摘要
随着全球气候变化和人口增长带来的粮食安全压力不断增大,精准农业与可持续土地管理成为应对挑战的关键路径。土壤作为农业生产的物质基础,其水分、盐分和养分状况直接影响作物生长、产量形成和资源利用效率。传统土壤参数监测方法依赖于田间采样与实验室分析,虽然精度较高,但存在空间代表性有限、时间成本高昂、破坏性强等固有局限,难以满足大范围、高频次、动态监测的现代农业需求。
遥感技术的快速发展为解决这一难题提供了革命性手段。从早期的航空摄影到现代多源卫星观测体系,遥感技术以其非接触、大范围、周期性观测的独特优势,实现了对地表参数的空间连续监测和时间动态追踪。特别是在土壤参数反演领域,经过数十年的研究积累和技术创新,已形成了从经验统计到物理机制、从单一数据源到多源融合、从静态监测到动态预测的完整技术体系。
本文旨在系统梳理土壤水分、盐分和养分遥感反演的技术发展脉络,深入分析各类方法的理论基础、实现路径和应用效果。首先,将全面介绍可用于土壤参数反演的多源遥感数据,包括光学、热红外、微波和高光谱等传感器系统及其技术特性。其次,将分专题详细阐述土壤水分、盐分和养分的反演机理与主流方法,重点分析各类模型的物理基础、数学表达、适用条件和精度表现。再次,将探讨当前面临的技术挑战和未来发展趋势,特别是多源数据融合、人工智能应用和业务化运行等前沿方向。最后,将对土壤参数遥感反演技术的应用前景和发展方向进行展望。
一、引言:土壤参数遥感监测的必要性与发展历程
1.1 土壤参数监测的农业与生态意义
土壤是陆地生态系统的核心组成部分,也是农业生产的基础载体。土壤水分、盐分和养分作为土壤的三大关键参数,共同决定着土地的生产潜力和生态功能。
土壤水分是作物生长发育的命脉,直接影响光合作用、养分吸收和物质运输。适宜的土壤水分条件能够提高水分利用效率,促进根系发育,增强作物抗逆性。在全球水资源日益紧张的背景下,精准监测土壤水分动态对于优化灌溉制度、提高灌溉效率具有重要价值。研究表明,基于遥感反演的土壤水分数据可以使农田灌溉用水节约15%-30%,同时保持或提高作物产量。
土壤盐分是制约土地生产力的主要障碍因素之一。全球盐渍化土壤面积超过10亿公顷,且每年以100-150万公顷的速度增加。盐分积累不仅直接毒害作物根系,还通过渗透胁迫影响水分吸收,破坏土壤结构。及时、准确地监测土壤盐分空间分布和动态变化,对于盐碱地改良、灌溉水质管理和土地可持续利用至关重要。遥感技术为大范围盐渍化监测提供了经济有效的技术手段,特别是在人迹罕至的偏远地区。
土壤养分包括氮、磷、钾等大量元素和多种微量元素,是作物产量形成和品质提升的物质基础。传统施肥往往基于区域平均或经验判断,容易导致施肥不足或过量。过量施肥不仅增加生产成本,还会造成养分流失、水体富营养化和温室气体排放。基于遥感技术的精准养分管理,可以实现按需施肥、变量施肥,在保证产量的同时减少环境影响。研究显示,基于遥感监测的变量施肥技术可以将氮肥利用率提高20%-30%,减少氮素损失15%-25%。
1.2 传统监测方法的局限与遥感技术优势
传统土壤参数监测主要依靠田间采样和实验室分析。标准方法包括:土壤水分采用烘干法或时域反射法(TDR);土壤盐分采用电导率测定或化学分析;土壤养分采用化学提取和仪器分析。这些方法虽然精度较高,但存在明显局限:
-
空间代表性有限:点状采样难以反映田间空间变异,而土壤参数往往具有高度的空间异质性。
-
时间分辨率低:采样分析周期长,无法捕捉参数的快速变化,如降雨后的水分动态。
-
成本高昂:大规模采样需要大量人力物力,经济成本较高。
-
破坏性强:采样过程干扰作物生长,难以在同一位置进行连续监测。
-
时效性差:从采样到获得结果存在时间延迟,难以为实时决策提供支持。
相比之下,遥感技术展现出独特优势:
-
空间连续性:提供面状覆盖数据,能够完整反映空间分布格局。
-
时间周期性:卫星重访周期从数小时到数十天,可实现动态监测。
-
非接触测量:不干扰地表自然状态,适合长期监测。
-
大范围覆盖:单景影像可覆盖数万平方公里,适合区域尺度研究。
-
历史数据积累:部分卫星数据序列长达数十年,支持变化监测研究。
1.3 土壤参数遥感反演的技术发展脉络
土壤参数遥感反演技术的发展大致经历了三个阶段:
第一阶段(1970s-1990s):经验统计探索期
早期研究主要基于光学遥感数据,通过建立土壤反射率与参数含量的经验统计关系进行反演。这一阶段的特点是模型简单、理论基础薄弱、区域适用性强。典型工作包括利用MSS、TM数据的波段比值与土壤水分的相关分析。由于缺乏对土壤-植被-大气系统的深入理解,反演精度和稳定性有限。
第二阶段(1990s-2010s):物理机制发展期
随着辐射传输理论的发展和热红外、微波传感器的应用,基于物理机制的模型逐渐成为主流。热惯量模型、温度-植被指数空间模型、微波散射模型等相继提出并完善。这一阶段的特点是模型物理基础坚实、参数具有明确物理意义。但由于模型复杂、参数众多,实际应用仍面临挑战。
第三阶段(2010s至今):多源融合与智能计算期
新一代遥感卫星的发射和人工智能技术的发展推动了土壤参数反演的创新。多源数据融合充分利用光学、热红外和微波的互补优势;机器学习方法有效处理非线性关系和复杂特征;数据同化技术实现观测与模型的有机集成。这一阶段的特点是方法集成创新、精度显著提升、应用领域拓展。
当前,土壤参数遥感反演正朝着高精度、实时化、业务化的方向发展,并与精准农业、水资源管理等应用需求紧密结合。
二、遥感数据源系统:从光学到微波的全谱段观测能力
土壤参数遥感反演的精度和可靠性很大程度上依赖于遥感数据本身的质量和特性。不同波段的电磁波与土壤相互作用的机理各异,因此适用于不同的参数反演。全面了解各类遥感数据源的技术特点,是选择合适的反演方法和技术路线的首要前提。
2.1 光学遥感数据:可见光-近红外-短波红外
光学遥感主要探测地表反射的太阳辐射,波长范围通常为0.4-2.5微米,包含可见光、近红外和短波红外三个子区间。
**可见光波段(0.4-0.7微米)**主要反映地表的颜色和亮度信息。对于土壤而言,有机质含量、铁氧化物、水分状况等都会影响可见光反射率。有机质含量高的土壤通常颜色较深,反射率较低;而盐渍化土壤因表面盐分结晶而呈现亮白色,反射率显著增加。
**近红外波段(0.7-1.3微米)**对植被特征和土壤水分敏感。水分在这一波段有强烈的吸收特征,特别是970纳米和1200纳米附近的水分子吸收带。干燥土壤的近红外反射率明显高于湿润土壤。
**短波红外波段(1.3-2.5微米)**包含丰富的光谱信息,特别是与土壤矿物成分、有机质和结合水相关的吸收特征。例如,黏土矿物在2200纳米附近的吸收特征、碳酸盐在2300-2500纳米的吸收特征等。
目前常用的光学遥感卫星包括:
Landsat系列:自1972年发射第一颗卫星以来,Landsat提供了长达半个世纪的连续地球观测数据。最新的Landsat 9于2021年发射,携带OLI-2和TIRS-2传感器,空间分辨率30米(多光谱),重访周期16天。Landsat数据在土壤研究中广泛应用,特别是其长时间序列特性支持变化监测研究。
Sentinel-2:欧洲哥白尼计划的核心组成部分,由两颗卫星(2A和2B)组成星座,重访周期缩短至5天。Sentinel-2在可见光-近红外范围有13个光谱波段,其中4个波段空间分辨率10米,6个波段20米,3个波段60米。红边波段的设置(704、740、783纳米)特别有利于植被参数和土壤-植被混合像元分析。
MODIS:搭载在Terra和Aqua卫星上,虽然空间分辨率较低(250米-1千米),但时间分辨率高(1-2天),适合大范围、动态监测。MODIS的植被指数、地表温度等产品已广泛应用于土壤水分和干旱监测。
国产高分卫星系列:中国高分辨率对地观测系统包括多颗光学卫星,如GF-1(2米全色/8米多光谱)、GF-6(2米全色/8米多光谱,新增红边波段)。这些卫星在农业遥感中应用日益广泛。
2.2 热红外遥感数据:地表温度与发射率信息
热红外遥感探测地表自身发射的热辐射,波长范围通常为8-14微米。地表温度是能量平衡和水分状况的综合体现,因此热红外数据在土壤水分反演中具有独特价值。
物理基础:根据普朗克辐射定律,所有温度高于绝对零度的物体都会发射热辐射。地表发射的热辐射强度取决于其温度和发射率。在热红外波段,大多数自然地表的发射率在0.90-0.98之间,而水分含量增加通常会提高土壤发射率。
主要传感器:
-
Landsat TIRS:Landsat 8和9携带的热红外传感器,有两个热红外波段(10.6-11.2微米和11.5-12.5微米),空间分辨率100米。
-
ASTER:搭载在Terra卫星上,有5个热红外波段,空间分辨率90米,特别适合地表温度发射率分离。
-
MODIS地表温度产品:基于31、32波段(10.78-11.28微米和11.77-12.27微米)反演,空间分辨率1千米。
热红外数据的主要挑战是大气影响校正和地表温度-发射率分离问题。大气中的水汽、二氧化碳等会吸收和再发射热辐射,需要进行精确的大气校正。此外,从卫星观测的辐射亮度温度中同时反演地表温度和发射率是一个欠定问题,需要额外的约束条件。
2.3 微波遥感数据:穿透性与全天候观测
微波遥感根据工作方式分为主动微波(雷达)和被动微波(辐射计),波长范围通常为1毫米到1米。微波能够穿透云层和一定程度的植被,提供全天候观测能力,特别适合多云多雨地区的连续监测。
2.3.1 主动微波(合成孔径雷达,SAR)
SAR通过主动发射微波脉冲并接收地物后向散射信号进行成像。后向散射系数(σ⁰)受地表介电特性、粗糙度和几何结构影响。
频率与穿透性:常用的SAR频段包括:
-
X波段(8-12 GHz):波长约3厘米,对植被冠层敏感,土壤穿透能力有限。
-
C波段(4-8 GHz):波长约5.6厘米,平衡了植被穿透和土壤敏感性,应用最广泛。
-
L波段(1-2 GHz):波长约24厘米,穿透能力最强,对土壤水分最敏感。
极化方式:SAR信号有不同极化组合(HH、VV、HV、VH)。地表散射特性与极化密切相关,多极化数据可提供更丰富的信息。
主要系统:
-
Sentinel-1:欧洲哥白尼计划的SAR卫星,C波段,双极化(VV+VH或HH+HV),重访周期6-12天,免费开放数据政策极大促进了SAR应用。
-
ALOS-2/PALSAR-2:日本L波段SAR,穿透能力更强,特别适合植被覆盖区域的土壤水分反演。
-
Radarsat-2:加拿大C波段SAR,全极化能力,支持精细的地表参数反演。
2.3.2 被动微波
被动微波辐射计接收地表自然发射的微波辐射,亮度温度(T_B)与地表发射率成正比。由于发射率与介电常数直接相关,被动微波对土壤水分极为敏感。
主要系统:
-
SMAP:美国NASA专门为土壤水分监测设计的卫星,L波段辐射计,空间分辨率约36千米,重访周期2-3天。
-
SMOS:欧洲航天局土壤水分和海洋盐度任务,L波段干涉式辐射计,空间分辨率约40千米。
-
AMSR系列:搭载在Aqua卫星和GCOM-W卫星上,多频率(6.9-89 GHz),空间分辨率5-50千米。
被动微波的空间分辨率较低,但时间分辨率高,适合大尺度土壤水分动态监测。与主动微波相比,被动微波受表面粗糙度影响较小,物理反演更直接。
2.4 高光谱遥感数据:连续精细光谱信息
高光谱遥感在可见光-短波红外范围获取数十至数百个连续窄波段(通常带宽<10纳米)的光谱信息,能够探测地物的精细光谱特征。
技术优势:
-
连续光谱覆盖:可以完整记录地物的吸收和反射特征。
-
窄波段信息:能够分辨窄而弱的光谱特征。
-
光谱诊断能力:特定矿物、有机物等有诊断性吸收特征。
主要系统:
-
PRISMA:意大利空间局的高光谱卫星,400-2500纳米范围,约240个波段,带宽<12纳米,空间分辨率30米。
-
EnMAP:德国环境监测与分析计划卫星,420-2450纳米范围,约240个波段,空间分辨率30米。
-
国产GF-5高光谱相机:可见短波红外高光谱成像仪,400-2500纳米范围,空间分辨率30米。
-
机载高光谱:如AVIRIS、HyMap等,空间分辨率可达数米,适合精细尺度研究。
高光谱数据在土壤盐分和养分反演中优势明显,特别是对特定盐类(如石膏、碳酸盐)和有机质组分的识别。但数据量大、处理复杂、成本较高限制了其业务化应用。
2.5 无人机遥感平台:灵活高效的近地面观测
无人机遥感作为卫星遥感的补充,提供了灵活、高分辨率的近地面观测能力。
技术特点:
-
高空间分辨率:可达厘米级,适合田块尺度精细监测。
-
灵活机动:根据需要随时飞行,不受卫星过境时间限制。
-
云下飞行:可获取多云天气下的数据。
-
多传感器集成:可同时搭载多光谱、热红外、高光谱等传感器。
常用系统:
-
多光谱无人机:如Parrot Sequoia+(4个窄波段)、MicaSense RedEdge(5个波段),价格相对低廉,适合大面积应用。
-
热红外无人机:如FLIR Tau2系列,可获取高分辨率地表温度。
-
高光谱无人机:如Headwall Nano-Hyperspec,提供连续光谱信息,但成本较高。
无人机遥感特别适合农田尺度的土壤参数制图和验证工作,可作为卫星数据的地面验证和尺度转换桥梁。
三、土壤水分遥感反演:从表面到深层的探测
土壤水分是水文循环、能量平衡和农业生产的关键变量。遥感技术提供了从表面到一定深度的土壤水分信息获取能力,不同方法各有特点和适用条件。
3.1 光学与热红外方法:间接反演技术
光学和热红外方法主要通过土壤水分对地表反射率和温度的影响进行间接反演,适用于裸露或低植被覆盖条件。
3.1.1 热惯量法:基于能量平衡的原理
热惯量是物质抵抗温度变化能力的物理量,定义为:

其中ρ为密度(kg/m³),c为比热容(J/kg·K),λ为热导率(W/m·K)。土壤水分显著影响热性质:水的比热容(4182 J/kg·K)远高于干土颗粒(~800 J/kg·K),热导率也随水分增加而提高。
表观热惯量(ATI):由于真实热惯量计算需要土壤热参数,实际中常用简化形式:

其中α为地表反照率(0.3-0.4微米波段反射率均值),LST_day和LST_night分别为昼夜地表温度。
ATI与土壤体积含水量(θ_v)通常呈正相关,可通过经验关系建立转换模型:

系数a和b需要通过地面实测数据率定。
技术要点:
-
需要同时获取昼夜温度数据,通常选择晴空条件下的相邻过境。
-
地表反照率计算需进行大气校正。
-
植被覆盖会显著影响热惯量计算,需进行植被校正或限制在低植被条件使用。
-
仅反映表层几厘米的土壤水分状况。
改进方法:
-
归一化热惯量:考虑太阳天顶角的影响
-
植被调整热惯量:引入植被指数进行校正
-
时间序列热惯量:利用多时相数据提高反演稳定性
3.1.2 温度-植被指数特征空间法:基于生态水文学原理
该方法建立在生态水文学观察基础上:在相同植被覆盖条件下,地表温度与土壤水分含量呈负相关;在相同土壤水分条件下,植被覆盖度与地表温度也呈一定关系。
三角形/梯形空间模型:在NDVI-LST散点图中,数据点分布大致呈三角形或梯形。上边界代表水分胁迫条件下的最大温度(干边),下边界代表充分供水条件下的最小温度(湿边)。
温度植被干旱指数(TVDI):基于上述特征空间,定义:

其中LST_max(NDVI)和LST_min(NDVI)分别为相同NDVI下的最高和最低温度,通过散点图边界拟合获得。
TVDI值范围为0-1,值越大表示土壤越干旱。与土壤水分的关系为:

改进与发展:
-
指数选择优化:使用土壤调节植被指数(SAVI)替代NDVI,减少土壤背景影响:

其中L为土壤调节系数,通常取0.5。
-
特征空间形态修正:考虑不同气候区、植被类型的特征空间形态差异,发展椭圆、抛物线等拟合方法。
-
时间扩展方法:结合多时相数据,构建时间序列特征空间,提高干湿边确定的稳定性。
-
物理约束引入:将能量平衡方程融入特征空间构建,增强物理基础。
适用条件与限制:
-
适用于植被覆盖区域,特别是在生长季
-
需要相对均一的气象条件和地表覆盖
-
受云污染影响大,需要晴空数据
-
反演的是表层土壤水分或根区有效水分
3.2 微波遥感方法:直接敏感技术
微波遥感对土壤介电特性敏感,而介电常数与土壤水分含量直接相关,因此微波方法是目前最直接的土壤水分遥感反演技术。
3.2.1 物理基础:介电常数与土壤水分的关系
土壤是由土壤颗粒、空气和水组成的混合介质,其介电常数(ε)是各组分的函数。在微波频率,水的介电常数(~80)远高于干土(~4),因此少量水分变化就会引起土壤介电常数的显著变化。
介电混合模型:描述土壤介电常数与体积含水量(θ_v)的关系,常用模型如:
Topp经验公式(适用于1.4 GHz):

Dobson半经验模型(考虑土壤质地影响):

其中ρ_b和ρ_s分别为土壤容重和颗粒密度,ε_s和ε_fw分别为土壤固体和自由水的介电常数,α和β为经验参数。
3.2.2 主动微波反演模型
主动微波后向散射系数(σ⁰)受介电常数和地表粗糙度共同影响,反演的关键是分离这两种影响。
小扰动模型(SPM):适用于光滑表面(均方根高度s < 0.1λ,λ为波长),后向散射系数可表示为:

其中k为波数,θ为入射角,α_{pq}为极化系数,W为表面粗糙度谱。
积分方程模型(IEM):适用于中等粗糙表面,是SPM的扩展:

其中k_x和k_z为波矢的水平与垂直分量,I_{pq}^n为n阶散射项,W^{(n)}为粗糙度谱的n阶傅里叶变换。
高级积分方程模型(AIEM):IEM的改进版,提高了大入射角和大粗糙度情况下的精度,是目前应用最广泛的物理模型。
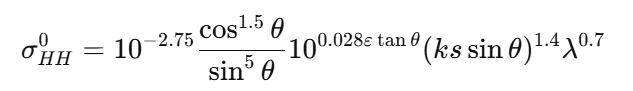
Dubois经验模型 :基于大量实测数据建立的简化模型,适用于光滑到中等粗糙表面:
对于HH极化:

对于VV极化:

植被覆盖条件下的模型 :
水云模型(Water Cloud Model):将植被层视为具有特定散射和衰减特性的云层:

其中σ_{veg}^0为植被直接后向散射,τ为植被双向透射率,σ_{soil}^0为土壤后向散射。
植被散射和衰减与植被含水量、冠层结构相关,需要辅助数据或假设进行参数化。
3.2.3 被动微波反演模型
被动微波观测的亮度温度(T_B)与地表发射率(e)和物理温度(T_s)的关系为:

地表发射率与介电常数的关系为:
对于平滑表面:

其中R_p为菲涅耳反射系数,与介电常数和入射角相关。
L-MEB模型:SMOS任务采用的核心模型,考虑土壤-植被-大气系统:


其中τ_{veg}为植被光学厚度,ω为植被单次散射反照率,各项T_B分量与介电常数、植被参数相关。
单通道算法:基于辐射传输方程的简化,如:

其中τ_{atm}为大气光学厚度,T_{atm,up}和T_{atm,down}分别为大气上行和下行辐射。
3.3 多源数据融合与同化:集成创新方法
单一遥感数据源往往难以同时满足高时空分辨率和高精度的需求,多源数据融合成为必然选择。
3.3.1 光学-微波协同反演
优势互补:
-
光学数据:高空间分辨率(10-30米),对植被参数敏感
-
微波数据:对土壤水分直接敏感,全天候观测,但空间分辨率较低(10米至数十千米)
融合策略:
-
降尺度方法:将低分辨率微波土壤水分产品与高分辨率光学数据特征(如温度、植被指数、地形)结合,获得高分辨率土壤水分图。
-
基于回归的统计降尺度:建立微波土壤水分与光学特征的空间统计关系
-
基于数据融合的降尺度:如DisPATCh方法,利用热红外数据作为中间变量
-
基于机器学习的降尺度:训练神经网络学习高-低分辨率数据的映射关系
-
-
联合反演框架:同时利用多源观测数据,在物理模型框架下优化土壤水分估计。
-
代价函数最小化:最小化模型模拟值与多源观测值之差
-
贝叶斯方法:结合先验信息和多源观测的不确定性
-
3.3.2 数据同化技术
数据同化将遥感观测与陆面过程模型动态结合,实现土壤水分的连续模拟与预测。
集合卡尔曼滤波(EnKF):
-
生成模型状态的集合(包括土壤水分、温度等)
-
向前积分模型获得预报集合
-
计算预报集合的统计特性(均值、协方差)
-
当有观测可用时,根据预报误差和观测误差更新状态集合
-
继续向前积分
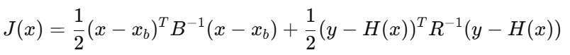
变分同化(3D-Var, 4D-Var) :
通过最小化代价函数寻找最优状态估计:

其中x为状态变量,x_b为先验估计,B为先验误差协方差,y为观测向量,H为观测算子,R为观测误差协方差。
同化系统应用:
-
全球系统:如NASA的LDAS(陆地数据同化系统)
-
区域系统:如欧洲的ELDAS、中国的CLDAS
-
农田尺度:耦合作物生长模型,支持精准灌溉决策
四、土壤盐分遥感反演:从可见到红外的识别技术
土壤盐分遥感反演主要依赖盐分对土壤光谱特征的影响,从可见光的颜色变化到红外的吸收特征,不同方法适用于不同的盐分类型和浓度范围。
4.1 盐分光谱特征与机理分析
4.1.1 直接光谱特征:盐类矿物的诊断性吸收
不同盐类在特定波段具有诊断性吸收特征,这是高光谱盐分识别的基础。
氯化钠(NaCl):常见于海滨盐土,在可见光无特征吸收,但因结晶增加反射率,特别在蓝绿波段。
石膏(CaSO₄·2H₂O):在970、1200、1450、1750、1940纳米有结合水吸收特征,在1480、1530、1750、2210纳米有SO₄²⁻吸收。
碳酸盐(CaCO₃、Na₂CO₃):在1900-2500纳米范围有多个吸收特征,特别是2300-2350纳米和2500纳米附近。
硫酸盐(Na₂SO₄):在1480、1530、1750、2210纳米有SO₄²⁻吸收特征。
硝酸盐(NaNO₃、KNO₃):在1350、1780、2200纳米附近有吸收。
这些吸收特征的深度、宽度和位置与盐分浓度和结晶状态相关,但受土壤水分、有机质、铁氧化物等因素干扰。
4.1.2 间接光谱响应:盐分引起的物理化学变化
盐分通过多种途径间接影响土壤光谱:
-
表面特征改变:盐分结晶增加表面粗糙度和亮度
-
分散性影响:钠盐破坏土壤团聚体,改变表面结构
-
水分关系:盐分降低土壤水势,影响含水量和水分光谱特征
-
植被响应:盐分胁迫改变植被生长和光谱特征
4.2 常用反演方法体系
4.2.1 光谱指数法:基于波段组合的简化方法
光谱指数通过特定波段的数学组合增强盐分信息,抑制干扰因素。
亮度指数:盐渍化土壤通常较亮,可基于可见光波段:

其中R和G分别为红和绿波段反射率。
盐分指数(SI):

对于盐渍土,SI值通常较高。
归一化盐分指数(NDSI):

或使用其他波段组合,如:

土壤盐分指数(SSI) :
基于盐分敏感波段(如SWIR1)与参考波段的比值或归一化差异。
改进指数 :
考虑土壤背景校正的指数,如:

光谱指数法简单易行,但对盐分类型和浓度范围敏感,通常需要本地化率定。
4.2.2 多元统计方法:建立定量关系
多元统计方法通过分析光谱与盐分的多变量关系,建立预测模型。
主成分分析(PCA) :
将高维光谱数据转换为少数几个主成分,这些主成分包含大部分方差信息。盐分信息可能集中在某些主成分中,可用于盐分制图。
偏最小二乘回归(PLSR) :
结合主成分分析和多元回归优点,同时分解光谱和盐分数据,建立潜在变量之间的关系。
PLSR模型形式:

其中Y为盐分含量矩阵,X为光谱矩阵,B为回归系数矩阵,E为误差矩阵。
通过交叉验证确定最佳主成分数,平衡模型复杂度和预测能力。
岭回归和LASSO :
处理多重共线性问题的回归方法,通过正则化约束回归系数。
4.2.3 机器学习方法:处理复杂非线性关系
机器学习方法能够捕捉光谱与盐分之间的复杂非线性关系,适合高维数据处理。
支持向量机(SVM) :
通过核函数将数据映射到高维空间,寻找最优分类超平面或回归函数。
对于回归问题(SVR),优化目标为:

约束条件:

随机森林(RF) :
集成多个决策树,通过投票或平均提高预测稳定性和精度。
变量重要性评估可识别对盐分敏感的波段:

其中\hat{y}i^t为第t棵树对样本i的预测,\hat{y}{i,\pi_j}^t为随机排列第j个变量后的预测。
神经网络 :
包括传统前馈网络和深度网络,通过多层非线性变换学习光谱-盐分映射关系。
4.3 高光谱遥感应用:精细识别技术
高光谱数据的连续窄波段特性使其在盐分识别中具有独特优势。
4.3.1 光谱吸收特征分析
连续统去除法:
-
确定光谱的连续统(上包络线)
-
计算连续统去除光谱:

-
提取吸收特征参数:深度、宽度、面积、对称性等
导数光谱分析 :
一阶导数:

二阶导数进一步突出吸收特征。
导数光谱对基线偏移和线性趋势不敏感,但放大噪声,需要适当平滑。
4.3.2 光谱匹配与识别
光谱角制图(SAM) :
计算未知光谱与参考光谱的相似性:

角度越小表示相似性越高。
光谱特征拟合(SFF) :
基于特定吸收特征进行匹配,考虑吸收深度、宽度等参数。
4.3.3 混合光谱分解
土壤光谱通常是多种组分(矿物、有机质、水分、盐分)的混合。线性光谱混合模型假设像元光谱是端元光谱的线性组合:

约束条件:
其中R(λ)为像元光谱,f_i为第i个端元的丰度,r_i(λ)为端元光谱,ε(λ)为误差项,m为端元数。
端元提取方法:
-
纯像元指数(PPI):多次投影寻找极端光谱
-
N-FINDR:寻找能形成最大单形体体积的像元集
-
顶点成分分析(VCA):迭代投影寻找端元
盐分端元光谱获取:
-
实验室测量纯盐矿物光谱
-
野外采集盐渍土样本,分析光谱与盐分关系
-
从图像中提取已知盐渍区光谱作为端元
丰度反演方法:
-
最小二乘法
-
全约束最小二乘法(FCLS)
-
稀疏回归方法
混合光谱分解能够估计盐分丰度,但需要准确的端元光谱和适当的混合模型。
五、土壤养分遥感反演:从直接到间接的探测策略
土壤养分遥感反演面临的主要挑战是许多养分元素没有直接的光谱特征,或特征很弱。因此,养分反演多采用间接方法,通过养分与光谱敏感参数(如植被特征、土壤属性)的关系进行估算。
5.1 养分光谱响应机理分析
5.1.1 氮素:相对丰富的间接光谱信息
氮素在植物生理和结构中起核心作用,通过多种途径影响光谱特征:
叶绿素相关特征:
-
红边位置:叶绿素含量增加使红边向长波方向移动(红移)
-
红边斜率:叶绿素含量增加使红边变陡
-
绿峰反射率:叶绿素在绿波段吸收较弱,形成反射峰,氮素充足时绿峰可能变化
蛋白质吸收特征 :
蛋白质中的化学键(C-H、N-H、O-H)在特定波段有吸收:
-
1510 nm:N-H键一级倍频
-
1690 nm:C-H键一级倍频
-
2050 nm:N-H键组合频
-
2180 nm:N-H键组合频
-
2300 nm:C-H键组合频
叶片结构和含水量 :
氮素影响细胞大小、排列和叶厚度,从而改变近红外反射。氮素充足通常叶面积指数高,近红外反射强。
5.1.2 磷素和钾素:微弱或间接的光谱信号
磷素:
-
直接特征:在短波红外(2000-2500 nm)有微弱吸收,与P-O键相关
-
间接特征:通过影响根系发育、水分吸收等生理过程间接影响光谱
钾素:
-
无明显直接吸收特征
-
通过调节气孔开闭影响水分状况,间接影响水分吸收波段
-
缺乏时导致叶缘焦枯,改变可见光反射
5.1.3 有机质:明显的光谱特征
土壤有机质在多个波段有吸收特征:
-
可见光(400-700 nm):强烈吸收,有机质含量高的土壤颜色深
-
近红外(700-1300 nm):反射较高,但无特征吸收
-
短波红外(1400-2500 nm):多个吸收特征
-
1400 nm:O-H键一级倍频(结合水)
-
1900 nm:O-H键组合频(水)
-
2200 nm:Al-OH或有机C-H键
-
有机质与氮素通常高度相关,因此常作为氮素估算的代理变量。
5.2 反演模型与方法体系
5.2.1 经验统计模型:基于相关性的简单方法
植被指数法 :
建立植被指数与养分含量的经验关系,常用指数包括:
归一化植被指数(NDVI):

与叶面积指数、生物量相关,间接反映氮素状况。
增强植被指数(EVI):

减少大气和土壤背景影响。
红边位置指数 :
基于红边(680-750 nm)反射率一阶导数的最大值位置:

其中R_{re} = (R_{670} + R_{780})/2
光化学反射指数(PRI):

与光合效率相关,间接反映氮素状态。
多元回归模型 :
筛选对养分敏感的波段,建立多元线性或非线性回归:

或

通过逐步回归、最佳子集选择等方法确定最优变量组合。
5.2.2 物理模型:基于辐射传输理论
PROSAIL模型 :
耦合叶片尺度PROSPECT模型和冠层尺度SAIL模型,模拟冠层反射率。
PROSPECT模型 (叶片光学):
基于平板模型,参数包括:
-
叶绿素含量(Cab)
-
水分含量(Cw)
-
干物质含量(Cm)
-
叶片结构参数(N)
SAIL模型 (冠层反射):
基于辐射传输理论,参数包括:
-
叶面积指数(LAI)
-
平均叶倾角(ALA)
-
热点参数(hotspot)
-
土壤反射率
-
太阳和观测几何
反演策略:
-
查找表法:预先计算参数组合对应的反射率,通过匹配实测光谱反演参数
-
优化算法:最小化模拟与实测反射率差异,如遗传算法、粒子群优化
-
神经网络法:训练网络学习反射率-参数映射关系
土壤-植被耦合模型 :
考虑土壤背景影响的冠层反射率模型,如:

其中k为消光系数。
5.2.3 机器学习与深度学习方法
传统机器学习:
-
随机森林回归:集成多个决策树,提供变量重要性评估
-
支持向量回归(SVR):通过核函数处理非线性关系
-
高斯过程回归(GPR):提供预测不确定性估计
-
极限学习机(ELM):单隐层神经网络,训练速度快
深度学习:
-
卷积神经网络(CNN):自动提取光谱的空间-光谱特征
-
1D-CNN:处理光谱序列
-
2D-CNN:处理空间-光谱数据(如高光谱图像块)
-
3D-CNN:同时处理空间和光谱维度
-
-
循环神经网络(RNN):处理时序数据,如LSTM(长短期记忆网络):

-
注意力机制:聚焦养分敏感的光谱区域,提高模型可解释性
-
自编码器:用于光谱特征提取和降维
-
图神经网络(GNN):处理像元间的空间关系
迁移学习 :
解决训练数据不足问题:
-
预训练:在大规模数据集上训练基础模型
-
微调:在小规模养分数据集上调整模型参数
-
领域自适应:减少源域和目标域之间的分布差异
5.3 多时相监测与动态分析
养分状况随作物生长和田间管理动态变化,多时相监测能够捕捉这种动态并提供更可靠的诊断。
5.3.1 生长季内养分动态监测
关键物候期观测:
-
播种期:基础土壤养分状况
-
苗期:早期养分吸收
-
快速生长期:最大养分需求
-
开花期:生殖生长养分分配
-
灌浆期:产量形成期养分状况
时间序列分析方法:
-
植被指数时间序列:分析NDVI、EVI等指数的季节轨迹
-
特征提取:提取峰值、积分、增长率等时间特征
-
变化检测:识别养分状况的突然变化(如施肥响应)
Sentinel-2时间序列应用 :
利用5天重访周期,构建高时间分辨率养分监测:
-
云掩蔽和大气校正
-
时间序列滤波(如Savitzky-Golay滤波)
-
物候参数提取(如生长季开始、结束、峰值时间)
-
养分状况评估
5.3.2 与作物模型耦合的数据同化
作物生长模型:
-
DSSAT(决策支持系统农业技术转移)
-
WOFOST(世界粮食研究)
-
APSIM(农业生产系统模拟器)
-
STICS(土壤-作物综合模拟)
模型模拟作物生长、养分吸收和产量形成,需要输入气象、土壤、管理数据。
数据同化框架:
-
状态变量同化:将遥感反演的LAI、叶绿素等同化到模型中

其中x为状态变量,y为观测,H为观测算子,K为卡尔曼增益,P为误差协方差,R为观测误差。
-
参数估计:优化模型参数(如最大氮素吸收速率、利用效率)
-
模型预测更新:基于同化结果更新产量和养分需求预测
养分亏缺诊断:
-
基于临界值:比较实测养分含量与临界浓度

其中D为亏缺程度,负值表示亏缺。
-
基于模型模拟:比较实际生长与潜在生长的差异
-
基于遥感指数:建立养分指数与亏缺程度的关系
变量施肥决策支持:
-
生成养分空间变异图
-
划分管理分区
-
计算各分区施肥量
-
生成变量施肥处方图
六、技术挑战、发展趋势与未来展望
经过数十年的发展,土壤参数遥感反演技术已取得显著进展,但仍面临诸多挑战。同时,新技术、新方法的涌现为未来发展提供了新的机遇。
6.1 当前面临的主要技术挑战
6.1.1 地表异质性影响
植被覆盖干扰:
-
植被完全覆盖时,土壤信号被屏蔽
-
植被部分覆盖时,土壤-植被混合像元问题
-
不同作物类型、生长阶段的植被影响差异
土壤背景变异:
-
土壤类型、质地的空间异质性
-
地表粗糙度、残茬覆盖的变化
-
有机质含量、铁氧化物等的影响
地形效应:
-
坡度、坡向影响太阳辐射接收和土壤水分分布
-
地形阴影影响遥感信号接收
6.1.2 模型与算法局限
经验模型区域依赖性强:
-
基于特定区域数据建立的模型,在其他区域适用性差
-
需要大量地面数据支持模型率定和验证
物理模型参数获取困难:
-
许多物理参数难以直接测量或估计
-
模型简化可能忽略重要过程
-
多参数反演存在解的不确定性
机器学习模型泛化能力不足:
-
对训练数据质量和代表性依赖强
-
容易过拟合,特别是数据量有限时
-
黑箱特性降低模型的可解释性和可信度
6.1.3 数据与处理限制
时空分辨率矛盾:
-
高空间分辨率数据(如10米)重访周期长(如16天)
-
高时间分辨率数据(如1天)空间分辨率低(如1千米)
-
难以同时满足精细尺度动态监测需求
数据可用性与连续性:
-
多云多雨地区光学数据获取困难
-
微波数据受地形、植被影响大
-
不同传感器间数据一致性需要保证
处理复杂度与计算成本:
-
高光谱、SAR数据处理复杂
-
时间序列分析计算量大
-
大区域、长时间分析需要高性能计算支持
地面验证数据不足:
-
同步地面观测成本高
-
点状观测与面状遥感数据的尺度匹配问题
-
长期连续观测站点稀少
6.2 技术发展趋势与创新方向
6.2.1 多源数据深度融合
光学-微波-热红外协同:
-
发挥各自优势,提供互补信息
-
提高反演精度和可靠性
-
增强不同天气条件下的观测能力
星-机-地一体化观测:
-
卫星提供大范围覆盖
-
无人机提供精细尺度信息
-
地面传感器提供连续验证数据
-
多层次数据融合与尺度转换
多时相数据融合:
-
利用时间序列信息约束单时相反演
-
捕捉参数动态变化规律
-
提高反演稳定性和一致性
新兴数据源利用:
-
GNSS反射测量:利用导航卫星信号反演土壤水分
-
宇宙射线中子法:提供数百米尺度土壤水分
-
近地遥感:田间传感器网络提供高频观测
6.2.2 物理机制与数据驱动深度融合
物理约束的机器学习:
-
将物理关系作为神经网络的正则化约束
-
发展物理引导的神经网络架构
-
结合物理模型模拟数据增强训练集
可解释人工智能(XAI):
-
提供模型决策的物理解释
-
识别关键光谱特征和物理过程
-
增强模型的透明度和可信度
-
方法包括:SHAP值、LIME、注意力可视化等
迁移学习与领域自适应:
-
解决不同区域、不同作物间的模型迁移问题
-
减少对大量标注数据的依赖
-
提高模型的普适性和实用性
不确定性量化:
-
提供反演结果的不确定性估计
-
区分不同来源的不确定性(观测、模型、参数)
-
支持基于不确定性的决策
6.2.3 时序动态分析与预测能力提升
时间序列深度学习:
-
利用LSTM、Transformer等模型处理时序数据
-
捕捉长期依赖和周期模式
-
预测未来变化趋势
数据同化系统集成:
-
发展高效的同化算法
-
集成多源观测数据
-
实现监测-模拟-预测一体化
-
支持实时决策和早期预警
过程模型与机器学习融合:
-
作物模型提供生理过程约束
-
机器学习提供高效参数化方案
-
结合优势,提高模拟和预测能力
6.2.4 新型传感器与观测平台发展
高光谱卫星星座:
-
计划中的高光谱任务(如SBG、CHIME)
-
提高全球覆盖和时间分辨率
-
推动高光谱业务化应用
小型SAR卫星星座:
-
商业SAR星座(如Capella、ICEYE)
-
提供高时空分辨率SAR数据
-
降低数据成本,促进应用普及
新型传感器技术:
-
量子传感:提高探测灵敏度
-
光子计数激光雷达:精细三维观测
-
太赫兹遥感:填补红外与微波之间的光谱间隙
无人机技术发展:
-
长航时、高载荷无人机
-
多传感器协同观测
-
自主飞行与实时处理
-
无人机集群组网观测
6.2.5 标准化、业务化与产业化
反演算法标准化:
-
建立行业认可的标准流程
-
发展基准测试数据集
-
促进算法比较和改进
产品验证体系完善:
-
多尺度验证网络建设
-
标准化验证协议
-
不确定性评估框架
业务化运行系统:
-
自动化数据处理流程
-
实时/准实时产品生产
-
质量控制和产品分发
-
用户支持和服务
产业化应用拓展:
-
农业保险:基于遥感的灾害评估和定损
-
精准农业:变量施肥、灌溉决策支持
-
土地管理:盐渍化监测和治理评估
-
水资源管理:土壤水分监测和干旱预警
-
环境监测:养分流失风险评估
6.3 未来展望:迈向智能化、精准化、实时化
6.3.1 技术发展方向
多尺度无缝监测 :
从田块到区域再到全球的多尺度协同观测,实现无缝尺度转换和数据融合。
实时动态监测 :
基于高重访卫星、无人机和物联网,实现分钟到小时级的近实时监测。
预测预警能力 :
耦合遥感、模型和人工智能,发展土壤参数和农业气象的预测预警系统。
智能化决策支持 :
面向农业、水利、环保等应用需求,提供智能化决策支持和服务。
6.3.2 科学问题与前沿方向
土壤-植被-大气系统耦合 :
深入研究多界面能量、水分和物质交换过程,提高遥感反演的物理基础。
多参数协同反演 :
发展同时反演水分、盐分、养分等多参数的方法,考虑参数间的相互作用。
尺度效应与转换 :
理解不同尺度观测的差异,发展可靠的尺度转换方法。
极端条件监测 :
提高干旱、洪涝、盐碱等极端条件下土壤参数的反演能力。
6.3.3 应用前景与社会价值
粮食安全保障 :
通过精准监测和管理,提高资源利用效率,稳定和提升粮食产量。
水资源可持续利用 :
优化灌溉管理,提高水分利用效率,缓解水资源压力。
生态环境保护 :
监测和防治土地退化,减少农业面源污染,保护生态环境。
气候变化应对 :
监测碳、水循环,评估气候变化影响,支持适应和减缓措施。
数字农业发展 :
作为数字农业的重要技术支撑,推动农业现代化和智能化。
6.3.4 发展建议与路径
加强基础研究 :
支持遥感机理、模型算法、验证方法等基础研究。
促进数据共享 :
推动遥感数据、地面观测数据和验证数据的开放共享。
发展标准体系 :
制定数据、算法、产品、验证等方面的标准规范。
建设验证网络 :
建立覆盖不同生态区、土壤类型和作物的长期验证网络。
推动产学研用结合 :
加强科研机构、高校、企业和用户的合作,促进技术转化和应用。
培养跨学科人才 :
培养既懂遥感技术又懂农业、土壤、生态等专业知识的复合型人才。
加强国际合作 :
参与国际计划和项目,共享数据和方法,共同应对全球挑战。
七、结论
土壤水分、盐分和养分遥感反演技术经过数十年的发展,已形成了较为完整的技术体系,从早期的经验统计方法发展到如今的物理机制与人工智能深度融合。光学、热红外、微波和高光谱遥感各具特色和优势,多源数据融合成为提高反演精度和可靠性的必然选择。
在土壤水分反演方面,微波遥感提供了最直接的敏感手段,而光学和热红外方法则通过间接关系提供补充信息。热惯量法和温度-植被指数空间法在适宜条件下能够提供可靠的土壤水分估计。多源数据融合和数据同化技术进一步提高了土壤水分监测的时空连续性和精度。
在土壤盐分反演方面,高光谱遥感的精细光谱信息为盐类识别和定量反演提供了可能,而多光谱遥感则通过光谱指数和统计方法实现大范围监测。机器学习方法在处理高维数据和复杂关系方面展现出强大能力。
在土壤养分反演方面,面对多数养分元素缺乏直接光谱特征的挑战,研究者发展了一系列间接反演方法。通过植被指数、红边参数等与养分状况的关系,结合物理模型和机器学习,实现了对氮素等关键养分的监测。多时相遥感与作物模型耦合为养分动态监测和精准管理提供了新途径。
当前,土壤参数遥感反演仍面临地表异质性、模型泛化能力、数据限制等挑战。未来发展趋势将集中在多源数据深度融合、物理机制与数据驱动结合、时序动态分析与预测能力提升等方面。随着新一代遥感卫星的发射、人工智能技术的发展和应用需求的推动,土壤参数遥感反演将朝着更高精度、更强实时性、更广适用性的方向发展。
土壤参数遥感反演技术的进步不仅有助于深化对陆地表层过程的理解,也为精准农业、水资源管理、土地保护等提供了强有力的技术支撑。通过持续的技术创新和应用推广,遥感技术必将在保障粮食安全、促进可持续发展和应对全球变化中发挥越来越重要的作用。
展望未来,随着观测技术的进步、计算能力的提升和人工智能的发展,土壤参数遥感反演将实现从监测到预测、从静态到动态、从单一到综合的跨越,为人类更好地认识和管理地球表层系统提供前所未有的能力。这需要遥感、土壤、农业、生态、计算机等多学科的交叉融合,也需要政府、科研机构、企业和用户的协同努力。只有通过持续创新和广泛合作,才能充分发挥遥感技术的潜力,为构建可持续的未来做出贡献。
参考文献
经典与基础文献
-
Schmugge, T. J., et al. (1980). Remote sensing of soil moisture with microwave radiometers. Journal of Geophysical Research, 85(C2), 1167-1172.
-
Jackson, T. J., et al. (1995). Large area mapping of soil moisture using the ESTAR passive microwave radiometer in Washita'92. Remote Sensing of Environment, 53(1), 27-37.
-
Moran, M. S., et al. (1994). Estimating crop water deficit using the relation between surface-air temperature and spectral vegetation index. Remote Sensing of Environment, 49(3), 246-263.
-
Verhoef, W. (1984). Light scattering by leaf layers with application to canopy reflectance modeling: The SAIL model. Remote Sensing of Environment, 16(2), 125-141.
-
Jacquemoud, S., & Baret, F. (1990). PROSPECT: A model of leaf optical properties spectra. Remote Sensing of Environment, 34(2), 75-91.
微波遥感进展
-
Ulaby, F. T., et al. (2014). Microwave radar and radiometric remote sensing. University of Michigan Press.
-
Dubois, P. C., et al. (1995). Measuring soil moisture with imaging radars. IEEE Transactions on Geoscience and Remote Sensing, 33(4), 915-926.
-
Kerr, Y. H., et al. (2010). The SMOS mission: New tool for monitoring key elements ofthe global water cycle. Proceedings of the IEEE, 98(5), 666-687.
-
Entekhabi, D., et al. (2010). The Soil Moisture Active Passive (SMAP) mission. Proceedings of the IEEE, 98(5), 704-716.
-
Wagner, W., et al. (2007). Operational readiness of microwave remote sensing of soil moisture for hydrologic applications. Nordic Hydrology, 38(1), 1-20.
光学与热红外方法
-
Carlson, T. N., & Ripley, D. A. (1997). On the relation between NDVI, fractional vegetation cover, and leaf area index. Remote Sensing of Environment, 62(3), 241-252.
-
Sandholt, I., et al. (2002). A simple interpretation of the surface temperature/vegetation index space for assessment of surface moisture status. Remote Sensing of Environment, 79(2-3), 213-224.
-
Price, J. C. (1985). On the analysis of thermal infrared imagery: The limited utility of apparent thermal inertia. Remote Sensing of Environment, 18(1), 59-73.
-
Kustas, W. P., & Norman, J. M. (1996). Use of remote sensing for evapotranspiration monitoring over land surfaces. Hydrological Sciences Journal, 41(4), 495-516.
盐分遥感
-
Metternicht, G. I., & Zinck, J. A. (2003). Remote sensing of soil salinity: Potentials and constraints. Remote Sensing of Environment, 85(1), 1-20.
-
Farifteh, J., et al. (2007). Assessing salt-affected soils using remote sensing, solute modelling, and geophysics. Geoderma, 130(3-4), 191-206.
-
Allbed, A., & Kumar, L. (2013). Soil salinity mapping and monitoring in arid and semi-arid regions using remote sensing technology: A review. Advances in Remote Sensing, 2(4), 373-385.
-
Weng, Y., et al. (2020). Machine learning in soil salinity assessment: A review. Remote Sensing, 12(24), 4065.
养分遥感
-
Haboudane, D., et al. (2002). Integrated narrow-band vegetation indices for prediction of crop chlorophyll content for application to precision agriculture. Remote Sensing of Environment, 81(2-3), 416-426.
-
Clevers, J. G., & Gitelson, A. A. (2013). Remote estimation of crop and grass chlorophyll and nitrogen content using red-edge bands on Sentinel-2 and -3. International Journal of Applied Earth Observation and Geoinformation, 23, 344-351.
-
Li, F., et al. (2014). A review of remote sensing for monitoring nutrients and contaminants in agricultural ecosystems. Science of the Total Environment, 493, 291-301.
-
Berger, K., et al. (2020). Crop nitrogen monitoring: Recent progress and principal developments in the context of imaging spectroscopy missions. Remote Sensing of Environment, 242, 111758.
机器学习与深度学习
-
Lary, D. J., et al. (2016). Machine learning in geosciences and remote sensing. Geoscience Frontiers, 7(1), 3-10.
-
Reichstein, M., et al. (2019). Deep learning and process understanding for data-driven Earth system science. Nature, 566(7743), 195-204.
-
Zhu, X. X., et al. (2017). Deep learning in remote sensing: A comprehensive review and list of resources. IEEE Geoscience and Remote Sensing Magazine, 5(4), 8-36.
-
Ma, L., et al. (2019). Deep learning in remote sensing applications: A meta-analysis and review. ISPRS Journal of Photogrammetry and Remote Sensing, 152, 166-177.
数据同化与集成
-
McLaughlin, D. (2002). An integrated approach to hydrologic data assimilation: interpolation, smoothing, and filtering. Advances in Water Resources, 25(8-12), 1275-1286.
-
Li, X., et al. (2020). A review of remote sensing data assimilation for hydrological modeling. Journal of Hydrology, 591, 125292.
-
Dorigo, W., et al. (2017). ESA CCI Soil Moisture for improved Earth system understanding: State-of-the art and future directions. Remote Sensing of Environment, 203, 185-215.
中国相关研究
-
李新,等. (2021). 中国土壤水分遥感反演研究进展. 遥感学报, 25(1), 1-18.
-
张兵,等. (2019). 中国高光谱遥感进展与展望. 遥感学报, 23(5), 851-867.
-
吴骅,等. (2020). 中国陆表土壤水分遥感反演研究进展. 地球科学进展, 35(6), 559-572.
-
覃文汉,等. (2018). 中国农业遥感研究进展与展望. 农业工程学报, 34(10), 1-11.
综合评述
-
Babaeian, E., et al. (2019). Ground, proximal, and satellite remote sensing of soil moisture. Reviews of Geophysics, 57(2), 530-616.
-
Verstraeten, W. W., et al. (2006). Soil moisture retrieval using thermal inertia, determined with visible and thermal spaceborne data, validated for European forests. Remote Sensing of Environment, 101(3), 299-314.
-
Seneviratne, S. I., et al. (2010). Investigating soil moisture-climate interactions in a changing climate: A review. Earth-Science Reviews, 99(3-4), 125-161.
-
Petropoulos, G. P., et al. (2015). Remote sensing of land surface fluxes and soil moisture content: State of the art and future directions. Surveys in Geophysics, 36(3), 461-489.
附录:常用工具与资源
数据处理软件
-
ENVI:完整的遥感图像处理平台
-
SNAP:欧空局免费遥感处理软件,支持Sentinel系列
-
QGIS:开源地理信息系统,插件丰富
-
Google Earth Engine:云端遥感大数据处理平台
-
Python遥感库:rasterio, gdal, scikit-learn, tensorflow等
模型与算法库
-
RTTOV:辐射传输模型,用于卫星数据模拟
-
CMEM:社区微波发射模型
-
PROSAIL:植被辐射传输模型
-
SMART:土壤-植被-大气辐射传输模型
-
Py6S:Python版6S大气校正
数据产品
-
ESA CCI Soil Moisture:全球土壤水分数据集(1978-今)
-
SMAP/SMOS Soil Moisture:L波段土壤水分产品
-
MODIS Land Products:植被指数、地表温度等
-
Sentinel系列产品:多光谱、SAR等
-
中国高分系列产品:GF-1, GF-2, GF-6等
验证数据集
-
ISMN:国际土壤水分网络
-
USCRN:美国气候参考网络
-
FLUXNET:全球通量观测网络
-
中国生态网络:CERN等台站数据
-
田间试验数据:各地农业试验站数据