二极管峰值包络检波器以二极管整流实现峰值捕获,以RC网络实现平滑与保持,是最典型的AM解调电路之一。本文面向高频电子线路课程设计任务,建立AM信号及包络检波的理论模型,并基于Multisim Live平台完成瞬态仿真验证。以载波频率500kHz、调制频率10kHz的AM信号为例,通过对R、C参数的对比仿真,改变时间常数对比观察波形,结果表明,合理选择τ=RC能在"纹波抑制"与"包络跟随"之间取得折中。
一 设计工具介绍-Multisim Live仿真平台与基本操作
Multisim Live是基于浏览器的在线电路仿真平台,核心为SPICE类电路求解引擎,可直接在网页中完成电路搭建、运行瞬态仿真并查看波形。与桌面版Multisim相比,其优点是无需本地安装、打开链接即可运行;不足在于离线能力与部分器件库受限。
操作流程为:
(1)新建工程/新建电路(New),在元件库中依次选取并放置AM信号源、二极管(如1N4148)、电阻R、电容C、接地(GND)等器件;
(2)按照包络检波拓扑完成连线:AM信号源输出端→串联二极管→输出节点,并在输出节点对地并联R与C(RC负载/平滑网络);检查所有节点均有参考地,避免仿真报错;
(3)双击器件进入属性编辑,设置参数:信号源设置载波频率与调制频率(及调制度/幅值),R、C设置为设计值;
(4)运行瞬态仿真(Run/Transient),在波形图(CircuitGraph/示波器)中选择并显示输入端电压与输出端电压(RC节点)曲线;根据需要调整时间轴(包络尺度/载波尺度),并用截图方式保存仿真结果图用于报告。

本来想用multisim仿真,然后之前删了重新安装没有清除干净,软件找不到默认库,然后终止相关进程并删除干净文件夹发现可以修复,就不用重装了,如图,只是修复要等一万年
二 仿真结果
2.1 调制信号与AM信号产生模块
为了验证解调电路效果,需先构建可控的AM输入信号。输入信号应满足:
(1).载波频率明显高于调制频率(f c ≫f m)
(2).调制度m不超过1,避免过调导致包络交叉
(3).幅度与偏置设置合理,使检波二极管能够在峰值区导通,避免因压降导致的严重削顶。
设计采用:载波频率f c =500 kHz,调制频率f m =10 kHz,调制度取m ≤0.8以保证不过调。该频率组合便于在仿真中清晰区分载波(2μs周期)与包络(100μs周期)的变化。
在元件库中放置AM信号源以及设置频率参数:


2.2 波形监测与数据获取模块
为完成报告中的对比与分析,需要同时观察:
(1)检波前输入波形(AM高频调幅波);
(2)检波后输出波形(RC节点包络)。
仿真中使用两处探针/曲线(如PR1、PR2)分别对应输入节点与输出节点。

2.3 元件参数选取
二极管RC包络检波器由二极管与并联RC负载构成。其核心工作机理如下:
当输入AM信号的瞬时值上升并超过电容端电压(加上二极管导通压降)时,二极管导通,电容被快速充电至接近峰值;当输入下降时二极管截止,电容通过电阻放电。若放电过程既能平滑载波又能跟随包络,则电容端电压将形成输入包络的近似轨迹,从而完成解调。
其中RC参数的设计体现"折中":
(1).为抑制载波纹波,要求RC相对载波周期足够大,使电容在载波周期内电压变化不大;
(2).为跟随调制包络,要求RC不能过大,否则包络下降时电容来不及放电,出现惰性失真。
电路取R=5kΩ、C=2.2nF为基准,时间常数为

该取值处于"载波周期(2μs)与包络周期(100μs)之间"的合理区间,预期能获得较好的综合解调效果。
参考电路:NI Multisim Live. Diode - RC: AM Demodulator(在线电路与说明)
https://www.multisim.com/content/zCXpWsqBjUaFwxZR8Wtz5X/diode-rc-am-demodulator/
设计采用τ≈11μs合理:fc=500kHz(载波周期2μs),fm=10kHz(包络周期100μs),τ取在"几微秒~几十微秒"之间能在"滤纹波"和"跟包络"之间折中;现在的波形蓝色PR2已经明显跟随包络,说明参数处在合理区间。
参数对比如下:
(1).基准:R=5kΩ,C=2.2nF,τ=RC≈11μs
(2).τ偏小(纹波会明显变大):例如C=0.47nF(R不变),τ≈2.35μs,电容放电更快,包络跟随更灵敏,输出PR2上会叠加更明显的500kHz高频"锯齿纹波"。
(3).τ偏大(惰性失真):例如C=10nF(R不变),τ≈50μs,平滑更强,纹波更小;但电容放电跟不上包络下降,输出下降段会被"拉直",出现典型惰性失真(对角线切割)。
基准

时间常数调小,充放电快

时间常数调大,AM包络信号上升时,充电慢,UO跟不上包络变化,反之,放电慢也跟随不上下降包络。

结论
本文通过对AM信号模型及包络检波机理的分析,明确包络检波适用于不过调的常规AM信号;通过RC时间常数的讨论与参数对比仿真,验证时间常数过小会导致载波纹波增大,时间常数过大则易产生惰性失真。
下面是针对仿真电路-调幅信号解调(检波)电路为例,梳理复习学了一点的高频,很像模电和信号。期末库库学了点网课,参考教材:
《高频电子线路》(曾兴雯)
网课链接:https://www.icourses.cn/sCourse/course_4237.html(B站也有,这里有PPT)
三 二极管RC包络检波模块-非线性电路的分析方法


在通信系统中,频谱的搬移电路是最基本的单元电路。 振幅调制与解调,频率调制与解调,相位调制与解调,混频等电路 ,都属于频谱搬移电路。
在频谱搬移电路中,输出信号的频率分量与输入信号的频率分量不尽相同,会产生新的频率分量。 因此频谱搬移必须用非线性电路来完成。 非线性电路的主要特点是它的参数随电路中的电流或电压变化。
3.1 非线性函数的级数展开分析法


要点,关注产生频率分量W

i 中的频率分量有无限多个:Wp,q
产生组合分量阶数的规律:
凡是p+q为偶数的组合分量,均由幂级数 中n为偶数,且大于等于p+q的各项产生。
凡是p+q为奇数的组合分量,均由幂级数 中n为奇数,且大于等于p+q的各项产生。
组合分量的强度随p+q的增大而减小。
3.2 线性时变电路分析方法



说明,1.若u1 足够小,可以忽略式中u1 的二次方及其以上各次方项,
2.关注频率分量产生(三角函数积化和差),系数计算略。
四 二极管RC包络检波模块-二极管电路

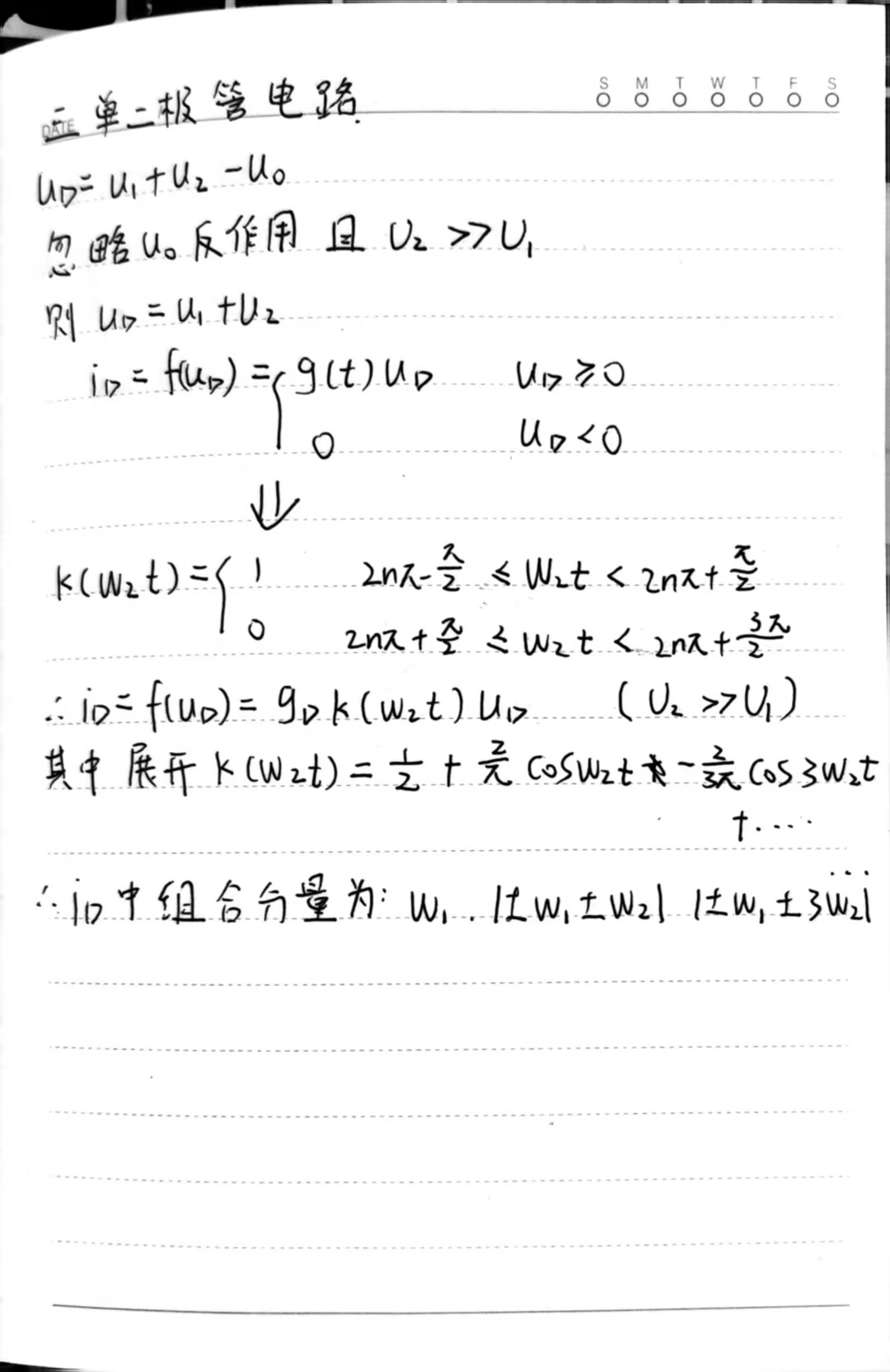
4.1 单二极管电路

采用二极管分段线性模型:

开关函数


产生新频率分量:(1)直观

(2)

4.2 二极管平衡,桥式,环形电路
1.平衡电路

2.桥式电路
3.环形电路



五 二极管RC包络检波模块-振幅调制

5.1 调幅波的分析(普通AM)
1.表达式和波形

已调信号,uAM


已调信号的包络正比于调制信号uΩ
用调制度m表示调制的深度。 当m>1时,会产生包络失真 , 因此要求m<=1,一般m=0.3
5.2 调幅波的频谱
单音


调制信号 f(t) 包含很多个频率分量:


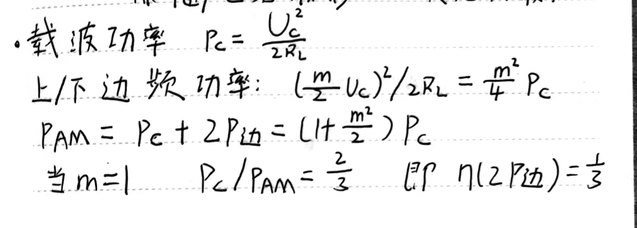
5.3 功率与AM调制方式
以单音为例




5.4 AM调制电路



下面对上面两张图进行电路,波形分析:

1.基极偏置
工作在C类,效率高

工作在截止区和放大区,基极偏置小于门限电压Eb',Ic=0,截止区;否则导通。ic为余弦脉冲。

2 .Ec0+UΩ-集电极调制
集电极调制

动特性曲线,比较Uce_min,Uces可看出工作区随Ec变化,Uce_min<Uces,工作区进入饱和区/过压
所以在过压区工作区输出与随Ec变化而变化,Ec0+UΩ应在过压区,才有如下

纵轴既表示ic,又是不同ube对应,相关波形变化如左右对应。

过压工作Uce一部分进入饱和区,此时输出的余弦脉冲凹顶。

3.负载谐振回路
谐振回路

W0阻抗最大

抽头并联震荡回路-匹配


4.uc波形
ic分解,基波ic1=Ic1coswt

uc=Ic1cos(wt)*RL

波形
截止区,放大区,不凹顶ic余弦脉冲

滤波,uc余弦函数,叠加Ec(uc=Ic1cos(wt)*RL)

再回过来看调制电路波形,过压区集电极调制

六 二极管RC包络检波模块-调幅解调
6.1 峰值包络检波
检波分类

由于普通AM信号的包络与调制信号成线性关系,因此包络检波只适用于AM波,DSB, SSB信号的包络不同于调制信号,因此不能用包络检波 ,需要用同步检波。
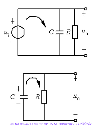
示意图

电路

该电路中,信号源、非线性器件二极管及RC网络三者串联。该检波器工作于大信号状态,输入信号电压大于0.5v。该检波器称为"二极管串联型大信号峰值包络检波器"
1.设输入信号为等幅高频电压,加电压前C上电荷为0。
(等幅高频信号,很像未经调制的高频载波uc)
充放电过程,充电时间常数τ 充=r D* C ,τ 放 =R*C,rd为二极管导通电阻很小,充电时间常数小,充电时间小于放电时间




即稳态输出Uo=Uav=Um.
2.输入信号为AM波

uD波形图分析,
KVL,二极管电压,分两部分,UAM和-UO

uAM

-Uo如上上图虚线,其中Uo并联RC网络,充放电跟随包络,波形近似UAM沿Y轴对称,即UAM 在x负半轴近似两倍。即得uD波形。
最后二极管UD波形在二极管特性曲线导通区有电流,故得Id波形,u负半轴落在截止区了
改进

6.2 对比仿真

仿真电路相较于少了LC谐振输入回路,其它都是二极管VD 和RC低通滤波器组成,

单二极管电路频谱搬移,
RC低通滤波器,w低,1/jwc阻抗大,输出电压高
