运放的认识 



Up:用信号发生器给他输入一个正弦波
Un:通过可调电阻,从0V到5V开始变化





作为电压比较器:实际使用时,正弦波的输入可以替换为一些传感器电压的输入,如光敏电阻(阻值随光照增强而减小),给光照射时,运放输出高电平,没有光照射时输出低电平


当运放存在负反馈时,Un约等于Uout

负反馈不一定是要完全短接,通过一个电阻电容连接都是可以的


Rs是一颗阻值非常小的采样电阻,用来检测系统的电流,假如流过负载的电流有1A,Rs
这一端大概会产生会产生一个10mV的电压,电压太小难以测量,

假设此时R1是49KΩ,R2是1KΩ,那么这个运放就可以把Rs的电压放大50倍输出,这样就很方便地通过测量输出电压反推负载上的电流了
总结:运放的两个应用场景

虚断:给运放的输入加载一个电压,然后在串联一个电流表,电流表的读数接近于0,说明电流没有流进这个运放,就好像运放输入的内部是断开的一样


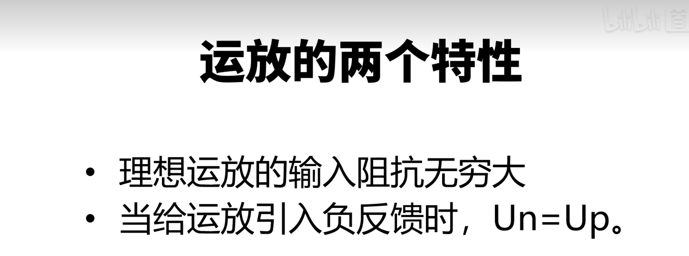
本质:理想运放的输入阻抗是无穷大的,也就是说给它的输入施加一个电压,几乎没有电流流进去
虚短:

既然Un=Up,感觉内部好像有一根导线把它们连接在了一起,Up和Un短路了一样,其实这根线是不存在的,所以称为虚短
本质:当给运放引入负反馈时,Un=Up
总结:

分析运算电路:所有的运算电路都是负反馈电路


15中经典运放电路及其输入输出波形
放大器类电路
1.反向放大器

2.同向放大器

3.电压跟随器

4.差分放大电路

5.加法放大电路

6.D类放大电路
震荡器电路类
1.张弛振荡器

2.相移振荡器

3.三角波发生器

整流电路
1.半波整流电路
2.全波整流电路

峰波检波电路
微积分电路
1.微分电路

2.积分电路

运算放大电路的几种基本形式






总结:
反相放大:输入接"-"端,反馈电阻接"-"端与输出,增益= -Rf/Rin;
同相放大:输入接"+"端,反馈电阻接"-"端与输出,增益= 1+Rf/Rin;
按特性分:
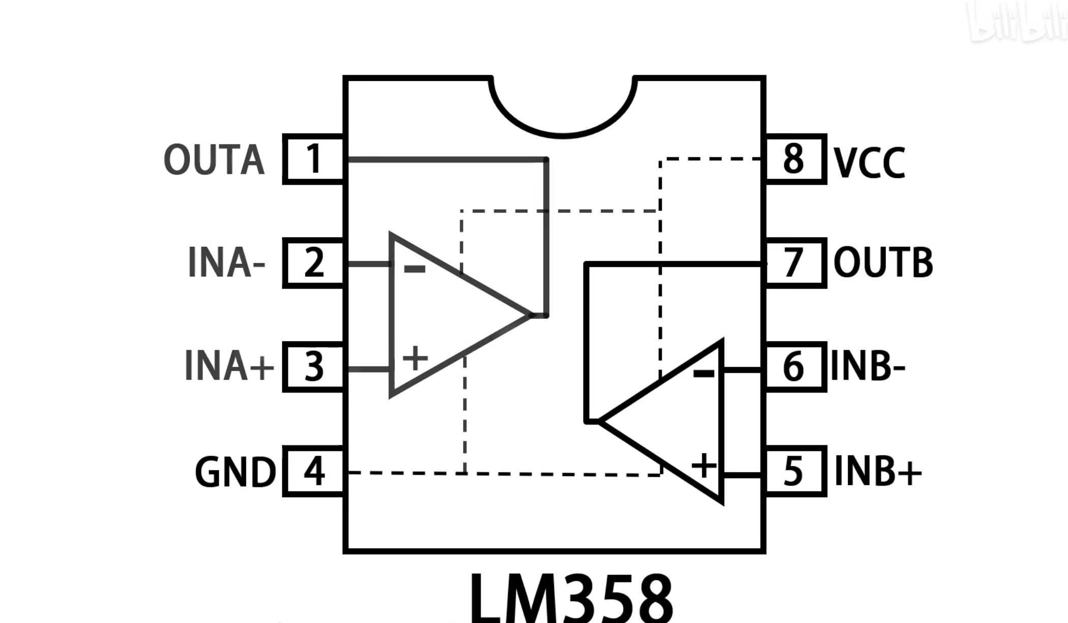
通用运放:性能均衡,适合一般场景(如LM358);
轨至轨运放:输入/输出接近电源轨(如MCP6002);
高速运放:带宽大、响应快(如LM318);
低功耗运放:适合电池供电(如TI的LPV821)。
轨至轨运放
运放的输入电压范围受供电电压限制:
比如LM358用5V供电时,输入电压不能超过5V(否则可能损坏芯片),且实际有效输入范围会更窄(比如1V~4V);
而轨至轨运放(如LMV358)用5V供电时,输入电压可以接近0V~5V,更能利用供电范围。

轨至轨运放的输入电压能够接近电源轨的极限值(即接近电源的正负电压)。例如,如果电源电压是 +5V 和 GND,那么轨至轨运放的输入信号可以接近 0V 或 5V,而普通运放的输入信号通常不能接近这些极限值。
轨至轨运放的输出信号可以接近电源电压的上轨和下轨,这种特性对于单电源运放尤其重要,因为它能充分利用有限的电源电压范围。例如,在单电源配置下,它可以输出接近电源电压的最大值和最小值(如 0V 到 5V),而普通运放的输出通常不能做到这一点。
轨至轨运放通常能在低电压下工作(如 1.8V、3.3V 电压系统),因此它们特别适合现代低电压系统或便携式设备,这些设备需要减少功耗和体积。

单电源运放与双电源运放
单电源运放:
-
定义:单电源运放是指仅使用单一电源电压(例如,+5V)和地(0V)作为电源供给的运放。也就是说,它只需要一个正电压和地作为参考电压,而不需要负电压。
-
工作原理:单电源运放通常用于低电压系统中,如便携式电子设备、传感器接口等。它的输入和输出信号必须在电源轨之间的范围内工作,即输入信号和输出信号的范围是从 0V(地)到正电压(如 +5V)。
-
应用场景:适用于低功耗、便携设备、嵌入式系统和一些简化的模拟电路。例如,常见的单电源运放有低功耗的LM358、TLV2372等。
双电源运放:
-
定义:双电源运放是指使用正负两个电压供电的运放,例如使用 ±5V、±12V 或 ±15V 电源。它允许运放的输入和输出信号在两个电压轨之间变化,通常是从负电压到正电压。
-
工作原理:双电源运放有更大的输入输出电压范围,可以处理更广泛的模拟信号,尤其适合需要更精确的信号放大或更大动态范围的电路。
-
应用场景 :双电源运放广泛应用于高精度模拟电路、高端音频设备、工业自动化、仪器仪表等领域,因为它们能够处理比单电源运放更复杂的电压和信号。



单电源供电的运放如何增加直流偏置
直流偏置是通过施加一个恒定的直流电压来调整信号或电路的工作点,确保信号在合适的范围内变化。
在一些大电源供电的运放电路中,输入信号可能是交流信号(有正有负),如果输入信号直接接到运算放大电路,则运放不会输出负电压只有正电压,从而不能实现信号的调理,所以需要给运放添加直流偏置电压,使输入信号全部变成正电压。一般选择偏置电压为运放电源电压的一半
电容CIN:阻断 Vin 的直流,只允许 Vin 的交流变化通过,然后这些交流变化被"叠加"在 Vbias 上
电容COUT:去掉 2.5V 的直流偏置电压,只留下交流信号
电容C1:切断直流反馈,只允许交流反馈,使运放无法对偏置电压进行放大,只有 Vin 的交流变化才会被放大,让电路直流时 = 跟随器(不放大) 交流时 = 放大器
电容C2:滤掉电源和分压器带来的交流噪声,获得稳定的偏置电压,减小电源纹波噪声带来的影响

通过 RA、RB 把 VCC 分压成一个中点电压 Vbias(通常≈VCC/2) ,这个 Vbias 就是整个电路的"虚地"(直流看是 2.5V、交流看是 0V ),输入信号 Vin 通过 CIN 只把交流"叠加"到这个 Vbias 上RA + RB 生成偏置电压,输入信号经过电容后整体抬升VCC/2,从而全部变为正电压

RIN可以防止运放输入端的微小电流扰动分压器(隔离),防止异常情况下拉偏 Vbias(限流)


电容通交流阻直流

当输入信号在运放的输入端时 ,偏置电压也加在运放的同相端
电压跟随器
输出电压等于输入电压,常常用来对信号进行隔离、缓冲、提高带载能力

当R1趋于无穷大时,这个同向比例放大电路放大倍数就为1,叫电压跟随器,在信号处理的前后端用的非常多,主要是缓冲和隔离信号用,R2起保护作用,Rf消除偏置电流对输出电压的影响,运算放大器的输入端需要一点微小电流才能工作,这就是 偏置电流 IB。
Rf消除偏置电流对输出电压的影响:
当输入端有电阻时,偏置电流会在电阻上产生电压:V=IB×R
这个电压会"加到"输入信号上,导致输出电压出现偏差。
-
我们在负端(反馈端)加一个电阻 Rf
-
电阻的大小选择:让负端看到的电阻等于正端看到的电阻。
在电压跟随器里,负端直接接输出,正端接输入,如果两边看到的电阻不一样,偏置电流产生的电压降就不平衡,输出就偏离理想值。
-
偏置电流 IBI_BIB 会同时流过正端和负端的电阻。
-
如果正端电阻 R+R_+R+ 和负端电阻 R−R_-R− 相等,那么两个端口的电压降是一样的:
V降=IB⋅R+=IB⋅R−V_\text{降} = I_B \cdot R_+ = I_B \cdot R_-V降=IB⋅R+=IB⋅R−
-
运算放大器负反馈会调整输出,让负端电压等于正端电压。
-
因为电压降一样,所以偏置电流在正负端产生的误差相互抵消,输出就不会偏离理想值。
差模电压和共模电压
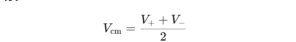
差模电压 是运放两个输入端之间的电压差,也就是运放真正放大的信号。

共模电压 是两个输入端的平均电压,反映两端"共同的"电压成分。

运放的同相端和反向端共模输入电压和差模输入电压都是有范围的,当输入电压超过这个范围时,运放就可能会损坏,所以一般在运放内部同向端盒反向端都会有钳位保护的二极管,防止输入的共模电压和差模电压超过一定的电压值。
防止流过二极管电流过大,损坏芯片

断电的瞬间,运放内部的保护电路(过压、过流保护电路)可能是失效的,输入端如果放置了电容,输入电压不会突然消失,这时运放的输入端可能会出现过压的情况,如果没有串联R1,会导致运放输入端流入过量的电流从而损坏

信号源先于运放上电(信号源已经输出电压,运放还没上电),当保护电路失效时,限制输入到运放的电流(串联 R1 限流,可以防止输入电压直接冲击运放输入端),等运放正常上电后,R1 对信号的影响很小(高输入阻抗下信号几乎不衰减)
运放输出端错误接地时,如果同相端存在输入电压,那么电阻Rf和R1限制了流过差模防护二极管的电流,防止电流过大损坏芯片
Vin:探头1测量点,示波器通道1 Vout:探头2测量点,示波器通道2

输入是直流:主要应用在电压比较敏感的地方,比如ADC的参考电压

输入是交流信号
峰峰值(Vpp),波形的"高度"(从最低点到最高点的电压)
均方根值:波形相当于几伏直流
根据压摆率参数选择运放:
压摆率表示运算放大器输出电压变化的最快速率,单位通常是 V/μs。公式为:

实际选择时,最好 留 2~3 倍裕量,避免输出失真。即如果计算得到 3 V/μs,可以选择 6~10 V/μs 的运放。
运放的带宽增益积参数
运放的 带宽增益积(Gain-Bandwidth Product, GBW 或 GBP) 是一个常用指标,用来描述运放在闭环情况下,增益与带宽之间的折衷关系。
- 增益(Gain)
增益就是运放放大信号的倍数。
-
开环增益(Open-Loop Gain, A_OL):运放本身不加反馈时的放大倍数,一般非常大,比如 10510^5105 ~ 10610^6106 倍。
-
闭环增益(Closed-Loop Gain, A_CL) :加上外部电阻反馈后的实际放大倍数。
公式(以反相放大器为例):

简单理解:增益越大,信号被放大得越多。
- 带宽(Bandwidth)
带宽表示运放可以有效放大的频率范围。
-
低频信号一般运放都能放大
-
高频信号可能因为运放内部补偿和频率特性,增益会下降
-
带宽通常定义为增益下降 3 dB 的频率(即输出幅度下降到 70% 左右的频率)

带宽就是输出还能保持大约 70% 原幅度的最高频率。
运放的输入失调电压、输入失调电流、输入偏置电流




