目录
[三、BP 神经网络核心算法步骤](#三、BP 神经网络核心算法步骤)
[步骤 1:网络参数初始化](#步骤 1:网络参数初始化)
[步骤 2:前向传播(Forward Propagation)](#步骤 2:前向传播(Forward Propagation))
[2.1 隐藏层输入与输出](#2.1 隐藏层输入与输出)
[2.2 输出层输入与输出](#2.2 输出层输入与输出)
[步骤 3:计算损失函数(Loss Function)](#步骤 3:计算损失函数(Loss Function))
[3.1 二分类任务(垃圾邮件检测):二元交叉熵损失](#3.1 二分类任务(垃圾邮件检测):二元交叉熵损失)
[3.2 多分类任务:类别交叉熵损失](#3.2 多分类任务:类别交叉熵损失)
[3.3 回归任务:均方误差(MSE)损失](#3.3 回归任务:均方误差(MSE)损失)
[步骤 4:反向传播(Backward Propagation)](#步骤 4:反向传播(Backward Propagation))
[4.1 定义 "误差项"](#4.1 定义 “误差项”)
[4.2 输出层误差项(编辑)](#4.2 输出层误差项(编辑))
[4.3 隐藏层误差项(编辑)](#4.3 隐藏层误差项(编辑))
[4.4 计算权重与偏置的梯度](#4.4 计算权重与偏置的梯度)
[步骤 5:参数更新(梯度下降)](#步骤 5:参数更新(梯度下降))
[步骤 6:迭代训练与终止条件](#步骤 6:迭代训练与终止条件)
[四、BP 神经网络的Python代码完整实现](#四、BP 神经网络的Python代码完整实现)
一、引言
BP 神经网络(Back Propagation Neural Network)是多层前馈神经网络 的核心训练算法,核心逻辑是:前向传播计算预测输出与损失,反向传播通过链式法则计算参数梯度,再用梯度下降更新权重 / 偏置,最终最小化预测误差。本文将详细讲解BP神经网络的算法原理以及Python代码完整实现。
二、算法前置定义(符号系统)
先统一核心符号,避免公式歧义(以 "输入层 + 1 层隐藏层 + 输出层" 的经典结构为例,多层隐藏层可类推):
| 符号 | 含义 |
|---|---|
![]() |
输入层向量,维度 n(n 为输入层神经元数,对应文本任务的 TF-IDF 特征数) |
![]() |
隐藏层输出向量,维度 m(m 为隐藏层神经元数) |
![]() |
输出层预测向量,维度 k(k 为输出层神经元数,二分类k=1,多分类k=类别数) |
![]() |
真实标签向量 |
![]() |
输入层→隐藏层的权重矩阵(第i行第j列:输入层第j个神经元到隐藏层第i个神经元的权重) |
![]() |
隐藏层的偏置向量 |
![]() |
隐藏层→输出层的权重矩阵 |
![]() |
输出层的偏置向量 |
| σ(⋅) | 激活函数(隐藏层常用 ReLU/Tanh/Sigmoid,输出层二分类用 Sigmoid、多分类用 Softmax) |
| L | 损失函数(衡量预测值与真实值的差距) |
| η | 学习率(控制参数更新步长) |
![]() |
损失函数对权重W的梯度(反向传播核心计算目标) |
三、BP 神经网络核心算法步骤
步骤 1:网络参数初始化
神经网络的权重 / 偏置不能初始化为全 0(会导致所有神经元输出相同,梯度消失),需初始化为「随机小值」:
- 权重初始化:常用「正态分布初始化」(W∼N(0,0.01))或「Xavier 初始化」(适配 Tanh/Sigmoid)、「He 初始化」(适配 ReLU);
- 偏置初始化:通常初始化为 0 或小常数(如b=0.1)。
示例(输入层n=100,隐藏层m=32,输出层k=1):

步骤 2:前向传播(Forward Propagation)
从输入层到输出层逐层计算神经元输出,核心是 "线性变换 + 激活函数":
2.1 隐藏层输入与输出
隐藏层的「净输入」(线性变换结果):
隐藏层的「输出」(净输入经过激活函数):

- 激活函数选择(隐藏层):
- Sigmoid:
(值域(0,1),易梯度消失,适合小数据); - ReLU:
(计算快,缓解梯度消失,主流选择); - Tanh:
(值域(−1,1),中心化输出)。
- Sigmoid:
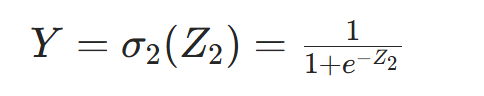
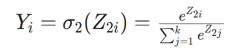
2.2 输出层输入与输出
输出层的「净输入」:

输出层的「输出」(根据任务选激活函数):
- 二分类任务(如垃圾邮件检测):Sigmoid 激活

- 多分类任务(如文档分类):Softmax 激活

- 回归任务:无激活函数(直接输出Z2)。
步骤 3:计算损失函数(Loss Function)
损失函数是 "预测值与真实值的差距量化",反向传播的核心目标是最小化损失函数。
3.1 二分类任务(垃圾邮件检测):二元交叉熵损失

- 若样本数为N,批量损失为所有样本损失的均值:

3.2 多分类任务:类别交叉熵损失

3.3 回归任务:均方误差(MSE)损失

步骤 4:反向传播(Backward Propagation)
核心是链式法则:从输出层往输入层反向计算「各层误差」,再推导权重 / 偏置的梯度。反向传播的本质是 "求损失函数对每个参数的偏导数(梯度)",梯度的物理意义是 "参数变化对损失的影响程度"。
4.1 定义 "误差项"
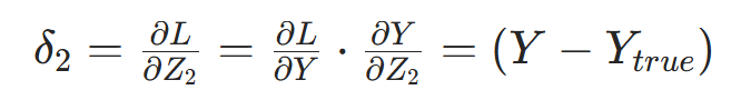
误差项δ:损失函数对某层「净输入Z」的偏导数(δ=∂Z∂L),是反向传播的核心中间变量。
4.2 输出层误差项(
)
以二分类任务(Sigmoid 激活 + 二元交叉熵损失)为例:
- 第一步:损失对输出层预测值的偏导

- 第二步:输出层预测值对净输入Z2的偏导(Sigmoid 导数:
)
- 第三步:链式法则求输出层误差项
结论(关键简化):二元交叉熵 + Sigmoid 的输出层误差项可简化为
,大幅降低计算量。
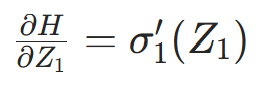
4.3 隐藏层误差项(
)
隐藏层无直接标签,需通过输出层误差反向推导:
- 第一步:损失对隐藏层输出的偏导

- 第二步:隐藏层输出对净输入Z1的偏导(以 ReLU 为例,导数
)
- 第三步:链式法则求隐藏层误差项

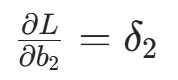
4.4 计算权重与偏置的梯度
梯度是 "损失函数对参数的偏导数",用于后续参数更新:
- 隐藏层→输出层的权重梯度:

- 输出层偏置梯度(偏置的净输入导数为 1):

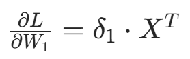
- 输入层→隐藏层的权重梯度:

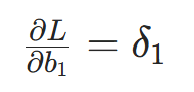
- 隐藏层偏置梯度:

若为批量训练(样本数N),梯度需取均值:
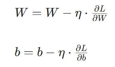
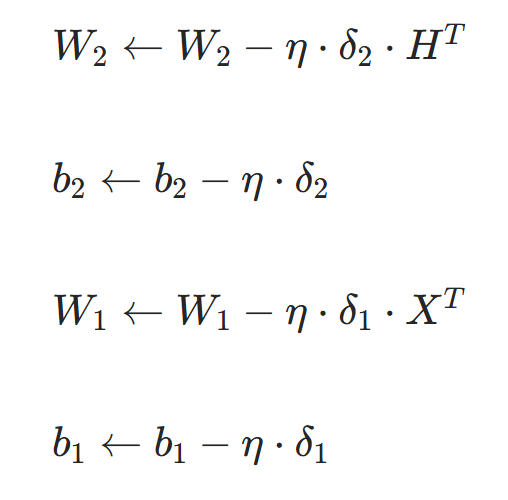
步骤 5:参数更新(梯度下降)
通过梯度下降法更新权重和偏置,核心是 "沿梯度负方向调整参数,减小损失":

以二分类任务为例,完整更新公式:

- 学习率η选择:
- 过小:训练收敛慢,需更多迭代;
- 过大:梯度震荡,无法收敛;
- 常用值:0.001、0.01、0.1(小数据建议η=0.01);
- 优化策略:可使用「学习率衰减」(如每 10 轮迭代学习率减半)或「自适应优化器」(Adam、RMSprop)。
步骤 6:迭代训练与终止条件
重复步骤 2~5,遍历训练集进行多轮迭代,直到满足终止条件:
- 损失函数收敛(如相邻两轮损失的差值<10−6);
- 达到最大迭代次数(如 epochs=20、50);
- 验证集准确率达到阈值(如测试集准确率>95%)。
四、BP 神经网络的Python代码完整实现
python
import numpy as np
# ======================== 1. 激活函数与导数 ========================
def sigmoid(z):
"""Sigmoid激活函数"""
return 1 / (1 + np.exp(-z))
def sigmoid_derivative(z):
"""Sigmoid导数"""
s = sigmoid(z)
return s * (1 - s)
def relu(z):
"""ReLU激活函数"""
return np.maximum(0, z)
def relu_derivative(z):
"""ReLU导数"""
return np.where(z > 0, 1, 0)
# ======================== 2. BP神经网络类 ========================
class BPNeuralNetwork:
def __init__(self, input_dim, hidden_dim, output_dim, learning_rate=0.01):
"""
初始化BP网络
:param input_dim: 输入层维度(如TF-IDF特征数)
:param hidden_dim: 隐藏层神经元数
:param output_dim: 输出层维度(二分类=1)
:param learning_rate: 学习率
"""
self.input_dim = input_dim
self.hidden_dim = hidden_dim
self.output_dim = output_dim
self.lr = learning_rate
# 步骤1:初始化权重和偏置
self.W1 = np.random.normal(0, 0.01, (hidden_dim, input_dim)) # (m, n)
self.b1 = np.zeros((hidden_dim, 1)) # (m, 1)
self.W2 = np.random.normal(0, 0.01, (output_dim, hidden_dim)) # (k, m)
self.b2 = np.zeros((output_dim, 1)) # (k, 1)
def forward(self, X):
"""
前向传播
:param X: 输入向量 (input_dim, 1)
:return: 隐藏层输出H、输出层预测Y
"""
# 隐藏层计算
Z1 = np.dot(self.W1, X) + self.b1 # (m, 1)
H = relu(Z1) # 隐藏层用ReLU激活 (m, 1)
# 输出层计算
Z2 = np.dot(self.W2, H) + self.b2 # (k, 1)
Y = sigmoid(Z2) # 输出层用Sigmoid激活 (k, 1)
return H, Y
def backward(self, X, H, Y, Y_true):
"""
反向传播:计算梯度
:param X: 输入向量 (input_dim, 1)
:param H: 隐藏层输出 (hidden_dim, 1)
:param Y: 输出层预测 (output_dim, 1)
:param Y_true: 真实标签 (output_dim, 1)
:return: 各参数的梯度
"""
# 步骤4.2:输出层误差项(二元交叉熵+Sigmoid简化版)
delta2 = Y - Y_true # (k, 1)
# 步骤4.3:隐藏层误差项(ReLU导数)
Z1 = np.dot(self.W1, X) + self.b1 # 重新计算Z1(反向传播需要)
delta1 = np.dot(self.W2.T, delta2) * relu_derivative(Z1) # (m, 1)
# 步骤4.4:计算梯度
dW2 = np.dot(delta2, H.T) # (k, m)
db2 = delta2 # (k, 1)
dW1 = np.dot(delta1, X.T) # (m, n)
db1 = delta1 # (m, 1)
return dW1, db1, dW2, db2
def update_params(self, dW1, db1, dW2, db2):
"""
步骤5:参数更新(梯度下降)
"""
self.W1 -= self.lr * dW1
self.b1 -= self.lr * db1
self.W2 -= self.lr * dW2
self.b2 -= self.lr * db2
def train(self, X_train, y_train, epochs=20, batch_size=8):
"""
迭代训练
:param X_train: 训练特征 (n_samples, input_dim)
:param y_train: 训练标签 (n_samples, 1)
:param epochs: 迭代次数
:param batch_size: 批量大小
"""
n_samples = X_train.shape[0]
for epoch in range(epochs):
# 打乱训练集(避免顺序影响)
indices = np.random.permutation(n_samples)
X_shuffled = X_train[indices]
y_shuffled = y_train[indices]
total_loss = 0.0
# 批量训练
for i in range(0, n_samples, batch_size):
batch_X = X_shuffled[i:i + batch_size]
batch_y = y_shuffled[i:i + batch_size]
batch_loss = 0.0
# 遍历批量内每个样本
for X, y_true in zip(batch_X, batch_y):
# 重塑为列向量(适配矩阵运算)
X = X.reshape(self.input_dim, 1)
y_true = y_true.reshape(self.output_dim, 1)
# 步骤2:前向传播
H, Y = self.forward(X)
# 步骤3:计算损失(二元交叉熵)
loss = -y_true * np.log(Y) - (1 - y_true) * np.log(1 - Y)
batch_loss += loss.item()
# 步骤4:反向传播
dW1, db1, dW2, db2 = self.backward(X, H, Y, y_true)
# 步骤5:参数更新
self.update_params(dW1, db1, dW2, db2)
# 打印每轮损失
avg_loss = batch_loss / batch_size
print(f"Epoch {epoch + 1}/{epochs}, Average Loss: {avg_loss:.4f}")
def predict(self, X):
"""
预测函数
:param X: 输入特征 (n_samples, input_dim)
:return: 预测标签(0/1)
"""
predictions = []
for x in X:
x = x.reshape(self.input_dim, 1)
_, Y = self.forward(x)
# 二分类阈值:0.5
pred = 1 if Y > 0.5 else 0
predictions.append(pred)
return np.array(predictions)
# ======================== 3. 测试算法(适配垃圾邮件检测场景) ========================
if __name__ == "__main__":
# 模拟小数据集(输入维度=100,样本数=49)
X_train = np.random.normal(0, 1, (49, 100)) # 替代TF-IDF特征
y_train = np.random.randint(0, 2, (49, 1)) # 替代垃圾邮件标签
# 初始化BP网络
bp_net = BPNeuralNetwork(
input_dim=100,
hidden_dim=32,
output_dim=1,
learning_rate=0.01
)
# 训练网络
bp_net.train(X_train, y_train, epochs=20, batch_size=8)
# 预测测试
X_test = np.random.normal(0, 1, (10, 100))
y_pred = bp_net.predict(X_test)
print("测试集预测结果:", y_pred)
五、程序运行结果展示
bash
Epoch 1/20, Average Loss: 0.0880
Epoch 2/20, Average Loss: 0.0850
Epoch 3/20, Average Loss: 0.0893
Epoch 4/20, Average Loss: 0.0842
Epoch 5/20, Average Loss: 0.0826
Epoch 6/20, Average Loss: 0.0905
Epoch 7/20, Average Loss: 0.0904
Epoch 8/20, Average Loss: 0.0898
Epoch 9/20, Average Loss: 0.0764
Epoch 10/20, Average Loss: 0.0895
Epoch 11/20, Average Loss: 0.0762
Epoch 12/20, Average Loss: 0.0721
Epoch 13/20, Average Loss: 0.0782
Epoch 14/20, Average Loss: 0.0625
Epoch 15/20, Average Loss: 0.0750
Epoch 16/20, Average Loss: 0.0523
Epoch 17/20, Average Loss: 0.0637
Epoch 18/20, Average Loss: 0.0317
Epoch 19/20, Average Loss: 0.0299
Epoch 20/20, Average Loss: 0.0273
测试集预测结果: [0 0 1 1 0 1 1 0 1 0]
六、总结
本文详细介绍了BP神经网络的算法原理与Python实现。BP神经网络通过前向传播计算输出,反向传播利用链式法则计算梯度,采用梯度下降法更新参数以最小化预测误差。文章系统阐述了网络初始化、前向传播、损失计算、反向传播和参数更新等核心步骤,并提供了完整的Python代码实现,包括激活函数选择、误差项计算和批量训练过程。实验结果显示,该算法在模拟数据集上训练20轮后损失显著下降,验证了BP神经网络的有效性。该实现适用于二分类任务,可通过调整激活函数和损失函数扩展至多分类和回归问题。








