题目描述
给定一个二叉树的 根节点 root,想象自己站在它的右侧,按照从顶部到底部的顺序,返回从右侧所能看到的节点值。
示例 1:
**输入:**root = [1,2,3,null,5,null,4]
输出:[1,3,4]
解释:

示例 2:
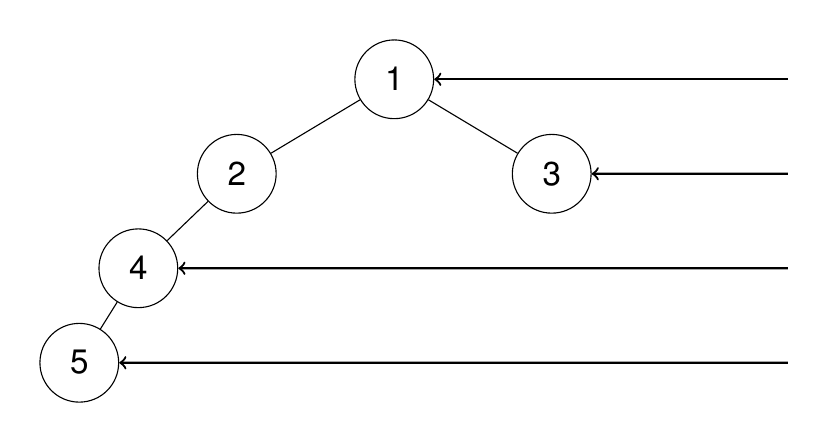
**输入:**root = [1,2,3,4,null,null,null,5]
输出:[1,3,4,5]
解释:

示例 3:
**输入:**root = [1,null,3]
输出:[1,3]
示例 4:
**输入:**root = []
输出:[]
提示:
- 二叉树的节点个数的范围是
[0,100] -100 <= Node.val <= 100
解决方案:
这段代码的核心功能是获取二叉树的右视图 (即从二叉树右侧观察能看到的节点值,按从上到下的顺序输出),采用「递归 + 前序遍历(优先访问右子树)」的思路,通过深度标记记录每一层的第一个(最右侧)节点,时间复杂度 O(n)(n 为节点数),空间复杂度 O(h)(h 为树的高度),是该问题的经典递归解法。
核心逻辑
代码的核心思路是 "优先遍历右子树,每一层只记录第一个访问到的节点(即最右侧节点)",通过深度和结果数组的长度关联来实现:
- 全局结果数组初始化 :定义
ans数组保存右视图节点值,初始为空; - 递归辅助函数
f:参数为当前节点node和当前深度depth:- 边界条件:若当前节点为空,直接返回;
- 深度更新:当前节点非空时,深度
+1(表示当前节点所在层); - 记录最右侧节点:若
ans数组的长度小于当前深度(说明该层还未记录任何节点),将当前节点值加入ans(因优先遍历右子树,这是该层第一个被访问的节点,即最右侧节点); - 优先递归右子树:先遍历当前节点的右子树,再遍历左子树(保证每一层先访问右节点);
- 主函数触发遍历 :调用
f(root, 0)(初始深度为 0,未访问任何节点),最终返回ans即为右视图结果。
总结
- 核心思路:利用 "优先遍历右子树 + 深度标记",让每一层的第一个节点就是最右侧节点,仅记录该节点即可;
- 关键细节:
ans.size() < depth是判断 "是否为该层第一个节点" 的核心条件,确保每一层只记录一个节点; - 效率特点:每个节点仅遍历一次,时间
O(n);递归栈空间取决于树的高度,平衡树为O(log n),退化为链表时为O(n)。
函数源码:
cpp/** * Definition for a binary tree node. * struct TreeNode { * int val; * TreeNode *left; * TreeNode *right; * TreeNode() : val(0), left(nullptr), right(nullptr) {} * TreeNode(int x) : val(x), left(nullptr), right(nullptr) {} * TreeNode(int x, TreeNode *left, TreeNode *right) : val(x), left(left), right(right) {} * }; */ class Solution { public: vector<int> ans={}; void f(TreeNode* node,int depth){ if(!node) return; depth+=1; if(ans.size()<depth){ ans.push_back(node->val); } f(node->right,depth); f(node->left,depth); } vector<int> rightSideView(TreeNode* root) { f(root,0); return ans; } };