一、矩阵的转置
1. 定义
对于一个 m×n 矩阵 ,将其行与列互换 后得到的 n×m 矩阵,称为矩阵 A 的转置矩阵,记作
。
的第 i 行第 j 列元素等于 A 的第 j 行第 i 列元素,即:
2. 示例

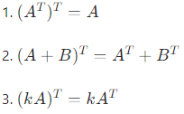
3. 核心运算性质
设 A,B 为可运算的矩阵,k 为常数,则:


4. 特殊转置矩阵
- 对称矩阵 :
,满足
(如单位矩阵 E、对角矩阵)。
- 反对称矩阵 :
,满足
,且主对角线元素
。
二、方阵的行列式
1. 定义
只有方阵 (行数 = 列数)才有行列式。对于 n 阶方阵 ,其行列式记作 ∣A∣ 或 det(A),是一个标量值(实数或复数),由所有元素的特定组合运算得到。

2. 核心运算性质
设 A,B 为 n 阶方阵,k 为常数,则:
- 转置行列式不变 :
。
- 数乘行列式 :
(区别于矩阵数乘 kA 的元素缩放)。
- 乘积行列式:∣AB∣=∣A∣∣B∣(可推广到多个方阵乘积)。
- 可逆性判定 :方阵 A 可逆 ⟺
(此时 A 称为非奇异矩阵 ;∣A∣=0 为奇异矩阵)。
- 逆矩阵行列式 :若 A 可逆,则
。
- 行 / 列变换性质 :
- 交换两行 / 列,行列式变号;
- 某行 / 列乘以常数 k,行列式变为原来的 k 倍;
- 某行 / 列的倍数加到另一行 / 列,行列式不变

三、方阵的伴随矩阵
1. 定义
对于 n 阶方阵 A=(aij),将其每个元素 aij 替换为对应的代数余子式 Aij ,再将得到的矩阵转置,所得到的 n 阶方阵称为 A 的伴随矩阵,记作 A∗(或 adj(A))。

关键注意:A∗ 的第 i 行第 j 列元素是 A 的第 j 行第 i 列元素的代数余子式 Aji。
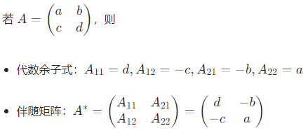
2. 示例(2 阶方阵)

3. 核心定理与性质
核心恒等式:对任意 n 阶方阵 A,有

逆矩阵公式:若 A 可逆(∣A∣=0),则

伴随矩阵的行列式:

伴随矩阵的转置与逆:

数乘矩阵的伴随:(kA)∗=kn−1A∗(n 阶方阵,k 为常数)。
伴随矩阵的秩:
