线性回归
回归问题:目标是预测连续数值(体重),而不是分类标签
术语:
- 自变量(特征)
- 因变量(目标)
比如,已知身高,求体重,这里,体重是因变量 ,身高是自变量。
- K:斜率(weight 权重)
- X:自变量
- b:截距(bias 偏置)
公式是: <math xmlns="http://www.w3.org/1998/Math/MathML"> Y = k X + b Y = kX + b </math>Y=kX+b,这只是一元线程回归
我们需要算出来,斜率是多少,截距是多少
回归方程函数
为什么还有这个公式呢,因为正常情况下不可能只有一个特征。
这 T 表示 k 的转置(把列向量变成行向量,用于点积)
公式: <math xmlns="http://www.w3.org/1998/Math/MathML"> y = k x + b y = k^x + b </math>y=kx+b
公式的由来
假设已知有多个特征,如下,所以一元线程回归

所以变成了如下:
<math xmlns="http://www.w3.org/1998/Math/MathML"> y = k 1 x 1 + k 2 x 2 + ⋅ ⋅ ⋅ + k n x n + b y = k_{1}x_{1} + k_{2}x_{2} + ··· + k_{n}x_{n} + b </math>y=k1x1+k2x2+⋅⋅⋅+knxn+b
如何把 b 截距引进来的,所以要在最开始加一个 w0,表示 截距b,x0 用 1 表示。这样再实现矩阵相乘就可以了。
<math xmlns="http://www.w3.org/1998/Math/MathML" display="block"> k = [ k 0 k 1 k 2 ⋮ k n ] , x = [ x 0 x 1 x 2 ⋮ x n ] \boldsymbol{k} = \begin{bmatrix} k_0 \\ k_1 \\ k_2 \\ \vdots \\ k_n \end{bmatrix}, \quad \boldsymbol{x} = \begin{bmatrix} x_0 \\ x_1 \\ x_2 \\ \vdots \\ x_n \end{bmatrix} </math>k= k0k1k2⋮kn ,x= x0x1x2⋮xn
线性回归案例:
- 钢轨伸缩长度与温度
- 昆虫鸣叫次数与天气
- 国内GDP与双十一销售额
线性回归API
py
from sklearn.linear_model import LinearRegression
# 案例基于身高,预测体重
# 1. 获取数据
x_train = [[160], [166], [172], [174], [180]]
y_train = [56.3, 60.6, 65.1, 68.5, 75]
x_test = [[176]]
# 2. 数据预处理
# 3. 特征工程
# 4. 模型训练
# 创建回归模型
estimator = LinearRegression()
estimator.fit(x_train, y_train)
# 5. 模型预测
y_predict = estimator.predict(x_test)
print(y_predict) # 70.3047619
# 6. 模型评估
# 斜率
print(estimator.coef_) # 0.92942177
# 截距
print(estimator.intercept_) # -93.27346938775517
这里不画拟合回归线。
损失函数
上面我们能得知,用API生成一条拟合回归线。
我们一眼能看出红色的直线。但是这个线是怎么求出来的呢?
是通过:误差 = 预测值 - 真实值,越小越好
所以需要损失函数,衡量每个样本的预测值与真实值效果的函数,也叫代价函数、成本函数、目标函数
更好的拟合所有的点,也就是误差最小,误差和最小
损失函数计算方式
我们来计算出来,斜率(权重)和截距(偏置)
- 损失函数:用来描述每个样本值 和 预测值之间的关系的
- 误差 = 预测值 - 真实值
已知:

拿 点5 举例子
- kx + b
- 代入 = 180k + b
- 再减去真实值 = 180k + b - 75
得出公式是: <math xmlns="http://www.w3.org/1998/Math/MathML"> k x + b − y kx + b - y </math>kx+b−y,其中 y 是真实值。
注意下图:w 其实是 k,这里写错了

这样计算之后,可能有的结果是正的,有的结果是负的。
所以又分为三种计算方式
- 最小二乘:每个样本的误差值的平方和
- 均方误差:最小二乘 / 样本数
- 平均绝对值误差:每个样本的误差的绝对值的平均值
最小二乘解法如下
根据上面的例子
<math xmlns="http://www.w3.org/1998/Math/MathML"> 损失函数 L ( k , b ) = ( 160 k + b − 56.3 ) 2 + ( 166 k + b − 60.6 ) 2 + ( 172 k + b − 65.1 ) 2 + ( 174 k + b − 68.5 ) 2 + ( 180 k + b − 75 ) 2 损失函数L(k,b) = (160k + b - 56.3)^2 + (166k + b - 60.6)^2 + (172k + b - 65.1)^2 + (174k + b - 68.5)^2 + (180k + b - 75)^2 </math>损失函数L(k,b)=(160k+b−56.3)2+(166k+b−60.6)2+(172k+b−65.1)2+(174k+b−68.5)2+(180k+b−75)2
为了简便运算,这里先固定 b = -100
于是公式变成了如下:
<math xmlns="http://www.w3.org/1998/Math/MathML"> 损失函数 L ( k , b = − 100 ) = ( 160 k + ( − 100 ) − 56.3 ) 2 + ( 166 k + ( − 100 ) − 60.6 ) 2 + ( 172 k + ( − 100 ) − 65.1 ) 2 + ( 174 k + ( − 100 ) − 68.5 ) 2 + ( 180 k + ( − 100 ) − 75 ) 2 损失函数L(k,b = -100) = (160k + (-100) - 56.3)^2 + (166k + (-100) - 60.6)^2 + (172k + (-100) - 65.1)^2 + (174k + (-100) - 68.5)^2 + (180k + (-100) - 75)^2 </math>损失函数L(k,b=−100)=(160k+(−100)−56.3)2+(166k+(−100)−60.6)2+(172k+(−100)−65.1)2+(174k+(−100)−68.5)2+(180k+(−100)−75)2
我们先计算这一小块
已知: <math xmlns="http://www.w3.org/1998/Math/MathML"> ( 160 k + ( − 100 ) − 56.3 ) 2 (160k + (-100) - 56.3)^2 </math>(160k+(−100)−56.3)2
合并常数项 = <math xmlns="http://www.w3.org/1998/Math/MathML"> ( 160 k − 156.3 ) 2 (160k - 156.3)^2 </math>(160k−156.3)2
此时我们发现 这就是 <math xmlns="http://www.w3.org/1998/Math/MathML"> ( a − b 2 ) (a - b^2) </math>(a−b2) = <math xmlns="http://www.w3.org/1998/Math/MathML"> a 2 − 2 a b + b 2 a^2 - 2ab + b^2 </math>a2−2ab+b2
这是完全平方公式哈。
继续计算
<math xmlns="http://www.w3.org/1998/Math/MathML"> = ( 160 k − 156.3 ) 2 + ( 166 k − 160.6 ) 2 + ( 172 k − 165.1 ) 2 + ( 174 k − 168.5 ) 2 + ( 180 k − 175 ) 2 = (160k - 156.3)^2 + (166k -160.6)^2 + (172k -165.1)^2 + (174k -168.5)^2 + (180k -175)^2 </math>=(160k−156.3)2+(166k−160.6)2+(172k−165.1)2+(174k−168.5)2+(180k−175)2
<math xmlns="http://www.w3.org/1998/Math/MathML"> = ( ( 160 k ) 2 − 2 ∗ 160 k ∗ 156.3 + 156. 3 2 ) + ( ( 166 k ) 2 − 2 ∗ 166 k ∗ 160.6 + 160. 6 2 ) + ( ( 172 k ) 2 − 2 ∗ 172 k ∗ 165.1 + 165. 1 2 ) + ( ( 174 k ) 2 − 2 ∗ 174 k ∗ 168.5 + 168. 5 2 ) + ( ( 180 k ) 2 − 2 ∗ 180 k ∗ 175 + 17 5 2 ) = ((160k)^2 - 2 * 160k * 156.3 + 156.3^2) + ((166k)^2 - 2 * 166k * 160.6 + 160.6^2) + ((172k)^2 - 2 * 172k * 165.1 + 165.1^2) + ((174k)^2 - 2 * 174k * 168.5 + 168.5^2) + ((180k)^2 - 2 * 180k * 175 + 175^2) </math>=((160k)2−2∗160k∗156.3+156.32)+((166k)2−2∗166k∗160.6+160.62)+((172k)2−2∗172k∗165.1+165.12)+((174k)2−2∗174k∗168.5+168.52)+((180k)2−2∗180k∗175+1752)
下面我用第一个演示一下,每一个都要计算,有点多
分别计算 <math xmlns="http://www.w3.org/1998/Math/MathML"> ( ( 160 k ) 2 − 2 ∗ 160 k ∗ 156.3 + 156. 3 2 ) ((160k)^2 - 2 * 160k * 156.3 + 156.3^2) </math>((160k)2−2∗160k∗156.3+156.32) 的平方项、一次项、常数项
- 平方项 = <math xmlns="http://www.w3.org/1998/Math/MathML"> 160 ∗ 160 ∗ k 2 = 25600 k 2 160 * 160 * k^2 = 25600k^2 </math>160∗160∗k2=25600k2
- 一次项 = <math xmlns="http://www.w3.org/1998/Math/MathML"> − 2 ∗ 160 ∗ 156.3 ∗ k = − 50016 k -2 * 160 * 156.3 * k = -50016k </math>−2∗160∗156.3∗k=−50016k
- 常数项 = <math xmlns="http://www.w3.org/1998/Math/MathML"> 156.3 ∗ 156.3 = 24 , 429.69 156.3 * 156.3 = 24,429.69 </math>156.3∗156.3=24,429.69
所以等于 <math xmlns="http://www.w3.org/1998/Math/MathML"> = 25600 k − 50016 k + 24429.69 = 25600k - 50016k + 24429.69 </math>=25600k−50016k+24429.69
但是这里是不能直接这样的,要把所有的项目合起来,平方项、一次项、常数项相加,最后计算。
一共五个数据点计算后
<math xmlns="http://www.w3.org/1998/Math/MathML" display="block"> = 25600 k 2 − 50016 k + 24429.69 = 27556 k 2 − 53319.2 k + 25792.36 = 29584 k 2 − 56794.4 k + 27258.01 = 30276 k 2 − 58638 k + 28392.25 = 32400 k 2 − 63000 k + 302625 \begin{align*} &= 25600k^2 - 50016k + 24429.69 \\ &= 27556k^2 - 53319.2k + 25792.36 \\ &= 29584k^2 - 56794.4k + 27258.01 \\ &= 30276k^2 - 58638k + 28392.25 \\ &= 32400k^2 - 63000k + 302625 \\ \end{align*} </math>=25600k2−50016k+24429.69=27556k2−53319.2k+25792.36=29584k2−56794.4k+27258.01=30276k2−58638k+28392.25=32400k2−63000k+302625
平方项、一次项、常数项的总结果 = <math xmlns="http://www.w3.org/1998/Math/MathML"> 145 , 416 k 2 − 281 , 767.6 k + 408 , 497.31 145,416k^2 - 281,767.6k + 408,497.31 </math>145,416k2−281,767.6k+408,497.31
计算 K 值
<math xmlns="http://www.w3.org/1998/Math/MathML"> k = − ( − 281 , 767.6 ) / ( 2 ∗ 145 , 416 ) = 0.968832865709413 k = -(-281,767.6) / (2*145,416) = 0.968832865709413 </math>k=−(−281,767.6)/(2∗145,416)=0.968832865709413
<math xmlns="http://www.w3.org/1998/Math/MathML"> 或者直接: 281767.6 / 2 / 145416 或者直接:281767.6 / 2 / 145416 </math>或者直接:281767.6/2/145416
总结
缺点:当样本点比较多的时候,值会非常大。
总结
最小二乘
每个样本的误差值的平方和
<math xmlns="http://www.w3.org/1998/Math/MathML"> 损失函数 J ( w , b ) = ∑ i = 0 m ( h ( x ( i ) ) − y ( i ) ) 2 损失函数J(w,b) = \sum_{i=0}^m(h(x^{(i)}) - y^{(i)})^2 </math>损失函数J(w,b)=∑i=0m(h(x(i))−y(i))2
均方误差 (Mean-Square Error, MSE)
每个样本的误差值的平方和的平均值
方块圈住的就是最小二乘

i 表示具体的第几个样本
<math xmlns="http://www.w3.org/1998/Math/MathML"> 损失函数 J ( w , b ) = 1 m ∑ i = 0 m ( h ( x ( i ) ) − y ( i ) ) 2 损失函数J(w,b) = \frac{1}{m}\sum_{i=0}^m(h(x^{(i)}) - y^{(i)})^2 </math>损失函数J(w,b)=m1∑i=0m(h(x(i))−y(i))2
平均绝对值误差 (Mean Absolute Error , MAE)
每个样本的误差值的绝对值的和的平均值
<math xmlns="http://www.w3.org/1998/Math/MathML"> 损失函数 J ( w , b ) = 1 m ∑ 0 m ∣ h ( x ( i ) ) − y ( i ) ∣ 损失函数J(w,b) = \frac{1}{m}\sum_{0}^m \left| h(x^{(i)}) - y^{(i)} \right| </math>损失函数J(w,b)=m1∑0m h(x(i))−y(i)
线性回归问题求解需要什么?
损失函数越小,越好

- 损失函数可用来描述输出(预测值)和观测结果(真实值)效果,可衡量模型效果好坏
- 不同的任务比如分类、回归、聚类问题,一般会采用各自的损失函数
- 线性回归求解一般需要数据、假设函数、损失函数、损失函数优化方法等部分,相互配合共同完成
复习
复习导数
当函数 𝑦=𝑓(𝑥) 的自变量 𝑥 在一点 <math xmlns="http://www.w3.org/1998/Math/MathML"> 𝑥 0 𝑥_0 </math>x0 上产生一个增量 Δ𝑥 时,函数输出值的增量 Δ𝑦 与自变量增量 Δ𝑥 的比值在 Δ𝑥 趋于0 时的极限 𝐴 如果存在,𝐴 即为在 𝑥 处的导数,记作 <math xmlns="http://www.w3.org/1998/Math/MathML"> f ′ ( x o ) f'(x_o) </math>f′(xo)

导数的几何意义
函数 y=f(x) 在点 <math xmlns="http://www.w3.org/1998/Math/MathML"> x 0 x_0 </math>x0 处的导数的几何意义,就是曲线 y=f(x) 在点 <math xmlns="http://www.w3.org/1998/Math/MathML"> P ( x 0 , f ( x 0 ) ) P(x_0,f(x_0)) </math>P(x0,f(x0)) 处的切线的斜率,即曲线 y=f(x) 在 <math xmlns="http://www.w3.org/1998/Math/MathML"> P ( x 0 , f ( x 0 ) ) P(x_0, f(x_0)) </math>P(x0,f(x0))处的切线的斜率是f'(x_0)。
常见函数的导数

导数的四则运算

直接套公式
第二个我说一下,公式是, (a * b)' = a' * b + a * b'
第四个 <math xmlns="http://www.w3.org/1998/Math/MathML"> ( e 2 x ) ′ (e^{2x})' </math>(e2x)′
- = 带入公式, <math xmlns="http://www.w3.org/1998/Math/MathML"> e x e^x </math>ex 的导还是 <math xmlns="http://www.w3.org/1998/Math/MathML"> e x e^x </math>ex,所以 <math xmlns="http://www.w3.org/1998/Math/MathML"> e 2 x e^{2x} </math>e2x = <math xmlns="http://www.w3.org/1998/Math/MathML"> e 2 x e^{2x} </math>e2x
- = 求2x的导,还是 2 = <math xmlns="http://www.w3.org/1998/Math/MathML"> 2 e 2 x 2e^{2x} </math>2e2x
题
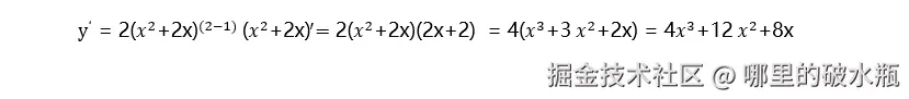
举个例子:计算该函数y = 〖"(" 𝑥^2 "+2x)" 〗^2 的导函数



偏导
导数求极值
导数为0的位置是函数的极值点
- 求函数 <math xmlns="http://www.w3.org/1998/Math/MathML"> y = 𝑥 2 − 4 x + 5 y = 𝑥^2 - 4x + 5 </math>y=x2−4x+5 的极小值
求导法:对x求导,令导数
- = <math xmlns="http://www.w3.org/1998/Math/MathML"> 0 : y ′ = 2 x − 4 = 0 0:y' = 2x - 4 = 0 </math>0:y′=2x−4=0
- x = 2
- 将 x = 2 带入,4 - 8 + 5 = 1
- 所以y极小值 = 1
多变量导数求解
Z是关于 x 和 y 的函数记成 <math xmlns="http://www.w3.org/1998/Math/MathML"> z ( x , y ) z(x,y) </math>z(x,y),求解 <math xmlns="http://www.w3.org/1998/Math/MathML"> z = ( 𝑥 − 2 ) 2 + ( 𝑦 − 3 ) 2 z = (𝑥−2)^2 + (𝑦−3)^2 </math>z=(x−2)2+(y−3)2 的极小值
这题要同时求 x 和 y 的两个未知数,所以思路是,先把 x 和 y 同时解出来,方式就是 乘法法则
首先先计算x,此时 y - 3² = 0
- (x - 2)²
- (x - 2)' * (x - 2)'
- (x - 2)' * (x - 2) + (x - 2) * (x - 2)'
- 1 * (x - 2) + (x - 2) * 1
- (x - 2) + (x - 2)
- x - x = 2x,-2-2 = -4
- 2x - 4
- 2(x - 2) = 0
- 两边除以 2 = x - 2 = 0
- x = 2
计算 y,此时 x - 2² = 0
- (y - 3)²
- (y - 3)'(y - 3) + (y - 3)(y - 3)'
- (y - 3) + (y - 3)
- 2y - 6
- 2(y - 3)
- y - 3 = 0
- y = 3
上面的有些复杂
例子: <math xmlns="http://www.w3.org/1998/Math/MathML"> Z = x 2 + 2 x y − 3 y 2 Z = x^2 + 2xy - 3y^2 </math>Z=x2+2xy−3y2
- x = 2x + 2y(3y²是常数)
- y = 2x - 6y(x2是常数)


向量和矩阵
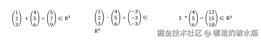
向量运算
向量是有大小和方向
几何意义上表示:向量(1,1), 向量(1,2)

向量基运算

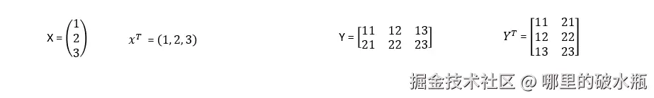
向量矩阵转置 Transpose

范数Norm
范数(norm)是数学中的一种基本概念,具有长度的意义
- 1范数(L1范数)-向量中各个元素绝对值之和
- 2范数(L2范数)-向量的模长,每个元素平方求和,再开平方根
- p-范数:向量中每一个元素p幂求和,在开p次根
L1范数
<math xmlns="http://www.w3.org/1998/Math/MathML"> 𝑥 𝑇 = ( 1 , 2 , − 3 ) ‖ x ‖ 1 = ∣ 1 ∣ + ∣ 2 ∣ + ∣ − 3 ∣ = 6 𝑥^𝑇 = (1, 2, −3) ‖x‖_1 = |1| + |2| + |−3| = 6 </math>xT=(1,2,−3)‖x‖1=∣1∣+∣2∣+∣−3∣=6
L2范数
<math xmlns="http://www.w3.org/1998/Math/MathML"> 𝑥 𝑇 = ( 1 , 2 , − 3 ) ∣ ∣ x ∣ ∣ 2 = 2 1 12 + 2 2 + ( − 3 ) 2 = √ 14 𝑥^𝑇=(1, 2, −3) ||x||_2 = 2\sqrt{1^{12} + 2^2 + (-3)^2} = √14 </math>xT=(1,2,−3)∣∣x∣∣2=2112+22+(−3)2 =√14
<math xmlns="http://www.w3.org/1998/Math/MathML"> 𝑥 𝑇 = ( 1 , 2 , − 3 ) 𝑥^𝑇=(1,2,−3) </math>xT=(1,2,−3)
注意:向量的转置@向量
<math xmlns="http://www.w3.org/1998/Math/MathML"> 𝑥 𝑇 x = 1 2 + 2 2 + ( − 3 ) 2 = 14 𝑥^𝑇x=1^2+2^2+(−3)^2 = 14 </math>xTx=12+22+(−3)2=14
X为向量: <math xmlns="http://www.w3.org/1998/Math/MathML"> 𝑥 𝑇 x 与 ∣ ∣ x ∣ ∣ 2 2 𝑥^𝑇x 与||x||_2^2 </math>xTx与∣∣x∣∣22 是一样的
Lp范数:
<math xmlns="http://www.w3.org/1998/Math/MathML" display="block"> ∥ x ∥ p = ( ∣ x 1 ∣ p + ∣ x 2 ∣ p + ⋯ + ∣ x n ∣ p ) 1 p \|x\|_p = \left( |x_1|^p + |x_2|^p + \cdots + |x_n|^p \right)^{\frac{1}{p}} </math>∥x∥p=(∣x1∣p+∣x2∣p+⋯+∣xn∣p)p1
矩阵 Matrix 1
矩阵是数学中的一种基本概念,表达m行n列的数据等
矩阵在机器学习中的表达

矩阵加法

总结:用 A 的每一行,都要乘以 B 的每一列。
矩阵乘法 :对应行列元素相乘,然后再加和再一起


术语:
- 方阵:行列数一样
- 对称方阵:一种特殊的方阵,沿着主对角线,其元素对称 aij = aji
可以发现,1,2 的元素是2,2,1 的元素也是 2

- 单位阵:一种特殊的方阵,用符号E或者是I来表示
特点:对角线为 1 其他为 0

矩阵乘法的性质

矩阵的逆
例子:通过 A 和 I 求出 B


已知结果是

等价于如下图

此时我们可以求解出 ac,bd 等于多少。
求 C 结果如下:
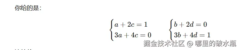
a + 2c = 1
3a + 4c = 0
首先根据 a + 2c = 1,可以改成 a = 1 - 2c
将a = 1 - 2c 代入 3a + 4c = 0
- = 3(1 - 2c) + 4c = 0
- = 3 - 6c + 4c = 0
- 合并同类项
- -6c + 4c = -2c
- 3 - 2c = 0
解C:
- 3 - 2c = 0
- 得知:3 - 2(3/2) = 0
- 3 - 3 = 0
- c = 1.5
求 a 结果如下
- a = 1 - 2c
- a = 1 - 2 * 1.5
- a = -2

总结
矩阵转置的性质

损失函数最小值求法
正规方程法
前面我们要知道,通过最小二乘,可以计算出如下

现在我们将来计算 B 的值
例子:
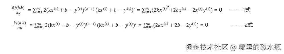
一元线性回归损失函数 <math xmlns="http://www.w3.org/1998/Math/MathML"> J ( k , b ) = ∑ i = 1 m ( h ( x ( i ) ) − y ( i ) ) 2 J(k,b) = \sum_{i=1}^{m}(h(x^{(i)}) - y^{(i)})^2 </math>J(k,b)=∑i=1m(h(x(i))−y(i))2
上面的式子还等于 = <math xmlns="http://www.w3.org/1998/Math/MathML"> ∑ i = 1 m ( k x ( i ) + b − y ( i ) ) 2 \sum_{i=1}^{m}(kx^{(i)} + b - y^{(i)})^2 </math>∑i=1m(kx(i)+b−y(i))2 的极小值
损失函数是关于k、b的函数,对k、b分别求导设置成 0,得到2个方程
这是一个复杂的公式,省略常数实数
对 k 求导
= <math xmlns="http://www.w3.org/1998/Math/MathML"> ( k x ( i ) + b − y ( i ) ) 2 (kx^{(i)} + b - y^{(i)})^2 </math>(kx(i)+b−y(i))2
= <math xmlns="http://www.w3.org/1998/Math/MathML"> 2 ( k x ( i ) + b − y ( i ) ) ( k x ( i ) + b − y ( i ) ) ′ 2(kx^{(i)} + b - y^{(i)})(kx^{(i)} + b - y^{(i)})' </math>2(kx(i)+b−y(i))(kx(i)+b−y(i))′
= <math xmlns="http://www.w3.org/1998/Math/MathML"> 2 ( k x ( i ) + b − y ( i ) ) x ( i ) 2(kx^{(i)} + b - y^{(i)})x^{(i)} </math>2(kx(i)+b−y(i))x(i)
= <math xmlns="http://www.w3.org/1998/Math/MathML"> 2 k x ( i ) 2 + 2 b x ( i ) − 2 x ( i ) y ( i ) = 0 2kx^{(i)^{2}} + 2bx^{(i)} - 2x^{(i)}y^{(i)} = 0 </math>2kx(i)2+2bx(i)−2x(i)y(i)=0
对 b 求导
= <math xmlns="http://www.w3.org/1998/Math/MathML"> ( k x ( i ) + b − y ( i ) ) 2 (kx^{(i)} + b - y^{(i)})^2 </math>(kx(i)+b−y(i))2
= <math xmlns="http://www.w3.org/1998/Math/MathML"> 2 ( k x ( i ) + b − y ( i ) ) ( k x ( i ) + b − y ( i ) ) ′ 2(kx^{(i)} + b - y^{(i)})(kx^{(i)} + b - y^{(i)})' </math>2(kx(i)+b−y(i))(kx(i)+b−y(i))′
= <math xmlns="http://www.w3.org/1998/Math/MathML"> 2 ( k x ( i ) + b − y ( i ) ) ⋅ 1 2(kx^{(i)} + b - y^{(i)}) · 1 </math>2(kx(i)+b−y(i))⋅1
= <math xmlns="http://www.w3.org/1998/Math/MathML"> 2 ( k x ( i ) + b − y ( i ) ) 2(kx^{(i)} + b - y^{(i)}) </math>2(kx(i)+b−y(i))
= <math xmlns="http://www.w3.org/1998/Math/MathML"> 2 k x ( i ) + 2 b − 2 y ( i ) = 0 2kx^{(i)} + 2b - 2y^{(i)} = 0 </math>2kx(i)+2b−2y(i)=0
完整答案

解析来继续变形,对上面的一式 和二式
上面的答案完整的都有一个求和,因为样本数量是多个。
K 的求导结果变形
= <math xmlns="http://www.w3.org/1998/Math/MathML"> ∑ i = 1 m 2 k x ( i ) 2 + ∑ i = 1 m 2 b x ( i ) − ∑ i = 1 m 2 x ( i ) y ( i ) = 0 \sum_{i=1}^{m}2kx^{(i)^2} + \sum_{i=1}^{m}2bx^{(i)} - \sum_{i=1}^{m}2x^{(i)}y^{(i)} = 0 </math>∑i=1m2kx(i)2+∑i=1m2bx(i)−∑i=1m2x(i)y(i)=0
= 同时除以2
= <math xmlns="http://www.w3.org/1998/Math/MathML"> k ∑ i = 1 m x ( i ) 2 + ∑ i = 1 m b x ( i ) − ∑ i = 1 m x ( i ) y ( i ) = 0 k\sum_{i=1}^{m}x^{(i)^2} + \sum_{i=1}^{m}bx^{(i)} - \sum_{i=1}^{m}x^{(i)}y^{(i)} = 0 </math>k∑i=1mx(i)2+∑i=1mbx(i)−∑i=1mx(i)y(i)=0
B 的求导结果变形
= <math xmlns="http://www.w3.org/1998/Math/MathML"> ∑ i = 1 m 2 ( k x ( i ) + 2 b − 2 y ( i ) ) = 0 \sum_{i = 1}^{m}2(kx^{(i)} + 2b - 2y^{(i)}) = 0 </math>∑i=1m2(kx(i)+2b−2y(i))=0
= <math xmlns="http://www.w3.org/1998/Math/MathML"> k ∑ i = 0 m x ( i ) + ∑ ( i = 0 ) m b − ∑ ( i = 0 ) m y ( i ) = 0 k\sum_{i = 0}^{m}x^{(i)} + \sum_{(i = 0)}^{m}b - \sum_{(i = 0)}^{m}y^{(i)} = 0 </math>k∑i=0mx(i)+∑(i=0)mb−∑(i=0)my(i)=0
= <math xmlns="http://www.w3.org/1998/Math/MathML"> k ∑ i = 0 m x ( i ) + b m − ∑ ( i = 0 ) m y ( i ) = 0 k\sum_{i = 0}^{m}x^{(i)} + bm - \sum_{(i = 0)}^{m}y^{(i)} = 0 </math>k∑i=0mx(i)+bm−∑(i=0)my(i)=0
数据带入
已知 x 是身高,y 是体重

对 K 求
= <math xmlns="http://www.w3.org/1998/Math/MathML"> k ∗ ( 16 0 2 + 16 6 2 + 17 2 2 + 17 4 2 + 18 0 2 ) + b ∗ ( 160 + 166 + 172 + 174 + 180 ) -- ( 160 ∗ 56.3 + 166 ∗ 60.6 + 172 ∗ 65.1 + 174 ∗ 68.5 + 180 ∗ 75 ) = 0 k*(160^2+166^2+172^2+174^2+180^2)+b*(160+166+172+174+180)--(160*56.3+166*60.6+172*65.1+174*68.5+180*75)=0 </math>k∗(1602+1662+1722+1742+1802)+b∗(160+166+172+174+180)--(160∗56.3+166∗60.6+172∗65.1+174∗68.5+180∗75)=0
= <math xmlns="http://www.w3.org/1998/Math/MathML"> 145416 ∗ k + 852 ∗ b − 55683.8 = 0 145416*k + 852*b - 55683.8 = 0 </math>145416∗k+852∗b−55683.8=0
对 b 求
= <math xmlns="http://www.w3.org/1998/Math/MathML"> k ∗ ( 160 + 166 + 172 + 174 + 180 ) + b ∗ 5 − ( 56.3 + 60.6 + 65.1 + 68.5 + 75 ) = 0 k*(160+166+172+174+180)+b*5-(56.3+60.6+65.1+68.5+75)=0 </math>k∗(160+166+172+174+180)+b∗5−(56.3+60.6+65.1+68.5+75)=0
= <math xmlns="http://www.w3.org/1998/Math/MathML"> 852 ∗ k + 5 ∗ b − 325.5 = 0 852*k + 5*b - 325.5 = 0 </math>852∗k+5∗b−325.5=0
根据k、b进行预测:
-
k = 0.0397
-
b = 60.7615
-
y = 0.0397*176+60.7615 = 67
多元线程回归(了解)




