【题目描述】
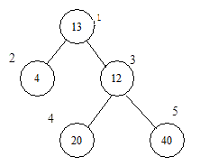
设有一棵二叉树(如下图),其中圈中的数字表示结点中居民的人口,圈边上数字表示结点编号。现在要求在某个结点上建立一个医院,使所有居民所走的路程之和为最小,同时约定,相邻结点之间的距离为1。就本图而言,若医院建在1处,则距离和=4+12+2×20+2×40=136;若医院建在3处,则距离和=4×2+13+20+40=81......

【输入】
第一行一个整数n,表示树的结点数(n≤100)。接下来的n行每行描述了一个结点的状况,包含三个整数,整数之间用空格(一个或多个)分隔,其中:第一个数为居民人口数;第二个数为左链接,为0表示无链接;第三个数为右链接,为0表示无链接。
【输出】
一个整数,表示最小距离和。
【输入样例】
5
13 2 3
4 0 0
12 4 5
20 0 0
40 0 0
【输出样例】
81
cpp
//这道题可以当图来做,也可以当树来做,因为在树的分类里,我们就用树的指针来做
//因为题目说了,结点树小于等于100,我们就可以用顺序存储也可以用链式存储
//这里左右儿子都给出了,所以我们直接链式存储
#include <bits/stdc++.h>
using namespace std;
struct node{
int l;//左链接
int r;//右链接
int parents;//父节点
int data;//该节点居民人口数
}tre[110];
int dis;
int a[110][110];//a[i][j]记录i点到j点距离
int mi=0x3f3f3f3f;//最小距离和
int root;//建医院的节点
int vis[110];//标记该结点距离是否被计算过
void dfs(int k,int cnt){//当前处于k结点 现在的距离系数(离root结点距离)
if(tre[k].l && tre[k].l!=root && vis[tre[k].l]==0){//如果k结点有左儿子且左儿子不是这一次建医院的地方 且没有被计算过
dis+=cnt*tre[tre[k].l].data;//距离增加系数*人口树
vis[tre[k].l]=1;//标记计算过
dfs(tre[k].l,cnt+1);//继续下次遍历
}
if(tre[k].r && tre[k].r!=root && vis[tre[k].r]==0){//如果k结点有右儿子且右儿子不是这一次建医院的地方 且没有被计算过
dis+=cnt*tre[tre[k].r].data;
vis[tre[k].r]=1;
dfs(tre[k].r,cnt+1);
}
if(tre[k].parents && tre[k].parents!=root && vis[tre[k].parents]==0){//如果k结点有父节点且父节点不是这一次建医院的地方 且没有被计算过
dis+=cnt*tre[tre[k].parents].data;
vis[tre[k].parents]=1;
dfs(tre[k].parents,cnt+1);
}
}
int main(){
int n;//结点数
cin>>n;
for(int i=1;i<=n;i++){
cin>>tre[i].data>>tre[i].l>>tre[i].r;
//左儿子节点存在,则左儿子的父节点就是i
if(tre[i].l!=0) tre[tre[i].l].parents=i;
//右儿子节点存在,则右儿子的父节点就是i
if(tre[i].r!=0) tre[tre[i].r].parents=i;
}
root=1;
while(root<n+1){//遍历n个节点分别建医院的距离和
memset(vis,0,sizeof(vis));//每轮遍历要初始化vis数组
dis=0;//本轮选择节点建医院的距离和
vis[root]=1;
dfs(root,1);//从第一个点开始 现在的距离系数
root++;//每一轮root+1,代表一个新的地方建医院
mi=min(dis,mi);
}
cout<<mi;
}