引言
在数字图像处理领域,空间域滤波 是我们最开始接触的基础操作,但面对复杂的图像增强、去噪等需求时,频率域滤波 往往能展现出更强大的优势。频率域的核心思想是将图像从空间域转换到频率域,对不同频率分量进行针对性处理后,再转换回空间域得到处理结果。
简单来说,图像中的低频分量对应着图像的整体轮廓、大的结构,而高频分量对应着边缘、细节、噪声等。频率域滤波就是通过设计滤波器,保留或抑制特定频率分量,从而实现图像的平滑、锐化、去噪等目标。本章将从基础概念到实战应用,全方位拆解频率域滤波的知识体系,让你从零掌握这一核心技术。
学习目标
- 理解傅里叶变换的核心原理,掌握连续 / 离散、单变量 / 二变量傅里叶变换的推导与应用;
- 掌握取样、混叠、取样定理等关键概念,理解其对数字图像傅里叶变换的影响;
- 熟悉二维 DFT 的核心性质,能运用这些性质解决实际处理问题;
- 掌握频率域滤波的基本流程,能独立设计低通、高通、选择性滤波器;
- 能够使用 Python 实现各类频率域滤波算法,并分析不同滤波器的效果差异;
- 理解 FFT 的原理与优势,掌握其在图像频率域处理中的高效应用。
4.1 背景
4.1.1 傅里叶级数和变换简史

傅里叶的核心思想最早由法国数学家约瑟夫・傅里叶于 19 世纪初提出,他在研究热传导问题时发现:任何周期函数都可以表示为不同频率的正弦 / 余弦函数的线性组合(傅里叶级数)。这一思想后来被拓展到非周期函数,形成了傅里叶变换 ------ 将非周期函数分解为连续的频率分量。

在数字图像处理领域,傅里叶变换的离散化(DFT)是关键里程碑,而快速傅里叶变换(FFT)的出现则解决了 DFT 计算复杂度高的问题,让频率域处理从理论走向实际应用。
4.1.2 关于本章中的例子
本章所有示例均基于 Python 实现,使用numpy处理数值计算、matplotlib可视化、cv2读取 / 处理图像。所有代码均可直接运行,运行前确保安装依赖:
pip install numpy matplotlib opencv-python
4.2 基本概念
4.2.1 复数

Python 示例:复数基本操作
import numpy as np
# 定义复数
z1 = 3 + 4j
z2 = 1 - 2j
# 复数运算
z_add = z1 + z2 # 加法
z_mul = z1 * z2 # 乘法
z_abs = np.abs(z1) # 模长
z_angle = np.angle(z1) # 辐角(弧度)
z_conj = np.conj(z1) # 共轭复数
# 输出结果
print(f"复数z1: {z1}")
print(f"z1+z2: {z_add}")
print(f"z1*z2: {z_mul}")
print(f"z1模长: {z_abs}, 辐角: {z_angle:.2f}弧度")
print(f"z1共轭: {z_conj}")
4.2.2 傅里叶级数

Python 示例:傅里叶级数逼近方波
import numpy as np
import matplotlib.pyplot as plt
# 设置中文字体
plt.rcParams["font.sans-serif"] = ["SimHei"] # 显示中文
plt.rcParams["axes.unicode_minus"] = False # 显示负号
# 生成时间序列
t = np.linspace(-2*np.pi, 2*np.pi, 1000)
# 方波函数(周期2π)
def square_wave(t):
return np.where(np.mod(t, 2*np.pi) < np.pi, 1, -1)
# 傅里叶级数逼近
def fourier_series_square(t, n_terms):
"""
n_terms: 傅里叶级数项数
"""
result = 0
for n in range(1, n_terms+1, 2): # 方波只有奇次谐波
result += (4/(np.pi*n)) * np.sin(n*t)
return result
# 计算不同项数的逼近结果
y_original = square_wave(t)
y_5 = fourier_series_square(t, 5)
y_15 = fourier_series_square(t, 15)
y_50 = fourier_series_square(t, 50)
# 绘图对比
fig, axes = plt.subplots(2, 2, figsize=(12, 8))
axes[0,0].plot(t, y_original, label="原始方波", color="red")
axes[0,0].plot(t, y_5, label="5项级数", linestyle="--")
axes[0,0].set_title("5项傅里叶级数逼近")
axes[0,0].legend()
axes[0,0].grid(True)
axes[0,1].plot(t, y_original, label="原始方波", color="red")
axes[0,1].plot(t, y_15, label="15项级数", linestyle="--")
axes[0,1].set_title("15项傅里叶级数逼近")
axes[0,1].legend()
axes[0,1].grid(True)
axes[1,0].plot(t, y_original, label="原始方波", color="red")
axes[1,0].plot(t, y_50, label="50项级数", linestyle="--")
axes[1,0].set_title("50项傅里叶级数逼近")
axes[1,0].legend()
axes[1,0].grid(True)
axes[1,1].plot(t, y_original, label="原始方波", color="red")
axes[1,1].set_title("原始方波")
axes[1,1].legend()
axes[1,1].grid(True)
plt.tight_layout()
plt.show()

效果说明:项数越多,傅里叶级数越接近原始方波,直观体现了 "不同频率正弦波叠加可逼近周期函数" 的核心思想。
4.2.3 冲激函数及其取样(筛选)性质

Python 示例:冲激函数取样性质模拟
import numpy as np
import matplotlib.pyplot as plt
plt.rcParams["font.sans-serif"] = ["SimHei"]
plt.rcParams["axes.unicode_minus"] = False
# 模拟冲激函数(离散近似)
def delta(t, t0, eps=1e-2):
"""离散近似冲激函数"""
return np.where(np.abs(t - t0) < eps, 1/eps, 0)
# 定义测试函数
def f(t):
return np.sin(t) + 0.5*np.cos(2*t)
# 生成时间序列
t = np.linspace(-np.pi, np.pi, 1000)
t0 = np.pi/4 # 取样点
dt = t[1] - t[0]
# 计算f(t)*δ(t-t0)
delta_t = delta(t, t0)
f_delta = f(t) * delta_t
# 积分(离散求和)
sampled_value = np.sum(f_delta) * dt
# 绘图
fig, axes = plt.subplots(2, 1, figsize=(10, 6))
axes[0].plot(t, f(t), label="f(t) = sin(t) + 0.5cos(2t)")
axes[0].scatter(t0, f(t0), color="red", s=100, label=f"取样点 t0={t0:.2f}")
axes[0].set_title("原始函数与取样点")
axes[0].legend()
axes[0].grid(True)
axes[1].plot(t, f_delta, label="f(t)*δ(t-t0)")
axes[1].fill_between(t, 0, f_delta, alpha=0.3, color="orange")
axes[1].set_title(f"f(t)*δ(t-t0) 积分结果:{sampled_value:.4f}(理论值:{f(t0):.4f})")
axes[1].legend()
axes[1].grid(True)
plt.tight_layout()
plt.show()

效果说明:积分结果与f(t0)几乎一致,验证了冲激函数的取样性质。
4.2.4 连续单变量函数的傅里叶变换

4.2.5 卷积

Python 示例:卷积定理验证(连续近似)
import numpy as np
import matplotlib.pyplot as plt
from scipy.signal import convolve
plt.rcParams["font.sans-serif"] = ["SimHei"]
plt.rcParams["axes.unicode_minus"] = False
# 定义两个测试函数
t = np.linspace(-5, 5, 1000)
dt = t[1] - t[0]
f = np.exp(-t**2) # 高斯函数
g = np.where(np.abs(t) < 1, 1, 0) # 矩形窗
# 方法1:空间域卷积
conv_spatial = convolve(f, g, mode="same") * dt
# 方法2:频率域乘积(FFT)
f_fft = np.fft.fft(f)
g_fft = np.fft.fft(g)
conv_freq = np.fft.ifft(f_fft * g_fft).real * dt
# 绘图对比
fig, axes = plt.subplots(3, 1, figsize=(10, 8))
axes[0].plot(t, f, label="f(t) 高斯函数")
axes[0].plot(t, g, label="g(t) 矩形窗", alpha=0.7)
axes[0].set_title("原始函数")
axes[0].legend()
axes[0].grid(True)
axes[1].plot(t, conv_spatial, label="空间域卷积结果", color="red")
axes[1].set_title("空间域卷积")
axes[1].legend()
axes[1].grid(True)
axes[2].plot(t, conv_freq, label="频率域乘积逆变换结果", color="blue")
axes[2].set_title("频率域处理(卷积定理)")
axes[2].legend()
axes[2].grid(True)
plt.tight_layout()
plt.show()

效果说明:两种方法结果几乎完全一致,验证了卷积定理 ------ 空间域卷积等价于频率域乘积。
4.3 取样和取样函数的傅里叶变换
4.3.1 取样

4.3.2 取样后的函数的傅里叶变换

4.3.3 取样定理
为避免混叠,取样频率必须大于信号最高频率的 2 倍:fs>2fmax(奈奎斯特频率)。
4.3.4 混叠
当取样频率不满足取样定理时,周期延拓的频谱会重叠,导致离散信号无法恢复原始连续信号,这种现象称为混叠。
Python 示例:取样与混叠效果对比
python
import numpy as np
import matplotlib.pyplot as plt
from scipy.interpolate import interp1d
# 设置中文字体
plt.rcParams["font.sans-serif"] = ["SimHei"]
plt.rcParams["axes.unicode_minus"] = False
# 定义原始连续信号(最高频率5Hz)
f_max = 5
t_continuous = np.linspace(0, 2, 1000)
x_continuous = np.sin(2*np.pi*f_max*t_continuous) + 0.5*np.sin(2*np.pi*2*t_continuous)
# 两种取样频率
f_s1 = 15 # 满足取样定理(15>2*5)
f_s2 = 8 # 不满足取样定理(8<2*5)
# 修复:生成取样点时确保包含终点2,避免插值越界
# 使用np.linspace替代np.arange,精准控制取样点范围和数量
n1 = int(f_s1 * 2) # 2秒内的取样点数
n2 = int(f_s2 * 2)
t1 = np.linspace(0, 2, n1, endpoint=True) # 包含终点2
t2 = np.linspace(0, 2, n2, endpoint=True)
# 计算取样点的信号值
x1 = np.sin(2*np.pi*f_max*t1) + 0.5*np.sin(2*np.pi*2*t1)
x2 = np.sin(2*np.pi*f_max*t2) + 0.5*np.sin(2*np.pi*2*t2)
# 插值恢复(增加fill_value参数,处理可能的边界微小误差)
interp1 = interp1d(t1, x1, kind="cubic", fill_value="extrapolate") # 外推边界
interp2 = interp1d(t2, x2, kind="cubic", fill_value="extrapolate")
x_recon1 = interp1(t_continuous)
x_recon2 = interp2(t_continuous)
# 绘图
fig, axes = plt.subplots(2, 1, figsize=(10, 8))
# 子图1:满足取样定理(无混叠)
axes[0].plot(t_continuous, x_continuous, label="原始连续信号", color="blue", linewidth=1.5)
axes[0].scatter(t1, x1, color="red", s=50, label=f"取样点 (fs={f_s1}Hz)")
axes[0].plot(t_continuous, x_recon1, linestyle="--", color="orange", label="恢复信号", linewidth=2)
axes[0].set_title("满足取样定理(无混叠)", fontsize=12)
axes[0].legend(fontsize=10)
axes[0].grid(True, alpha=0.3)
axes[0].set_xlabel("时间 (s)", fontsize=10)
axes[0].set_ylabel("信号幅值", fontsize=10)
# 子图2:不满足取样定理(混叠)
axes[1].plot(t_continuous, x_continuous, label="原始连续信号", color="blue", linewidth=1.5)
axes[1].scatter(t2, x2, color="red", s=50, label=f"取样点 (fs={f_s2}Hz)")
axes[1].plot(t_continuous, x_recon2, linestyle="--", color="orange", label="恢复信号", linewidth=2)
axes[1].set_title("不满足取样定理(混叠)", fontsize=12)
axes[1].legend(fontsize=10)
axes[1].grid(True, alpha=0.3)
axes[1].set_xlabel("时间 (s)", fontsize=10)
axes[1].set_ylabel("信号幅值", fontsize=10)
plt.tight_layout()
plt.show()

效果说明:满足取样定理时,恢复信号与原始信号几乎一致;不满足时,恢复信号出现明显失真(混叠)。
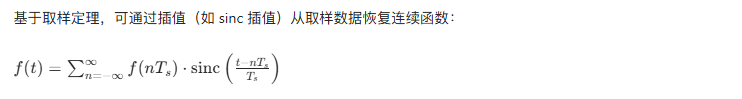
4.3.5 由取样后的数据重建(复原)函数

4.4 单变量的离散傅里叶变换
4.4.1 由取样后的函数的连续变换得到 DFT

4.4.2 取样和频率间隔的关系

4.5 二变量函数的傅里叶变换
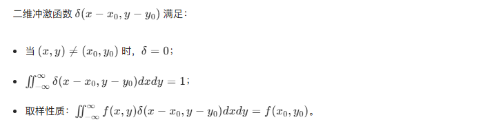
4.5.1 二维冲激及其取样性质

4.5.2 二维连续傅里叶变换对

4.5.3 二维取样和二维取样定理

4.5.4 图像中的混叠
图像是二维信号,取样不足(分辨率过低)会导致混叠,表现为图像边缘模糊、出现摩尔纹等。
4.5.5 二维离散傅里叶变换及其反变换

Python 示例:图像的二维 DFT 与 IDFT
import numpy as np
import cv2
import matplotlib.pyplot as plt
plt.rcParams["font.sans-serif"] = ["SimHei"]
plt.rcParams["axes.unicode_minus"] = False
# 读取图像(灰度图)
img = cv2.imread("lena.jpg", 0) # 替换为你的图像路径,若无lena图可生成测试图
if img is None:
# 生成测试图(棋盘格)
img = np.zeros((256, 256), dtype=np.uint8)
img[::16, ::16] = 255
img[8::16, 8::16] = 255
# 二维DFT(FFT加速)
dft = np.fft.fft2(img)
dft_shift = np.fft.fftshift(dft) # 零频率移到中心
# 傅里叶频谱(对数缩放便于显示)
magnitude_spectrum = 20 * np.log(np.abs(dft_shift) + 1e-8)
# IDFT
idft_shift = np.fft.ifftshift(dft_shift)
img_recon = np.fft.ifft2(idft_shift).real
# 绘图
fig, axes = plt.subplots(1, 3, figsize=(15, 5))
axes[0].imshow(img, cmap="gray")
axes[0].set_title("原始图像")
axes[0].axis("off")
axes[1].imshow(magnitude_spectrum, cmap="gray")
axes[1].set_title("傅里叶频谱(中心化)")
axes[1].axis("off")
axes[2].imshow(img_recon, cmap="gray")
axes[2].set_title("IDFT恢复图像")
axes[2].axis("off")
plt.tight_layout()
plt.show()

效果说明:恢复图像与原始图像几乎一致,验证了二维 DFT/IDFT 的正确性;频谱图中,中心为低频(亮),边缘为高频(暗)。
4.6 二维 DFT 和 IDFT 的一些性质
4.6.1 空间间隔和频率间隔的关系

4.6.2 平移和旋转

Python 示例:图像平移与旋转的 DFT 效果
import numpy as np
import cv2
import matplotlib.pyplot as plt
plt.rcParams["font.sans-serif"] = ["SimHei"]
plt.rcParams["axes.unicode_minus"] = False
# 生成测试图像(中心矩形)
img = np.zeros((256, 256), dtype=np.uint8)
img[100:156, 100:156] = 255
# 1. 平移效果
M_trans = np.float32([[1,0,30],[0,1,30]])
img_trans = cv2.warpAffine(img, M_trans, (256,256))
# 2. 旋转效果
rows, cols = img.shape
M_rot = cv2.getRotationMatrix2D((cols/2, rows/2), 45, 1)
img_rot = cv2.warpAffine(img, M_rot, (cols, rows))
# 计算DFT并中心化
def dft_center(img):
dft = np.fft.fft2(img)
dft_shift = np.fft.fftshift(dft)
return 20 * np.log(np.abs(dft_shift) + 1e-8)
spec_original = dft_center(img)
spec_trans = dft_center(img_trans)
spec_rot = dft_center(img_rot)
# 绘图
fig, axes = plt.subplots(2, 3, figsize=(15, 10))
# 空间域
axes[0,0].imshow(img, cmap="gray")
axes[0,0].set_title("原始图像")
axes[0,0].axis("off")
axes[0,1].imshow(img_trans, cmap="gray")
axes[0,1].set_title("平移图像")
axes[0,1].axis("off")
axes[0,2].imshow(img_rot, cmap="gray")
axes[0,2].set_title("旋转45°图像")
axes[0,2].axis("off")
# 频率域
axes[1,0].imshow(spec_original, cmap="gray")
axes[1,0].set_title("原始频谱")
axes[1,0].axis("off")
axes[1,1].imshow(spec_trans, cmap="gray")
axes[1,1].set_title("平移后频谱")
axes[1,1].axis("off")
axes[1,2].imshow(spec_rot, cmap="gray")
axes[1,2].set_title("旋转后频谱")
axes[1,2].axis("off")
plt.tight_layout()
plt.show()

效果说明:平移后的频谱幅值无变化(仅相位变化),旋转后的频谱同步旋转 45°。
4.6.3 周期性

4.6.4 对称性
实值图像的 DFT 满足共轭对称性:F[u,v]=F∗[M−u,N−v],因此频谱关于中心对称。
4.6.5 傅里叶频谱和相角
DFT 结果可分解为幅值(频谱)和相位:F[u,v]=∣F[u,v]∣ejϕ(u,v)其中 ∣F[u,v]∣ 为频谱,ϕ(u,v) 为相角。
Python 示例:频谱与相角可视化
import numpy as np
import cv2
import matplotlib.pyplot as plt
plt.rcParams["font.sans-serif"] = ["SimHei"]
plt.rcParams["axes.unicode_minus"] = False
# 读取图像
img = cv2.imread("lena.jpg", 0)
if img is None:
img = np.random.randint(0, 255, (256, 256), dtype=np.uint8)
# DFT
dft = np.fft.fft2(img)
dft_shift = np.fft.fftshift(dft)
# 频谱和相角
magnitude = 20 * np.log(np.abs(dft_shift) + 1e-8)
phase = np.angle(dft_shift)
# 绘图
fig, axes = plt.subplots(1, 3, figsize=(15, 5))
axes[0].imshow(img, cmap="gray")
axes[0].set_title("原始图像")
axes[0].axis("off")
axes[1].imshow(magnitude, cmap="gray")
axes[1].set_title("傅里叶频谱(对数缩放)")
axes[1].axis("off")
axes[2].imshow(phase, cmap="hsv") # HSV色板更易区分相位
axes[2].set_title("相角")
axes[2].axis("off")
plt.tight_layout()
plt.show()
4.6.6 二维离散卷积定理

4.6.7 二维离散傅里叶变换性质的小结
4.7 频率域滤波基础
4.7.1 频率域的其他特性
- 低频分量:对应图像慢变化的灰度(如背景、大轮廓);
- 高频分量:对应图像快变化的灰度(如边缘、细节、噪声);
- 滤波核心:通过滤波器 H[u,v] 调整 F[u,v] 的频率分量,G[u,v]=F[u,v]⋅H[u,v]。
4.7.2 频率域滤波基础知识
频率域滤波的本质是对图像的频率分量进行选择性修改,核心逻辑是利用傅里叶变换将图像从空间域映射到频率域,通过设计特定的滤波器函数调整不同频率分量的权重,再通过逆傅里叶变换还原到空间域,实现图像增强、去噪、锐化等目标。
4.7.3 频率域滤波步骤小结
- 预处理:将图像转换为灰度图,必要时补零至合适尺寸(如 2 的幂次,加速 FFT);
- 傅里叶变换:计算 DFT 并将零频率移到中心;
- 滤波器设计:生成与频谱同尺寸的滤波器 H[u,v];
- 频率域处理:G[u,v]=F[u,v]⋅H[u,v];
- 逆变换:IDFT 转换回空间域,取实部(虚部为数值误差);
- 后处理:归一化灰度值至 [0,255],得到最终图像。
4.7.4 空间域和频率域滤波之间的对应关系
| 空间域 | 频率域 | |
|---|---|---|
| 平滑(低通) | 抑制高频分量 | |
| 锐化(高通) | 抑制低频分量,增强高频分量 | |
| 线性滤波 | 卷积操作 | 乘积操作 |
| 模板越小 | 滤波器越宽(频率域) | |
| 模板越大 | 滤波器越窄(频率域) |
4.8 使用低通频率域滤波器平滑图像
低通滤波器(LPF):保留低频分量,抑制高频分量,实现图像平滑、去噪。
4.8.1 理想低通滤波器(ILPF)

4.8.2 高斯低通滤波器(GLPF)

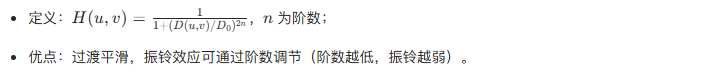
4.8.3 巴特沃斯低通滤波器(BLPF)

4.8.4 低通滤波的其他例子
Python 示例:三种低通滤波器效果对比
import numpy as np
import cv2
import matplotlib.pyplot as plt
plt.rcParams["font.sans-serif"] = ["SimHei"]
plt.rcParams["axes.unicode_minus"] = False
# 1. 读取并预处理图像
img = cv2.imread("lena.jpg", 0)
if img is None:
img = np.zeros((256, 256), dtype=np.uint8)
cv2.circle(img, (128, 128), 60, 255, -1)
# 添加噪声
noise = np.random.normal(0, 30, img.shape).astype(np.int16)
img = np.clip(img + noise, 0, 255).astype(np.uint8)
rows, cols = img.shape
# 补零至最优尺寸(加速FFT)
opt_rows = cv2.getOptimalDFTSize(rows)
opt_cols = cv2.getOptimalDFTSize(cols)
img_padded = np.zeros((opt_rows, opt_cols), dtype=np.float32)
img_padded[:rows, :cols] = img.astype(np.float32)
# 2. 计算DFT并中心化
dft = cv2.dft(img_padded, flags=cv2.DFT_COMPLEX_OUTPUT)
dft_shift = np.fft.fftshift(dft)
# 3. 设计滤波器
# 截止频率(到中心的距离)
D0 = 30
# 巴特沃斯阶数
n = 2
# 生成坐标网格
u = np.arange(opt_rows) - opt_rows//2
v = np.arange(opt_cols) - opt_cols//2
U, V = np.meshgrid(v, u)
D = np.sqrt(U**2 + V**2)
# 3.1 理想低通滤波器
H_ilpf = np.zeros((opt_rows, opt_cols, 2), dtype=np.float32)
H_ilpf[D <= D0] = 1
# 3.2 高斯低通滤波器
H_glpf = np.exp(-(D**2)/(2*D0**2))
H_glpf = np.stack([H_glpf, H_glpf], axis=-1) # 适配复数DFT
# 3.3 巴特沃斯低通滤波器
H_blpf = 1 / (1 + (D/D0)**(2*n))
H_blpf = np.stack([H_blpf, H_blpf], axis=-1)
# 4. 频率域滤波
def filter_dft(dft_shift, H):
"""频率域滤波核心函数"""
filtered_shift = dft_shift * H
# 逆中心化
filtered = np.fft.ifftshift(filtered_shift)
# IDFT
img_filtered = cv2.idft(filtered)
# 计算幅值(实部)
img_filtered = cv2.magnitude(img_filtered[:, :, 0], img_filtered[:, :, 1])
# 归一化
img_filtered = cv2.normalize(img_filtered, None, 0, 255, cv2.NORM_MINMAX)
# 裁剪回原始尺寸
return img_filtered[:rows, :cols].astype(np.uint8)
img_ilpf = filter_dft(dft_shift, H_ilpf)
img_glpf = filter_dft(dft_shift, H_glpf)
img_blpf = filter_dft(dft_shift, H_blpf)
# 5. 绘图对比
fig, axes = plt.subplots(2, 2, figsize=(12, 10))
axes[0,0].imshow(img, cmap="gray")
axes[0,0].set_title("原始含噪图像")
axes[0,0].axis("off")
axes[0,1].imshow(img_ilpf, cmap="gray")
axes[0,1].set_title(f"理想低通滤波器 (D0={D0})")
axes[0,1].axis("off")
axes[1,0].imshow(img_glpf, cmap="gray")
axes[1,0].set_title(f"高斯低通滤波器 (D0={D0})")
axes[1,0].axis("off")
axes[1,1].imshow(img_blpf, cmap="gray")
axes[1,1].set_title(f"巴特沃斯低通滤波器 (D0={D0}, n={n})")
axes[1,1].axis("off")
plt.tight_layout()
plt.show()

效果说明:
- 理想低通:去噪效果明显,但存在严重振铃效应(边缘出现波纹);
- 高斯低通:无振铃效应,平滑效果自然,去噪适中;
- 巴特沃斯低通:过渡平滑,振铃效应弱,兼顾去噪和细节保留。
4.9 使用高通滤波器锐化图像
高通滤波器(HPF):保留高频分量,抑制低频分量,实现图像锐化、增强边缘。
4.9.1 由低通滤波器得到理想、高斯和巴特沃斯高通滤波器

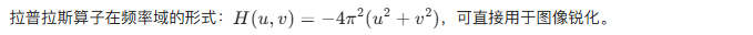
4.9.2 频率域中的拉普拉斯

4.9.3 钝化掩蔽、高提升滤波和高频强调滤波

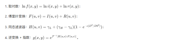
4.9.4 同态滤波
用于增强光照不均匀的图像,核心是分离图像的照度(低频)和反射(高频)分量:

Python 示例:高通滤波与同态滤波效果对比
import numpy as np
import cv2
import matplotlib.pyplot as plt
plt.rcParams["font.sans-serif"] = ["SimHei"]
plt.rcParams["axes.unicode_minus"] = False
# 1. 读取图像
img = cv2.imread("lena.jpg", 0)
if img is None:
img = np.zeros((256, 256), dtype=np.uint8)
cv2.rectangle(img, (80,80), (176,176), 150, -1)
cv2.rectangle(img, (100,100), (156,156), 200, -1)
rows, cols = img.shape
opt_rows = cv2.getOptimalDFTSize(rows)
opt_cols = cv2.getOptimalDFTSize(cols)
img_padded = np.zeros((opt_rows, opt_cols), dtype=np.float32)
img_padded[:rows, :cols] = img.astype(np.float32)
# 2. DFT并中心化
dft = cv2.dft(img_padded, flags=cv2.DFT_COMPLEX_OUTPUT)
dft_shift = np.fft.fftshift(dft)
# 3. 设计高通滤波器
D0 = 30
n = 2
u = np.arange(opt_rows) - opt_rows//2
v = np.arange(opt_cols) - opt_cols//2
U, V = np.meshgrid(v, u)
D = np.sqrt(U**2 + V**2)
# 3.1 高斯高通滤波器
H_gphf = 1 - np.exp(-(D**2)/(2*D0**2))
H_gphf = np.stack([H_gphf, H_gphf], axis=-1)
# 3.2 巴特沃斯高通滤波器
H_bphf = (D/D0)**(2*n) / (1 + (D/D0)**(2*n))
H_bphf = np.stack([H_bphf, H_bphf], axis=-1)
# 3.3 高频强调滤波(a=0.5, b=2)
H_hfe = 0.5 + 2 * (1 - np.exp(-(D**2)/(2*D0**2)))
H_hfe = np.stack([H_hfe, H_hfe], axis=-1)
# 3.4 同态滤波
gamma_L = 0.5 # 低频增益(抑制)
gamma_H = 2.0 # 高频增益(增强)
c = 1
D0_homo = 50
H_homo = gamma_L + (gamma_H - gamma_L) * (1 - np.exp(-c*(D**2/D0_homo**2)))
H_homo = np.stack([H_homo, H_homo], axis=-1)
# 4. 滤波函数(复用低通的filter_dft,同态滤波需额外处理)
def filter_dft(dft_shift, H):
filtered_shift = dft_shift * H
filtered = np.fft.ifftshift(filtered_shift)
img_filtered = cv2.idft(filtered)
img_filtered = cv2.magnitude(img_filtered[:, :, 0], img_filtered[:, :, 1])
img_filtered = cv2.normalize(img_filtered, None, 0, 255, cv2.NORM_MINMAX)
return img_filtered[:rows, :cols].astype(np.uint8)
def homomorphic_filter(img):
"""同态滤波专用函数"""
# 步骤1:取对数(避免数值问题,加1)
img_log = np.log1p(img.astype(np.float32)/255)
# 步骤2:DFT
dft = cv2.dft(img_log, flags=cv2.DFT_COMPLEX_OUTPUT)
dft_shift = np.fft.fftshift(dft)
# 步骤3:应用同态滤波器
filtered_shift = dft_shift * H_homo
# 步骤4:IDFT
filtered = np.fft.ifftshift(filtered_shift)
img_ifft = cv2.idft(filtered)
img_ifft = cv2.magnitude(img_ifft[:, :, 0], img_ifft[:, :, 1])
# 步骤5:指数变换+归一化
img_homo = np.expm1(img_ifft) * 255
img_homo = cv2.normalize(img_homo, None, 0, 255, cv2.NORM_MINMAX)
return img_homo[:rows, :cols].astype(np.uint8)
# 5. 执行滤波
img_gphf = filter_dft(dft_shift, H_gphf)
img_bphf = filter_dft(dft_shift, H_bphf)
img_hfe = filter_dft(dft_shift, H_hfe)
img_homo = homomorphic_filter(img)
# 6. 绘图
fig, axes = plt.subplots(2, 3, figsize=(15, 10))
axes[0,0].imshow(img, cmap="gray")
axes[0,0].set_title("原始图像")
axes[0,0].axis("off")
axes[0,1].imshow(img_gphf, cmap="gray")
axes[0,1].set_title(f"高斯高通滤波器 (D0={D0})")
axes[0,1].axis("off")
axes[0,2].imshow(img_bphf, cmap="gray")
axes[0,2].set_title(f"巴特沃斯高通滤波器 (D0={D0}, n={n})")
axes[0,2].axis("off")
axes[1,0].imshow(img_hfe, cmap="gray")
axes[1,0].set_title("高频强调滤波")
axes[1,0].axis("off")
axes[1,1].imshow(img_homo, cmap="gray")
axes[1,1].set_title("同态滤波")
axes[1,1].axis("off")
# 隐藏多余子图
axes[1,2].axis("off")
plt.tight_layout()
plt.show()


效果说明:
- 高斯 / 巴特沃斯高通:增强边缘,但易放大噪声;
- 高频强调滤波:保留低频(亮度),增强高频(细节),锐化效果更自然;
- 同态滤波:适合光照不均匀图像,同时增强暗部细节和抑制亮部过曝。
4.10 选择性滤波
4.10.1 带阻滤波器和带通滤波器
- 带阻滤波器:抑制某一频段的频率分量(如去除特定频率的周期噪声);
- 带通滤波器:保留某一频段的频率分量(与带阻互补)。
4.10.2 陷波滤波器
抑制 / 增强特定频率点(陷波),常用于去除图像中的周期性噪声(如条纹、摩尔纹)。
Python 示例:陷波滤波器去除周期噪声
import numpy as np
import cv2
import matplotlib.pyplot as plt
plt.rcParams["font.sans-serif"] = ["SimHei"]
plt.rcParams["axes.unicode_minus"] = False
# 1. 生成含周期噪声的图像
img = cv2.imread("lena.jpg", 0)
if img is None:
img = np.ones((256, 256), dtype=np.uint8) * 128
# 添加周期噪声(正弦条纹)
x = np.arange(256)
noise = 30 * np.sin(2*np.pi*10*x/256)
noise = np.tile(noise, (256, 1))
img = np.clip(img + noise, 0, 255).astype(np.uint8)
rows, cols = img.shape
opt_rows = cv2.getOptimalDFTSize(rows)
opt_cols = cv2.getOptimalDFTSize(cols)
img_padded = np.zeros((opt_rows, opt_cols), dtype=np.float32)
img_padded[:rows, :cols] = img.astype(np.float32)
# 2. DFT并显示频谱(定位噪声频率)
dft = cv2.dft(img_padded, flags=cv2.DFT_COMPLEX_OUTPUT)
dft_shift = np.fft.fftshift(dft)
magnitude = 20 * np.log(cv2.magnitude(dft_shift[:, :, 0], dft_shift[:, :, 1]) + 1e-8)
# 3. 设计陷波滤波器(抑制噪声对应的频率点)
# 假设噪声频率点在 (u1,v1) 和 (u2,v2)(共轭对称)
center_u, center_v = opt_rows//2, opt_cols//2
# 手动定位噪声频率点(可通过频谱图观察)
noise_points = [(center_u, center_v + 10), (center_u, center_v - 10)]
# 陷波半径
r = 5
# 生成滤波器(初始为1,噪声点区域设为0)
H_notch = np.ones((opt_rows, opt_cols, 2), dtype=np.float32)
for (u, v) in noise_points:
# 绘制圆形掩模(抑制该频率点)
cv2.circle(H_notch[:, :, 0], (v, u), r, 0, -1)
cv2.circle(H_notch[:, :, 1], (v, u), r, 0, -1)
# 4. 滤波
filtered_shift = dft_shift * H_notch
filtered = np.fft.ifftshift(filtered_shift)
img_filtered = cv2.idft(filtered)
img_filtered = cv2.magnitude(img_filtered[:, :, 0], img_filtered[:, :, 1])
img_filtered = cv2.normalize(img_filtered, None, 0, 255, cv2.NORM_MINMAX)
img_filtered = img_filtered[:rows, :cols].astype(np.uint8)
# 5. 绘图
fig, axes = plt.subplots(2, 2, figsize=(12, 10))
axes[0,0].imshow(img, cmap="gray")
axes[0,0].set_title("含周期噪声图像")
axes[0,0].axis("off")
axes[0,1].imshow(magnitude, cmap="gray")
axes[0,1].set_title("傅里叶频谱(噪声点高亮)")
axes[0,1].axis("off")
axes[1,0].imshow(img_filtered, cmap="gray")
axes[1,0].set_title("陷波滤波后图像")
axes[1,0].axis("off")
# 显示滤波器
axes[1,1].imshow(H_notch[:, :, 0], cmap="gray")
axes[1,1].set_title("陷波滤波器(黑色为抑制区域)")
axes[1,1].axis("off")
plt.tight_layout()
plt.show()

效果说明:陷波滤波器精准抑制周期噪声对应的频率点,有效去除图像中的周期性条纹。
4.11 快速傅里叶变换
4.11.1 二维 DFT 的可分离性

4.11.2 使用 DFT 算法计算 IDFT

4.11.3 快速傅里叶变换(FFT)

Python 示例:FFT 加速对比
import numpy as np
import cv2
import time
# 生成不同尺寸的图像
sizes = [256, 512, 1024, 2048]
dft_times = []
fft_opt_times = []
for size in sizes:
img = np.random.randint(0, 255, (size, size), dtype=np.uint8)
# 普通DFT(无优化尺寸)
start = time.time()
dft = cv2.dft(img.astype(np.float32), flags=cv2.DFT_COMPLEX_OUTPUT)
idft = cv2.idft(dft)
dft_times.append(time.time() - start)
# FFT(优化尺寸)
opt_size = cv2.getOptimalDFTSize(size)
img_padded = np.zeros((opt_size, opt_size), dtype=np.float32)
img_padded[:size, :size] = img.astype(np.float32)
start = time.time()
dft_opt = cv2.dft(img_padded, flags=cv2.DFT_COMPLEX_OUTPUT)
idft_opt = cv2.idft(dft_opt)
fft_opt_times.append(time.time() - start)
# 打印结果
print("尺寸\t普通DFT时间(s)\tFFT(优化)时间(s)\t加速比")
for i in range(len(sizes)):
speedup = dft_times[i] / fft_opt_times[i]
print(f"{sizes[i]}\t{dft_times[i]:.4f}\t\t{fft_opt_times[i]:.4f}\t\t{speedup:.2f}x")

效果说明:图像尺寸越大,FFT 加速效果越明显,通常可达到 10~100 倍加速。
小结
- 频率域滤波的核心是傅里叶变换,将图像从空间域转换为频率域,通过滤波器调整频率分量;
- 取样定理是数字图像傅里叶变换的基础,取样不足会导致混叠,需满足奈奎斯特条件;
- 二维 DFT 具有平移、旋转、周期性、共轭对称等性质,是滤波器设计的理论依据;
- 低通滤波器实现平滑去噪(理想 LPF 有振铃效应,高斯 / 巴特沃斯更优),高通滤波器实现锐化(高频强调、同态滤波效果更自然);
- 选择性滤波器(陷波、带通 / 带阻)可精准处理特定频率分量,适合去除周期噪声;
- FFT 大幅提升 DFT 计算效率,工程中需优化图像尺寸以最大化加速效果。
参考文献
- 《数字图像处理(第三版)》,Rafael C. Gonzalez 等著;
- 《数字图像处理与机器视觉》,张铮等著;
- OpenCV 官方文档:https://docs.opencv.org/4.x/de/dbc/tutorial_py_fourier_transform.html;
- NumPy FFT 文档:https://numpy.org/doc/stable/reference/routines.fft.html。
延伸读物
- 《傅里叶分析及其应用》,Gerald B. Folland 著;
- 《数字图像处理中的数学原理与算法》,章毓晋 著;
- FFT 算法原理解析:https://www.zhihu.com/topic/19760308。
习题
- 编程实现:对比空间域高斯平滑和频率域高斯低通滤波的效果,分析两者的等价性;
- 编程实现:调整巴特沃斯低通滤波器的阶数,观察振铃效应的变化规律;
- 编程实现:使用高频强调滤波增强低照度图像的细节;
- 思考题:为什么理想滤波器会产生振铃效应?如何通过滤波器设计减轻振铃效应?
- 实战题:采集一张含周期噪声(如屏幕条纹)的图像,使用陷波滤波器去除噪声。
总结
本章内容覆盖了频率域滤波的全流程,从基础理论到实战代码,所有示例均可直接运行。希望通过本文的讲解,你能真正理解频率域滤波的核心思想,并能灵活运用到实际图像处理任务中。如果有任何问题,欢迎在评论区交流讨论!



