
还记得上期我们复现经典研究《Shaping of light beams along curves in three dimensions》中二维任意塑形光束吗?通过全息编码技术,激光能精准贴合环形、螺旋等平面曲线,实现高强度梯度的光束分布,为微观操控打下了基础。但在实际应用中,无论是光学捕获需要的立体陷阱,还是激光微加工面对的复杂 3D 结构,都迫切需要激光突破平面限制,在三维空间中 "画出" 精准的立体光曲线。
今天要分享的这篇文章的另一部分,正是二维塑形的完美升级 ------ 它无需复杂迭代算法,就能让激光的强度和相位沿着任意 3D 曲线精准分布,生成衍射受限、高强度梯度的立体光束,彻底打开了三维微观操控的全新可能。
为什么 3D 光束塑形是必然趋势?
二维光束塑形虽能解决平面内的操控问题,但在三维微观场景中仍有明显局限。比如传统光学陷阱,大多依赖平面光束的强度梯度,难以在轴向(垂直平面方向)形成足够强的束缚力,导致粒子容易脱离陷阱;而在激光微加工中,复杂的 3D 微观结构需要光束贴合曲面轮廓,二维光束只能通过多次扫描拼接,效率和精度都受影响。
在此文章之前的 3D 光束技术也存在瓶颈:要么只能调控强度无法精准控制相位,要么需要求解复杂的光传播逆问题,计算量大且难以落地。而这项新技术的核心突破,正是解决了 "非迭代、强度相位双精准、适配任意 3D 曲线" 这三大关键难题,让立体光束塑形变得高效且灵活。
核心原理:从二维到三维的公式演进
这项技术的本质,是在二维光束塑形的基础上,通过简单却精妙的数学拓展,实现三维空间的光束调控。核心公式的演进逻辑清晰,层层递进:
1. 二维曲线光束的基础(回顾)
二维场景中,我们通过相干叠加平面波贡献,生成沿曲线分布的高强度梯度光束,核心公式为:

其中Φ(r,t)是相位调控核心,负责保证光束叠加时的相位匹配,进而控制相位梯度:

σ作为自由参数,可直接调节相位梯度方向,这也是粒子运动方向控制的关键。
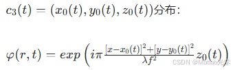
2. 三维曲线的关键拓展
要实现三维塑形,只需在二维公式基础上引入离焦相位调制项φ(r,t),即可让光束沿三维曲线

这个调制项的作用,相当于给光束的每个 "聚焦点" 赋予了轴向位置信息,让它们在三维空间中按预设曲线排列。
最终的三维光束场表达式为:

这个公式的巧妙之处在于,无需求解复杂的光传播逆问题,就能让激光在聚焦后形成衍射受限的 3D 立体光曲线,且始终保持高强度梯度和可控相位梯度 ------ 这也是它相比传统技术的核心优势。
可视化验证:MATLAB 复现的 3D 光曲线奇观
通过 MATLAB 对这项技术进行数值模拟,我们成功复现了文章中的关键 3D 光束形态,每一张图都直观展现了激光从平面到立体的 "塑形" 飞跃:
1. 阿基米德螺旋光束(对应文章 Fig.3 (c))
这是沿光轴延伸的螺旋结构,相比二维平面螺旋,它在轴向(z 轴)呈现出明显的延伸特性。从 z=-6.6、0、5.1mm 三个不同平面的强度分布可以看到,螺旋结构在聚焦前后始终保持完整,高强度梯度区域精准贴合预设的 3D 曲线。

三维重建后,螺旋光束的立体形态清晰可见 ------ 中心区域因曲率较高,呈现出独特的垂直火焰状结构,这正是 3D 曲线塑形的典型特征。这种结构在微观粒子输送中极具价值:通过调节σ参数,可让粒子沿螺旋轨迹正向或反向运动,实现精准的三维输送。

2. 三叶结光束(对应文章 Fig.3 (d))
这是极具挑战性的复杂 3D 结构,光束在空间中交织形成绳结形态,且无明显串扰(干涉条纹)------ 这在传统技术中几乎难以实现。从 z=-2.2mm(聚焦前)、z=0mm(聚焦处)到 z=2.2mm(聚焦后)的强度分布可以看出,绳结结构在传播过程中保持稳定,每个交织点的强度和相位都精准可控。

三维可视化后,光束的交织结构一目了然。这种复杂形态的实现,充分证明了该技术对任意 3D 曲线的适配能力 ------ 无论是开放曲线还是闭合绳结,都能精准复现,为设计新型光学陷阱提供了无限可能。

3. 其他典型 3D 光束
除了螺旋和绳结,该技术还能轻松生成多种实用 3D 光束:
倾斜环形光束(Fig.3 (a)):可让粒子在倾斜平面内稳定旋转,即使粒子逆着散射力运动也能保持捕获,解决了轴向束缚力不足的问题;

维维亚尼曲线光束(Fig.3 (b)):形成两个对称的空间环,粒子可在环上循环运动,且两环无相互干扰,适用于多粒子的独立操控。

核心应用:3D 光束如何改变微观世界?
这项技术的应用前景十分广阔,尤其在需要精准三维操控的领域:
光学捕获:能同时实现多个微米级粒子的稳定捕获和精准操控,粒子运动方向可通过参数灵活调节,无论是旋转、平移还是沿复杂曲线运动都能实现;
激光微加工:光束可贴合复杂 3D 微观结构表面进行加工,无需多次扫描拼接,大幅提升加工精度和效率,适用于微型器件、生物芯片等精密制造;
生物医学:有望用于细胞分选、微流控芯片中的粒子输送,甚至是单细胞层面的精准操作,为生物医学研究提供全新工具。
更重要的是,该技术基于常见的空间光调制器(SLM)实现,实验装置简单,无需复杂硬件改造,具备良好的实用性和推广价值 ------ 这意味着它很快就能从实验室走向实际应用。
未来展望
目前这项技术已成功在实验中实现微米级粒子的多维度捕获,未来还有更大的优化空间:比如让σ参数随曲线坐标动态变化,实现相位梯度的局部可调;或者结合自适应光学技术,进一步提升复杂环境下的光束稳定性。
从二维平面到三维空间,激光光束的 "塑形" 能力突破,正在重新定义微观世界的操控方式。如果说二维技术是让激光成为 "平面画笔",那么这项 3D 技术就是让激光变成了 "立体雕刻刀"------ 它不仅解决了现有技术的痛点,更打开了无数全新的应用场景。
或许不久的将来,这种 "光绘 3D" 技术会成为微观制造、生物工程等领域的常规工具,让更多复杂的微观操作变得简单高效。
参考文献
- Rodrigo J A, Alieva T, Abramochkin E, et al. Shaping of light beams along curves in three dimensions[J]. Optics Express, 2013, 21(18): 20544-20555.