新能源-适用于各种复杂环境下的三种正负序分离锁相环,控制模型为正负序分离控制,故障类型为包括三相短路故障,接地故障等等引起的三相不平衡。 提供MATLAB/simulink仿真。 提供方法: 1.DSOGI-PLL(双二阶广义积分器) 2.DDSRF-PLL(双解耦) 3.对称分量法 提供建模分析方法以及工作原理报告 支持simulink2022以下版本,联系跟我说什么版本,我给转成你需要的版本(默认发2016b)。

在新能源的应用场景里,电力系统常常会面临各种复杂情况,比如三相短路故障、接地故障等,这些故障会导致三相不平衡。为了有效应对这种状况,正负序分离控制的锁相环就显得尤为重要。今天咱们就来聊聊适用于复杂环境下的三种正负序分离锁相环。
1. 三种锁相环介绍及原理
DSOGI - PLL(双二阶广义积分器)
DSOGI - PLL 的核心在于双二阶广义积分器。咱们来看段简单代码(这里以 MATLAB 伪代码示例):
matlab
% 定义参数
omega = 2*pi*50; % 电网角频率
k = 0.5; % 控制参数
% 输入三相不平衡电压信号
u_a = sin(omega*t);
u_b = sin(omega*t - 2*pi/3);
u_c = sin(omega*t + 2*pi/3);
% 双二阶广义积分器部分
function [q1, d1] = DSOGI(u, omega, k)
syms s
G = k*omega/(s^2 + k*omega*s + omega^2);
H = s/(s^2 + k*omega*s + omega^2);
u_s = laplace(u);
q1_s = G*u_s;
d1_s = H*u_s;
q1 = ilaplace(q1_s);
d1 = ilaplace(d1_s);
end
[q1_a, d1_a] = DSOGI(u_a, omega, k);
[q1_b, d1_b] = DSOGI(u_b, omega, k);
[q1_c, d1_c] = DSOGI(u_c, omega, k);
这段代码大致模拟了DSOGI对输入电压信号的处理。DSOGI 能够通过特定的积分器结构,对输入信号进行滤波和分解,从而分离出正负序分量。它的工作原理是利用二阶广义积分器对特定频率的信号进行积分,通过调整参数可以实现对正负序分量的有效提取。
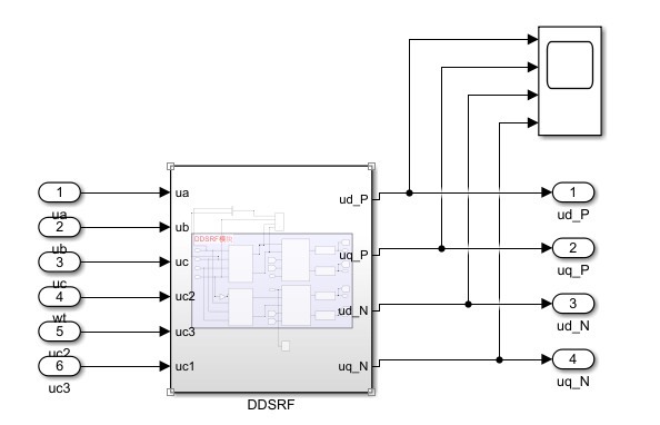
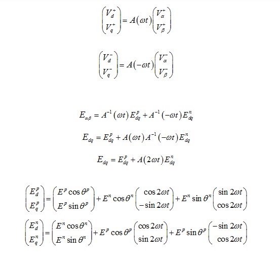
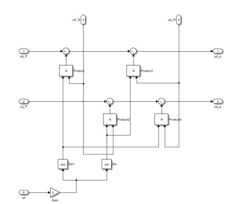
DDSRF - PLL(双解耦)
DDSRF - PLL 采用双解耦的方式。其原理是通过构建两个同步旋转坐标系,分别对正序和负序分量进行解耦控制。在 MATLAB 中可以这样简单示意:
matlab
% 同样定义参数
omega = 2*pi*50;
% 三相电压信号
u_a = sin(omega*t);
u_b = sin(omega*t - 2*pi/3);
u_c = sin(omega*t + 2*pi/3);
% Clark变换
function [u_alpha, u_beta] = Clark(u_a, u_b, u_c)
u_alpha = u_a;
u_beta = sqrt(3)/3 * (u_b - u_c);
end
[u_alpha, u_beta] = Clark(u_a, u_b, u_c);
% Park变换
function [u_d, u_q] = Park(u_alpha, u_beta, theta)
u_d = u_alpha * cos(theta) + u_beta * sin(theta);
u_q = -u_alpha * sin(theta) + u_beta * cos(theta);
end
theta = omega*t; % 假设初始相位为0
[u_d_pos, u_q_pos] = Park(u_alpha, u_beta, theta);
[u_d_neg, u_q_neg] = Park(u_alpha, u_beta, -theta);
这里通过Clark变换和Park变换,将三相电压转换到同步旋转坐标系下,分别得到正序和负序的d - q分量,实现了正负序的解耦。
对称分量法
对称分量法是一种经典的分析三相不平衡系统的方法。它基于线性系统的叠加原理,将三相不平衡量分解为正序、负序和零序分量。代码示例如下:
matlab
% 假设三相不平衡电压
u_a = 100*sin(omega*t);
u_b = 80*sin(omega*t - 2*pi/3 + pi/6);
u_c = 90*sin(omega*t + 2*pi/3 - pi/6);
% 对称分量法计算
A = [1, 1, 1; 1, exp(-1j*2*pi/3), exp(1j*2*pi/3); 1, exp(1j*2*pi/3), exp(-1j*2*pi/3)];
U = [u_a; u_b; u_c];
U_seq = (1/3) * A * U;
U_pos = U_seq(1);
U_neg = U_seq(2);
U_zero = U_seq(3);
通过构建特定的矩阵 A 与三相电压向量相乘,得到正序、负序和零序分量,从而实现对三相不平衡的分析。
2. MATLAB/simulink 仿真
为了验证这三种方法的有效性,我们可以在 MATLAB/simulink 中进行仿真。首先,搭建三相电源模块,设置不同的故障类型来模拟三相不平衡。然后分别搭建基于DSOGI - PLL、DDSRF - PLL 和对称分量法的正负序分离模块。

对于DSOGI - PLL,可以使用Simulink 中的积分器、滤波器等模块搭建DSOGI 结构,并连接到锁相环模块。DDSRF - PLL 则通过坐标变换模块来实现双解耦。对称分量法可以直接利用矩阵运算模块实现上述代码中的计算过程。

在仿真过程中,我们可以观察不同故障情况下,三种方法对正负序分量的分离效果。比如在三相短路故障时,DSOGI - PLL 能够快速稳定地分离出正负序分量,而DDSRF - PLL 在动态响应方面可能有独特的表现,对称分量法作为经典方法,也能准确地得到正负序结果。
3. 建模分析方法及工作原理报告
建模分析时,我们需要详细研究每种方法在不同故障类型下的特性。对于DSOGI - PLL,要分析积分器参数对分离效果的影响;DDSRF - PLL 则重点关注解耦坐标系的建立和动态响应;对称分量法要研究矩阵运算的准确性和计算量。

工作原理报告则需要深入阐述每种方法的理论基础,结合仿真结果说明其在实际复杂环境中的可行性和局限性。
4. 版本支持
这里的仿真支持simulink2022以下版本。如果您收到的是默认的2016b版本,若有其他需求,联系我说明版本,我可以帮忙转换。

希望通过对这三种正负序分离锁相环的探讨,能为新能源领域应对三相不平衡问题提供一些有用的思路和方法。欢迎大家一起交流。
