图片生成任务

一张图片上像素的所有可能值决定了一张图片的分布空间,假设我们进行的是人脸生成任务,那整个人脸片只占整个空间的很小一部分,并且这个分布十分难表示。
隐变量
当我们在人脸图像中改变很小一些像素,整个图片看起来还是人脸,这就表明人脸图片的分布其实有一定的容错率,那么我们可以只保留更加粗糙的特征,任然能表示一张人脸。由此我们引入隐变量:

VAE当中使用的就是128维的隐变量。
AE(Auto - Encoder)

传统的AE方法就是找到这个隐变量,但是在生成问题中面临一个问题,就是随机选取一个隐变量可能只会生成出噪声。因为由图片生成的隐向量在整个分布空间中是稀疏的。

VAE
所以我们采用两种方法:
- 图片不输出一个隐向量,而输出一个正太分布
- 使所有输出的正态分布的叠加尽可能的接近一个正太分布。

上图中我们分别维编码器,隐空间和解码器设定了数学表达
输出从隐向量变为正态分布的两个参数

反向传播
上述训练的网络中有一步是不可导的,就是随机采样的哪个步骤。

因此,我们通过下面这个步骤使其可导

loss函数
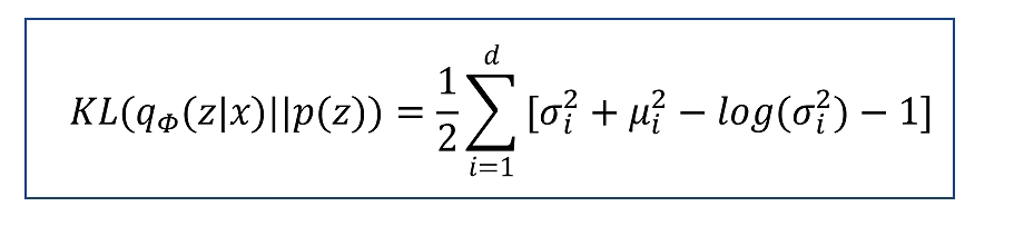
包括两部分:图片重建loss和Kl散度loss(用于约束为正太分布)
优化目标

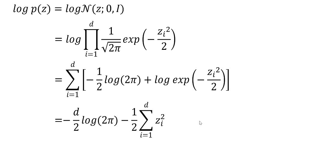
公式推导
这部分推导类似于DDPM


分别对两部分进行推导


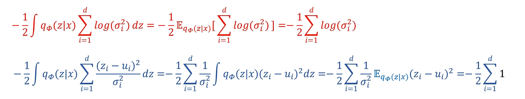
注意到−d2log(2π)-\frac{d}{2}\log(2\pi)−2dlog(2π)抵消。
然后再分开求这三项


带回式子后:

这样就得到了KL三度的计算方法。