初等变换、矩阵的标准形、阶梯形与行最简阶梯形、初等矩阵
这几个概念是线性代数中矩阵化简的核心,是求解线性方程组、计算矩阵秩、求逆矩阵的基础工具,彼此关联紧密。
一、矩阵的初等变换
矩阵的初等变换分为初等行变换 和初等列变换,两者操作规则一致,只是作用对象不同。
1. 定义
设 A 是 m×n 矩阵,以下三种操作称为矩阵的初等行变换:
- 换行变换 :交换矩阵的任意两行,记作
(交换第 i,j 行)。
- 数乘变换 :用一个非零常数 k 乘以矩阵的某一行,记作
。
- 倍加变换 :将某一行的 k 倍加到另一行上,记作
(第 j 行的 k 倍加到第 i 行)。
初等列变换 的定义完全类似,只需将 "行" 换成 "列",记作 、
、
2. 核心性质
- 可逆性 :初等变换是可逆的,且逆变换是同类型的初等变换:
- 换行变换
的逆变换是自身;
- 数乘变换
的逆变换是
;
- 倍加变换
的逆变换是
。
- 换行变换
- 等价矩阵 :若矩阵 A 经过有限次初等变换得到矩阵 B,则称 A 与 B 等价 ,记作 A≅B。等价矩阵的性质:
- 反身性:A≅A;
- 对称性:若 A≅B,则 B≅A;
- 传递性:若 A≅B 且 B≅C,则 A≅C;
- 等价矩阵的秩相等:
。
二、阶梯形矩阵与行最简阶梯形矩阵
通过初等行变换,任何矩阵都可以化为阶梯形矩阵和行最简阶梯形矩阵,这是矩阵化简的核心目标。
1. 阶梯形矩阵(行阶梯形)
定义(满足两个条件)
- 矩阵的零行(所有元素都为 0 的行)全部位于非零行的下方;
- 各非零行的首非零元(从左到右第一个不为 0 的元素,也称主元)的列标,随着行标的增大而严格增大。
示例(3×4 阶梯形矩阵)

2. 行最简阶梯形矩阵
定义(在阶梯形矩阵基础上增加两个条件)
- 各非零行的首非零元都是 1;
- 每个首非零元所在列的其他元素都为 0。
示例(3×4 行最简阶梯形矩阵)

3. 化简步骤(初等行变换法)

4. 核心作用
- 阶梯形矩阵:直接读出矩阵的秩(秩 = 非零行的行数);
- 行最简阶梯形矩阵:求解线性方程组的通解、求逆矩阵的初等变换法的核心步骤。
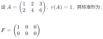
三、矩阵的标准形
1. 定义
对于 m×n 矩阵 A,若其秩为 r,则 A 等价于唯一的矩阵

其中 Er 是 r 阶单位矩阵,O 是零矩阵。这个矩阵 F 称为 A 的等价标准形(简称标准形)。
2. 化简方法
对矩阵 A 同时进行初等行变换和初等列变换,步骤如下:
- 先通过初等行变换将 A 化为行最简阶梯形;
- 再通过初等列变换将主元列以外的列消为零,最终得到标准形。
示例

3. 核心性质
- 任何矩阵的标准形由其行数 m、列数 n、秩 r 唯一确定;
- 两个矩阵等价 ⟺ 它们的标准形相同;
- n 阶方阵 A 可逆 ⟺A 的标准形是 n 阶单位矩阵 En。
四、初等矩阵
1. 定义
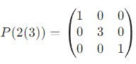
由单位矩阵 E 经过一次初等变换得到的矩阵,称为初等矩阵。初等矩阵分为三类,对应三种初等变换:
| 初等变换类型 | 对应的初等矩阵 | 记号 | 示例(3 阶) |
|---|---|---|---|
| 交换 E 的第 i,j 行 / 列 | 换行 / 列初等矩阵 | P(i,j) | |
| 非零常数 k 乘 E 的第 i 行 / 列 | 数乘初等矩阵 | P(i(k)) | ![]() |
| E 的第 j 行的 k 倍加到第 i 行 / 第 i 列的 k 倍加到第 j 列 | 倍加初等矩阵 | P(i,j(k)) | |
2. 核心定理(初等变换与初等矩阵的关系)
关键结论:对矩阵 A 进行初等行变换 ⟺ 左乘对应的初等矩阵;对 A 进行初等列变换 ⟺ 右乘对应的初等矩阵。

3. 初等矩阵的性质
- 初等矩阵都是可逆矩阵 ,且其逆矩阵是同类型的初等矩阵:

- 可逆矩阵的等价结论:n 阶方阵 A 可逆 ⟺A 可以表示为有限个初等矩阵的乘积,即A=P1P2⋯Ps其中 P1,P2,...,Ps 均为初等矩阵。
- 初等矩阵的转置:

4. 应用:初等变换求逆矩阵的原理
求逆矩阵的初等行变换法 [A∣E]初等行变换[E∣A−1],本质是:
Ps⋯P2P1A=E⟹A−1=Ps⋯P2P1
因此 Ps⋯P2P1E=A−1,即对 E 施加相同的初等行变换,就得到 A−1。
