方法五:矩阵求幂
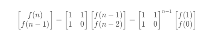
斐波那契数列矩阵方程:

算法:
- 若 N 小于等于 1,则返回 N。
- 使用递归函数matrixPower 计算给定矩阵 A 的幂。幂为 N-1,其中 N 是第 N 个 斐波那契数。
- matrixPower 函数将对 N/2 个斐波那契数进行操作。
- 在 matrixPower 中,调用 multiply 函数将两个矩阵相乘。
- 完成计算后,返回 A[0][0] 得到第 N 个斐波那契数。

Java 实现
class Solution {
int fib(int N) {
if (N <= 1) {
return N;
}
int[][] A = new int[][]{{1, 1}, {1, 0}};
matrixPower(A, N-1);
return A[0][0];
}
void matrixPower(int[][] A, int N) {
if (N <= 1) {
return;
}
matrixPower(A, N/2);
multiply(A, A);
int[][] B = new int[][]{{1, 1}, {1, 0}};
if (N%2 != 0) {
multiply(A, B);
}
}
void multiply(int[][] A, int[][] B) {
int x = A[0][0] * B[0][0] + A[0][1] * B[1][0];
int y = A[0][0] * B[0][1] + A[0][1] * B[1][1];
int z = A[1][0] * B[0][0] + A[1][1] * B[1][0];
int w = A[1][0] * B[0][1] + A[1][1] * B[1][1];
A[0][0] = x;
A[0][1] = y;
A[1][0] = z;
A[1][1] = w;
}
}
复杂度分析
