoftmax基本思想
将一次巨大的多分类(从 V 个词中选1个)转化为沿着哈夫曼树从根到叶的多次二分类决策。

python
class HierarchicalSoftmax:
def __init__(self, vocab_size, embedding_dim):
# 构建霍夫曼树
self.tree = build_huffman_tree(word_frequencies)
# 每个内部节点有一个向量
self.node_vectors = nn.Embedding(num_internal_nodes, embedding_dim)
def forward(self, context_vector, target_word_id):
# 1. 找到目标词的路径
path = self.tree.get_path(target_word_id) # 例如: [(node1, left), (node2, right), ...]
total_log_prob = 0
# 2. 遍历路径上的每个节点
for node_id, is_left in path:
node_vec = self.node_vectors(node_id)
score = torch.dot(node_vec, context_vector)
if is_left:
prob = torch.sigmoid(score) # P(左|node)
else:
prob = torch.sigmoid(-score) # P(右|node) = 1 - σ(score)
total_log_prob += torch.log(prob)
# 3. 损失
loss = -total_log_prob
return loss
Softmax和HierarchicalSoftmax时间复杂度比较


HierarchicalSoftmax的局限性
(1)低频词惩罚:低频词路径长,更新梯度会被稀释;
(2)实现复杂:需要维护树结构;
(3)内存:需要存储内部节点向量(约v-1个);
(4)现代替代品:负采样更简单,更常用。
(2)Negative Sampling(负采样)
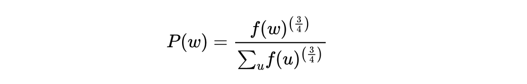
重新计算词频
在正常统计词频的基础上,对每个单词的词频进行3/4幂计算,即:

python
词频分布示例:
"the": 0.1
"cat": 0.01
"bed": 0.001
"zygote": 0.00001
采样概率对比:
词 频率 均匀采样 按频率 3/4次幂
-------------------------------------------------
the 0.1 0.00001 0.1 0.056
cat 0.01 0.00001 0.01 0.032
bed 0.001 0.00001 0.001 0.018
zygote 0.00001 0.00001 0.00001 0.001
效果:
• 均匀采样:低频词被过度采样,高频词欠采样
• 按频率:高频词 dominate,"the"占10%,学习不平衡
• 3/4次幂:平衡!降低高频词权重,提升低频词机会
至于为什么是3/4?哈哈哈哈哈哈哈,笑死,数学直觉。

代码实现:
python
import torch
import numpy as np
class NegativeSampler:
def __init__(self, word_frequencies, num_negatives=5, power=0.75):
"""
word_frequencies: 词频列表,长度=词汇表大小
power: 幂次,通常0.75
"""
self.vocab_size = len(word_frequencies)
self.num_negatives = num_negatives
# 1. 计算采样概率
frequencies = np.array(word_frequencies, dtype=np.float32)
# 2. 应用3/4次幂(核心!)
probs = np.power(frequencies, power)
# 3. 归一化
probs = probs / probs.sum()
# 4. 构建采样器
self.probs = probs
self.sampler = torch.distributions.Categorical(
torch.from_numpy(probs)
)
def sample(self, center_word_idx, batch_size):
"""
采样负样本,排除中心词本身
center_word_idx: [batch_size] 中心词索引
"""
negative_samples = []
for _ in range(self.num_negatives):
# 采样一批负样本
samples = self.sampler.sample((batch_size,)) # [batch_size]
# 排除中心词本身(重要!)
# 如果采到了中心词,重新采样直到不是中心词
for i in range(batch_size):
while samples[i] == center_word_idx[i]:
samples[i] = self.sampler.sample()
negative_samples.append(samples)
# 组合成 [batch_size, num_negatives]
return torch.stack(negative_samples, dim=1)
神来之笔:将多分类问题转变为二分类问题
传统的softmax:多分类(V选1)
负采样:二分类(是否是正样本?是/否)
具体策略:改变目标函数,对于一对(context,target)

具体的公式推导如下:

高能的部分要来了哈,注意力要集中!
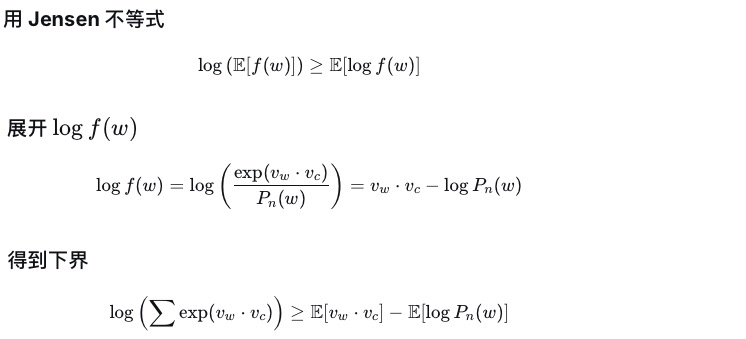
由于我们想要像E(x)= 累加Pi*Xi这个公式靠近,于是,就在log后面的加和函数上乘以一个P(w),并处以一个P(w):

这个时候就会发生神奇的事情,我们会发现加和后面的式子在像期望函数靠近,即:

所以,我们最终得到一个推导结果:


完整的推导链条是:

注意:Jensen不等式提供了一个下界,认为A>=B,那么求得B的最大值C之后也满足A>=C的不等式,此时我们就可以将求解B的最大值作为目标。此时,我们知道E~Pn[log Pn(w)]是一个常数值,不影响梯度计算,因此不作为影响因素纳入计算范围。
但是此时的Lbound下界是一个得分,但我们最终要计算的是一个概率,那就需要给这个L得分套上一个sigmoid激活函数,再取对数值,起到一个放大差异的作用,最终我们需要有一个可收敛的目标,即给概率值加一个负号,由此可以得到0是我们最终要靠近的目标值。即:

最终得到我们要求解的L,对L求导得到的参数就是我们需要的参数矩阵。那么可以继续思考一下,时间复杂度是如何减少的?对于L来说,计算L,对于一对(vt,vc)来说,需要计算b次点积(b是词向量的特征个数:n-dim),复杂度为O(b),对于一对(vt,vc)来说,需要计算k个负样本的概率值,也就是计算k次,总时间复杂度为O(kd)--->O(1)。所以负样本将时间复杂度降至了最低成本。
