题目描述
给定一个单链表 L的头节点 head ,单链表 L 表示为:
L0 → L1 → … → Ln - 1 → Ln
请将其重新排列后变为:
L0 → Ln → L1 → Ln - 1 → L2 → Ln - 2 → …
不能只是单纯的改变节点内部的值,而是需要实际的进行节点交换。
示例 1:

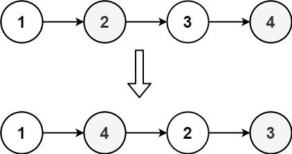
输入:head = [1,2,3,4]
输出:[1,4,2,3]
示例 2:

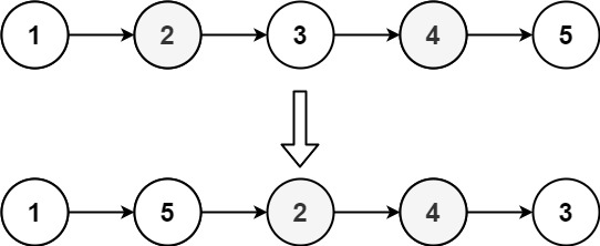
输入:head = [1,2,3,4,5]
输出:[1,5,2,4,3]
提示:
- 链表的长度范围为
[1, 5 * 104] 1 <= node.val <= 1000
解决方案:
这段代码的核心功能是重排单链表 (将链表调整为「原链表前半部分节点 + 后半部分反转后的节点」交替拼接的形式,比如原链表 1→2→3→4→5 变为 1→5→2→4→3,1→2→3→4 变为 1→4→2→3),通过「找中点 + 反转后半段 + 交替拼接」三步实现,时间复杂度 O(n)、空间复杂度 O(1),是该问题的最优解法。
核心逻辑
代码整合了 "找链表中点""反转链表" 两个基础操作,再通过双指针交替拼接完成重排,全程无额外空间开销:
- 第一步:找链表中点 :调用
midNode函数(快慢指针法)找到链表中间节点mid,将原链表拆分为前半段(head开头)和后半段(mid开头); - 第二步:反转后半段 :调用
reverseNode函数反转后半段链表,得到反转后的后半段头节点head2; - 第三步:交替拼接:用两个指针分别遍历前半段和反转后的后半段,逐个将后半段节点插入前半段节点之间,直到后半段只剩最后一个节点(避免链表成环),完成重排。
总结
- 核心思路:将重排问题拆解为 "找中点拆分 + 反转后半段 + 交替拼接" 三个基础链表操作,化繁为简;
- 关键细节:拼接时循环条件为
head2->next(而非head2),避免最后拼接导致链表闭环; - 效率优势:三步操作均为一次遍历,整体时间
O(n)、空间O(1),是重排链表的最优解法。
函数源码:
cpp/** * Definition for singly-linked list. * struct ListNode { * int val; * ListNode *next; * ListNode() : val(0), next(nullptr) {} * ListNode(int x) : val(x), next(nullptr) {} * ListNode(int x, ListNode *next) : val(x), next(next) {} * }; */ class Solution { public: //找中间结点------快慢指针 ListNode* midNode(ListNode* head){ ListNode* slow=head; ListNode* fast=head; while(fast && fast->next){ slow=slow->next; fast=fast->next->next; } return slow; } //反转链表 ListNode* reverseNode(ListNode* head){ ListNode* pre=nullptr; ListNode* cur=head; ListNode* nxt=nullptr; while(cur){ nxt=cur->next; cur->next=pre; pre=cur; cur=nxt; } return pre; } void reorderList(ListNode* head) { ListNode* mid =midNode(head); ListNode* head2=reverseNode(mid); ListNode* nxt=nullptr; ListNode* nxt2=nullptr; while(head2->next){ nxt=head->next; nxt2=head2->next; head->next=head2; head2->next=nxt; head=nxt; head2=nxt2; } } };