【Leetcode606】二叉树转字符串:前序遍历 + 括号精简规则,一次递归搞定
题目要求把一棵二叉树转成字符串,形式类似:

- 节点值直接输出
- 左子树用
(left)包起来 - 右子树用
(right)包起来 - 空节点一般用
()表示 - 但要省略所有不影响一一映射的空括号
这句话很关键:
"省略不影响一一映射关系的空括号"
意味着:省略不能让结构变得模糊。
1)先把规则讲明白(这是整题的灵魂)
对于一个节点 root:
情况 A:有左子树
输出:root(left...)
- 左子树的括号不能省略,因为它告诉读者"左边有东西"。
情况 B:没有左子树,但有右子树
输出:root()(right...)
- 这里 左边必须输出
()
因为如果省掉(),例如写成root(right...),读者会误以为右子树其实是左子树,结构就对不上了。
这就是示例 2 的核心原因。
情况 C:没有右子树
- 右子树这一对括号可以省略(因为右边啥都没有,省了不会产生歧义)。
总结成一句口诀:
右子树存在而左子树不存在时,左边的空括号必须保留;除此之外,能省则省。
2)整体解题思路(递归前序遍历)
用前序遍历(根→左→右)去拼字符串:
-
访问当前节点:拼接
root.val -
处理左子树括号:
- 左不空:拼
(+ 左子树 +) - 左空但右不空:拼
()
- 左不空:拼
-
处理右子树括号:
- 右不空:拼
(+ 右子树 +) - 右空:不拼(直接省略)
- 右不空:拼
为了高效拼字符串,用 StringBuilder,避免大量字符串相加造成性能浪费。
3)来看这段代码(整体结构)
java
class Solution {
public String tree2str(TreeNode root) {
StringBuilder stringbuilder = new StringBuilder();
tree2strchild(root, stringbuilder);
return stringbuilder.toString();
}
public void tree2strchild(TreeNode root, StringBuilder stringbuilder) {
if(root == null) return;
stringbuilder.append(root.val);
if(root.left != null) {
stringbuilder.append("(");
tree2strchild(root.left, stringbuilder);
stringbuilder.append(")");
} else {
if(root.right == null) return;
stringbuilder.append("()");
}
if(root.right != null) {
stringbuilder.append("(");
tree2strchild(root.right, stringbuilder);
stringbuilder.append(")");
} else {
return;
}
}
}
这份实现是典型的"在递归时直接把括号拼出来",没有额外数组、栈,空间开销只有递归深度。
4)逐步拆解代码逻辑(每一段在干嘛)
4.1 递归出口:空节点直接返回
java
if(root == null) return;
空节点不输出任何字符。注意题目里说"空节点用 () 表示",但那是"表示空孩子"的概念,并不是说碰到 null 就无脑输出 ()------是否输出 () 取决于父节点规则(尤其是"左空右不空"的场景)。
4.2 先输出当前节点值(前序的"根")
java
stringbuilder.append(root.val);
这一步就是"根"。
4.3 处理左子树(左括号是否要输出)
java
if(root.left != null) {
stringbuilder.append("(");
tree2strchild(root.left, stringbuilder);
stringbuilder.append(")");
} else {
if(root.right == null) return;
stringbuilder.append("()");
}
分两类情况:
左子树存在
输出:(left...)
也就是:
- 先拼
( - 递归拼左子树内容
- 再拼
)
左子树不存在
这里又分两种:
-
如果右子树也不存在:直接
return- 因为左右都空,当前节点已经输出完了,不需要额外括号
-
如果右子树存在:必须输出
()- 这是保留"一一映射"的关键:告诉读者"左边是空的,右边才有东西"
这段代码准确实现了规则 B 和规则 C。
4.4 处理右子树(右括号是否要输出)
java
if(root.right != null) {
stringbuilder.append("(");
tree2strchild(root.right, stringbuilder);
stringbuilder.append(")");
} else {
return;
}
右子树存在就输出 (right...);不存在直接省略(return 结束当前节点处理)。
5)用示例走一遍:为什么会输出正确结果?
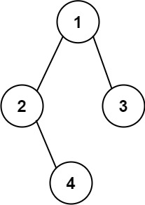
示例 1:root = [1,2,3,4]
结构是:
1
/ \
2 3
/
4
递归过程(按拼接顺序):
-
访问 1:输出
1 -
左存在:输出
( ... )-
访问 2:输出
2 -
左存在:输出
( ... )- 访问 4:输出
4 - 4 左空右空:直接结束,不加括号
- 访问 4:输出
-
2 右空:省略
-
-
右存在:输出
( ... )- 访问 3:输出
3 - 3 左空右空:结束
- 访问 3:输出
最终:1(2(4))(3) ✅
示例 2:root = [1,2,3,null,4]
1
/ \
2 3
\
4
关键节点是 2:
- 2 左空,但右不空(有 4)
- 必须输出
2()(4)
如果省略 (),会变成 2(4),读者会理解成"4 是 2 的左孩子",结构就错了。
这就是题目强调"一对一映射"时 () 必须保留的唯一典型场景。
6)复杂度分析
- 时间复杂度:
O(n)
每个节点访问一次,拼接一次(括号是常数次追加) - 空间复杂度:
O(h)
递归栈深度,h为树高;极端退化链表时最坏O(n)
7)易错点重点提醒(写这题最常翻车的地方)
-
不是所有 null 都输出
()
()是由父节点决定是否需要表达空左孩子的。 -
"左空右不空"时必须输出
()否则结构信息丢失,无法保持一一映射。
-
字符串拼接别用
+反复连这题节点最多 10^4,用
StringBuilder是更稳的选择。
8)小结
这题的正确解法可以概括为一句话:
前序遍历输出节点值,左右子树用括号包裹;只有在"左空右不空"时必须补
(),其余空括号能省则省。
把这个规则记牢,代码就会写得非常顺,且不容易漏掉示例 2 这种"最爱卡人"的用例。