题目
给你二叉树的根节点 root ,返回其节点值的 层序遍历 。 (即逐层地,从左到右访问所有节点)。
数据范围
树中节点数目在范围 [0, 2000] 内
-1000 <= Node.val <= 1000
测试用例
示例1

java
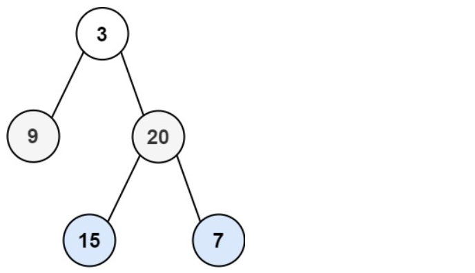
输入:root = [3,9,20,null,null,15,7]
输出:[[3],[9,20],[15,7]]
示例2
java
输入:root = [1]
输出:[[1]]
示例3
java
输入:root = []
输出:[]
题解
java
/**
* Definition for a binary tree node.
* public class TreeNode {
* int val;
* TreeNode left;
* TreeNode right;
* TreeNode() {}
* TreeNode(int val) { this.val = val; }
* TreeNode(int val, TreeNode left, TreeNode right) {
* this.val = val;
* this.left = left;
* this.right = right;
* }
* }
*/
class Solution {
public List<List<Integer>> levelOrder(TreeNode root) {
List<List<Integer>> res=new ArrayList<>();
if(root==null){
return res;
}
Queue<TreeNode> queue=new LinkedList<>();
queue.add(root);
while(!queue.isEmpty()){
int num=queue.size();
List<Integer> list=new ArrayList<>();
while(num--!=0){
TreeNode temp=queue.poll();
list.add(temp.val);
if(temp.left!=null)
queue.add(temp.left);
if(temp.right!=null)
queue.add(temp.right);
}
res.add(list);
}
return res;
}
}
思路
太简单了代码备注不想给,思路也不想写 = =