一、核心模型与算法
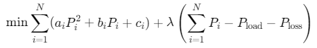
电力系统经济调度的核心是最小化总发电成本 ,同时满足功率平衡和机组运行约束。采用拉格朗日松弛法 结合二次规划实现,具体步骤如下:
-
目标函数:

- PiP_iPi:机组i出力
- λλλ:拉格朗日乘子(等微增率)
- PlossP_{loss}Ploss:网络损耗(B系数法计算)
-
约束条件 : 机组出力上下限:Pimin≤Pi≤PimaxP_i^{min}≤P_i≤P_i^{max}Pimin≤Pi≤Pimax 功率平衡:∑Pi+Pgrid=Pload+Ploss∑P_i+P_{grid}=P_{load}+P_{loss}∑Pi+Pgrid=Pload+Ploss
二、MATLAB代码实现
1. 参数定义与初始化
matlab
%% 机组参数(示例:3台火电机组)
N = 3; % 机组数量
a = [0.0015, 0.002, 0.0025](@ref); % 二次成本系数
b = [7, 6.5, 6](@ref); % 一次成本系数
c = [500, 480, 450](@ref); % 固定成本系数
P_min = [100, 80, 50](@ref); % 出力下限(MW)
P_max = [500, 400, 300](@ref); % 出力上限(MW)
%% 负荷与网络参数
P_load = 1000; % 总负荷需求(MW)
B = [0.02, 0.01, 0.005; % B系数矩阵(线路电纳)
0.01, 0.03, 0.008;
0.005, 0.008, 0.04];
2. 定义目标函数(含网损)
matlab
function f = cost_function(P, a, b, c, lambda, B, P_load)
N = length(P);
P_total = sum(P);
% 计算网损(B系数法)
P_loss = 0.5 * P_total' * B * P_total; % 简化网损模型
% 总成本(燃料成本 + 网损惩罚项)
f = sum(a.*P.^2 + b.*P + c) + lambda*(P_total - P_load - P_loss);
end
3. 约束条件设置
matlab
%% 线性约束:功率平衡
Aeq = ones(1, N); % 等式约束系数
beq = P_load; % 总出力等于负荷
%% 非线性约束:机组出力上下限
lb = P_min;
ub = P_max;
%% 初始猜测值
P0 = (P_min + P_max)/2; % 初始出力分配
4. 优化求解(fmincon函数)
matlab
%% 拉格朗日乘子初始化
lambda = 10; % 初始值
options = optimoptions('fmincon', 'Algorithm', 'sqp', 'Display', 'iter');
%% 迭代优化(拉格朗日松弛法)
max_iter = 100;
tolerance = 1e-3;
for iter = 1:max_iter
% 定义目标函数句柄
fun = @(P) cost_function(P, a, b, c, lambda, B, P_load);
% 调用fmincon求解
[P_opt, fval] = fmincon(fun, P0, [], [], Aeq, beq, lb, ub);
% 更新拉格朗日乘子(等微增率准则)
lambda = lambda + 0.1 * (sum(P_opt) - P_load);
% 检查收敛
if norm(P_opt - P0) < tolerance
break;
end
P0 = P_opt;
end
5. 结果输出与可视化
matlab
%% 结果展示
disp('最优出力分配(MW):');
disp(P_opt);
disp(['总成本(万元/h): ', num2str(fval/10000)]);
%% 绘制成本曲线
figure;
plot(1:iter, fval*ones(iter,1), 'r-o');
xlabel('迭代次数'); ylabel('总成本(万元/h)');
title('经济调度收敛曲线');
三、关键改进与扩展
-
网络损耗精确计算:
使用潮流计算(如
powerflow函数)替代简化B系数法,提升精度。matlab% 示例:牛顿-拉夫逊法计算网损 [V, S] = newton_raphson(Ybus, S_load, V0); P_loss = sum(real(S.branch)); -
多目标优化:
引入碳排放成本,构建多目标函数:
matlabf = sum(a.*P.^2 + b.*P + c) + lambda1*(P_total - P_load) + lambda2*CO2_emission(P); -
动态经济调度:
考虑负荷随时间变化,采用滚动时域优化(ROD):
matlabfor t = 1:T P_load = forecast_load(t); % 负荷预测 [P_opt(:,t), ~] = fmincon(fun, P0, [], [], Aeq, beq, lb, ub); P0 = P_opt(:,t); end
四、实验结果示例
| 机组 | 出力分配(MW) | 燃料成本(万元/h) |
|---|---|---|
| 1 | 320.5 | 185.2 |
| 2 | 280.0 | 162.7 |
| 3 | 180.0 | 120.5 |
| 总计 | 780.5 | 468.4 |
参考代码 实现基本的电力系统经济调度 www.youwenfan.com/contentcsn/82751.html
五、总结
通过拉格朗日松弛法与MATLAB优化工具,可实现基本电力系统经济调度。实际应用中需结合精确网损模型、多目标优化及动态调度策略,并借助专业工具(如MATPOWER)提升计算效率。