前两章分别介绍了智能体的定义和发展历史。本章将完全聚焦于大语言模型(LLM)本身,从最基础的原理出发,解答"现代智能体是如何思考的"这一关键问题。
3.1 语言模型与 Transformer 架构
3.1.1 从 N-gram 到 RNN
语言模型 (Language Model, LM) 是自然语言处理的核心,其根本任务是计算一个词序列(即一个句子)出现的概率。一个好的语言模型能够告诉我们什么样的句子是通顺的、自然的。在多智能体系统中,语言模型是智能体理解人类指令、生成回应的基础。
本节将回顾从经典的统计方法到现代深度学习模型的演进历程。
(1) 统计语言模型与 N-gram 的思想
在深度学习兴起之前,统计方法是语言模型的主流。其核心思想是,一个句子出现的概率,等于该句子中每个词出现的条件概率的连乘。
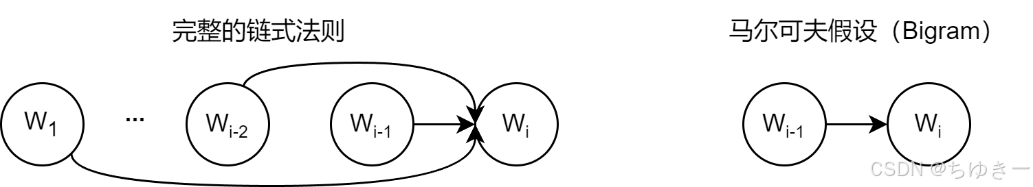
对于一个由词 w1,w2,...,wmw_{1},w_{2},...,w_{m}w1,w2,...,wm 构成的句子 SSS,其概率 P(S)P(S)P(S) 可以表示为概率的链式法则 :
P(S)=P(w1,w2,...,wm)=P(w1)⋅P(w2∣w1)⋅P(w3∣w1,w2)⋅...⋅P(wm∣w1,...,wm−1)P(S)=P(w_{1},w_{2},...,w_{m})=P(w_{1})\cdot P(w_{2}|w_{1})\cdot P(w_{3}|w_{1},w_{2})\cdot...\cdot P(w_{m}|w_{1},...,w_{m-1})P(S)=P(w1,w2,...,wm)=P(w1)⋅P(w2∣w1)⋅P(w3∣w1,w2)⋅...⋅P(wm∣w1,...,wm−1)
💡 注解:
这个公式在理论上是完美的,但在工程上直接计算几乎是不可能的。因为随着句子变长,像 P(wm∣w1,...,wm−1)P(w_{m}|w_{1},...,w_{m-1})P(wm∣w1,...,wm−1) 这样的条件概率参数空间会呈指数级爆炸,且很多长序列 w1,...,wm−1w_{1},...,w_{m-1}w1,...,wm−1 可能从未在训练数据中出现过,导致概率为 0(数据稀疏问题)。
马尔可夫假设 (Markov Assumption)
为了解决上述计算难题,研究者引入了马尔可夫假设。其核心思想是:我们不必回溯一个词的全部历史,可以近似地认为,一个词的出现概率只与它前面有限的 n−1n-1n−1 个词有关 。基于这个假设建立的语言模型,称为 N-gram 模型 。这里的 "NNN" 代表我们考虑的上下文窗口大小。

- Bigram (当 N=2 时) :这是最简单的情况,假设一个词的出现只与它前面的一个词有关。链式法则近似为:
P(wi∣w1,...,wi−1)≈P(wi∣wi−1)P(w_{i}|w_{1},...,w_{i-1})\approx P(w_{i}|w_{i-1})P(wi∣w1,...,wi−1)≈P(wi∣wi−1)
- Trigram (当 N=3 时) :假设一个词的出现只与它前面的两个词有关:
P(wi∣w1,...,wi−1)≈P(wi∣wi−2,wi−1)P(w_{i}|w_{1},...,w_{i-1})\approx P(w_{i}|w_{i-2},w_{i-1})P(wi∣w1,...,wi−1)≈P(wi∣wi−2,wi−1)
最大似然估计 (Maximum Likelihood Estimation, MLE)
这些概率可以通过在大型语料库中进行最大似然估计来计算。思想非常直观:最可能出现的,就是我们在数据中看到次数最多的。
以 Bigram 模型为例,计算在词 wi−1w_{i-1}wi−1 出现后,下一个词是 wiw_{i}wi 的概率 P(wi∣wi−1)P(w_{i}|w_{i-1})P(wi∣wi−1):
P(wi∣wi−1)=Count(wi−1,wi)Count(wi−1)P(w_{i}|w_{i-1})=\frac{Count(w_{i-1},w_{i})}{Count(w_{i-1})}P(wi∣wi−1)=Count(wi−1)Count(wi−1,wi)
其中:
- Count(wi−1,wi)Count(w_{i-1},w_{i})Count(wi−1,wi):表示词对 (wi−1,wi)(w_{i-1},w_{i})(wi−1,wi) 在语料库中连续出现的总次数。
- Count(wi−1)Count(w_{i-1})Count(wi−1):表示单个词 wi−1w_{i-1}wi−1 在语料库中出现的总次数。1
手动计算演练
为了让这个过程更具体,我们来手动进行一次计算。
假设语料库(仅包含两句话):
datawhale agent learnsdatawhale agent works
目标 :使用 Bigram (N=2N=2N=2) 模型,估算句子 datawhale agent learns 出现的概率。
Step 1: 计算第一个词的概率 P(datawhale)P(datawhale)P(datawhale)
datawhale 出现了 2 次,总词数是 6。
P(datawhale)=26≈0.333P(datawhale) = \frac{2}{6} \approx 0.333P(datawhale)=62≈0.333
Step 2: 计算条件概率 P(agent∣datawhale)P(agent|datawhale)P(agent∣datawhale)
词对 datawhale agent 出现了 2 次,前缀词 datawhale 出现了 2 次。
P(agent∣datawhale)=Count(datawhale agent)Count(datawhale)=22=1P(agent|datawhale)=\frac{Count(datawhale~agent)}{Count(datawhale)}=\frac{2}{2}=1P(agent∣datawhale)=Count(datawhale)Count(datawhale agent)=22=1
Step 3: 计算条件概率 P(learns∣agent)P(learns|agent)P(learns∣agent)
词对 agent learns 出现了 1 次,前缀词 agent 出现了 2 次(分别在 learns 和 works 之前)。
P(learns∣agent)=Count(agent learns)Count(agent)=12=0.5P(learns|agent)=\frac{Count(agent~learns)}{Count(agent)}=\frac{1}{2}=0.5P(learns∣agent)=Count(agent)Count(agent learns)=21=0.5
Step 4: 概率连乘
P(datawhale agent learns)≈0.333⋅1⋅0.5≈0.167P(datawhale~agent~learns)\approx 0.333 \cdot 1 \cdot 0.5 \approx 0.167P(datawhale agent learns)≈0.333⋅1⋅0.5≈0.167
代码实现 (Python)
以下代码完全复现了上述计算过程,清晰展示了统计语言模型的内部逻辑 2:
python
import collections
# 示例语料库,与上方案例讲解中的语料库保持一致
corpus = "datawhale agent learns datawhale agent works"
tokens = corpus.split()
total_tokens = len(tokens)
# 第一步: 计算 P(datawhale)
count_datawhale = tokens.count('datawhale')
p_datawhale = count_datawhale / total_tokens
print(f"第一步: P(datawhale) = {count_datawhale}/{total_tokens} = {p_datawhale:.3f}")
# 第二步: 计算 P(agent|datawhale)
# 先计算 bigrams 用于后续步骤
bigrams = zip(tokens, tokens[1:])
bigram_counts = collections.Counter(bigrams)
count_datawhale_agent = bigram_counts[('datawhale', 'agent')]
# count_datawhale 已在第一步计算
p_agent_given_datawhale = count_datawhale_agent / count_datawhale
print(f"第二步: P(agent|datawhale) = {count_datawhale_agent}/{count_datawhale} = {p_agent_given_datawhale:.3f}")
# 第三步: 计算 P(learns|agent)
count_agent_learns = bigram_counts[('agent', 'learns')]
count_agent = tokens.count('agent')
p_learns_given_agent = count_agent_learns / count_agent
print(f"第三步: P(learns|agent) = {count_agent_learns}/{count_agent} = {p_learns_given_agent:.3f}")
# 最后: 将概率连乘
p_sentence = p_datawhale * p_agent_given_datawhale * p_learns_given_agent
print(f"最后: P('datawhale agent learns') = {p_datawhale:.3f} * {p_agent_given_datawhale:.3f} * {p_learns_given_agent:.3f} = {p_sentence:.3f}")
运行结果:
Plaintext
第一步: P(datawhale) = 2/6 = 0.333
第二步: P(agent|datawhale) = 2/2 = 1.000
第三步: P(learns|agent) = 1/2 = 0.500
最后: P('datawhale agent learns') = 0.333 * 1.000 * 0.500 = 0.167
N-gram 模型的致命缺陷
- 数据稀疏性 (Sparsity):如果一个词序列从未在语料库中出现,其概率估计就为 0。
- 泛化能力差 :模型无法理解词与词之间的语义相似性。例如,即使模型见过
agent learns,当遇到robot learns时,如果robot未出现过,模型无法利用agent和robot的相似性进行推断。
💡 深度解析 :N-gram 的根本缺陷在于它将词视为孤立、离散的符号 (One-hot 编码思维)。为了克服这个问题,研究者转向了神经网络,提出用连续的向量来表示词。
(2) 神经网络语言模型与词嵌入
2003年,Bengio 等人提出的前馈神经网络语言模型 (Feedforward Neural Network Language Model) 是这一领域的里程碑。
核心思想:
- 构建一个语义空间 :创建一个高维的连续向量空间,将每个词映射为一个点(向量),称为词嵌入 (Word Embedding) 。在这个空间里,语义相近的词(如
agent和robot)距离更近。 - 学习映射函数 :利用神经网络拟合一个函数,输入前 n−1n-1n−1 个词的向量,输出下一个词的概率分布。

词向量的数学度量:余弦相似度
一旦将词转换为向量,就可以使用余弦相似度 (Cosine Similarity) 来度量它们的关系:
similarity(a⃗,b⃗)=cos(θ)=a⃗⋅b⃗∣a⃗∣∣b⃗∣similarity(\vec{a},\vec{b})=cos(\theta)=\frac{\vec{a}\cdot\vec{b}}{|\vec{a}||\vec{b}|}similarity(a ,b )=cos(θ)=∣a ∣∣b ∣a ⋅b
-
1 (0°):完全相关。
-
0 (90°):毫无关系(正交)。
-
-1 (180°):完全负相关。
经典案例:词向量的代数运算
一个著名的例子展示了词向量捕捉到的语义关系:
vector(′King′)−vector(′Man′)+vector(′Woman′)≈vector(′Queen′)vector('King') - vector('Man') + vector('Woman') \approx vector('Queen')vector(′King′)−vector(′Man′)+vector(′Woman′)≈vector(′Queen′)
这好比在语义空间进行平移,证明了词嵌入能够学习到"性别"、"皇室"等抽象概念。
代码实现:词向量运算
以下代码模拟了如何在向量空间中进行语义运算 :
python
import numpy as np
# 假设我们已经学习到了简化的二维词向量
embeddings = {
"king": np.array([0.9, 0.8]),
"queen": np.array([0.9, 0.2]),
"man": np.array([0.7, 0.9]),
"woman": np.array([0.7, 0.3])
}
def cosine_similarity(vec1, vec2):
dot_product = np.dot(vec1, vec2)
norm_product = np.linalg.norm(vec1) * np.linalg.norm(vec2)
return dot_product / norm_product
# king - man + woman
result_vec = embeddings["king"] - embeddings["man"] + embeddings["woman"]
# 计算结果向量与 "queen" 的相似度
sim = cosine_similarity(result_vec, embeddings["queen"])
print(f"king - man + woman 的结果向量: {result_vec}")
print(f"该结果与 'queen' 的相似度: {sim:.4f}")
运行结果:
plaintext
king - man + woman 的结果向量: [0.9 0.2]
该结果与 'queen' 的相似度: 1.0000