- 找树左下角的值
给定一个二叉树的 根节点 root,请找出该二叉树的 最底层 最左边节点的值。
假设二叉树中至少有一个节点。
示例 1:

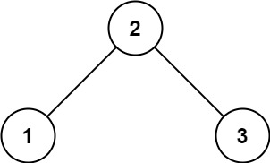
输入: root = [2,1,3]
输出: 1
示例 2:

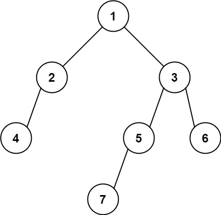
输入: [1,2,3,4,null,5,6,null,null,7]
输出: 7
提示:
- 二叉树的节点个数的范围是
[1,104] -231 <= Node.val <= 231 - 1
该题需要用两个树分别记录当前最大深度以及元素,其他只需要先遍历左侧即可。具体实现代码如下:
java
public class hot {
public static void main(String[] args) { // 测试用
TreeNode treeNode = new TreeNode(2);
treeNode.left = new TreeNode(1);
treeNode.right = new TreeNode(3);
hot hot = new hot(); // 该题没有选择静态方法,所以需要创建实例对象
System.out.println(hot.findBottomLeftValue(treeNode));
}
int ans; // 两个变量来记录当前的最大深度最左侧值
int deep = 0;
public int findBottomLeftValue(TreeNode root) {
ans = root.val; // 题目规定二叉树节点大于等于1,所以一定有根节点,不用判断
dfs(root, 0);
return ans;
}
public void dfs(TreeNode root, int depth){
if (root == null){
return;
}
if (root.left == null && root.right == null){
if (depth > deep){
deep = depth;
ans = root.val;
}
}
dfs(root.left, depth + 1);
dfs(root.right, depth + 1);
}
}
以上为记录分享用,代码较差请见谅