中等
提示
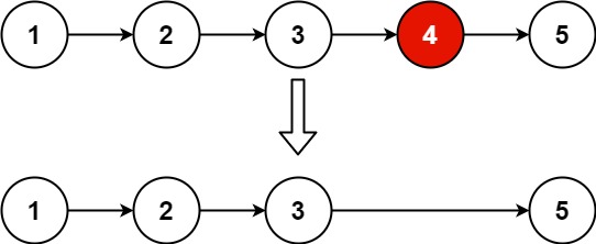
给你一个链表,删除链表的倒数第 n个结点,并且返回链表的头结点。
示例 1:

输入:head = [1,2,3,4,5], n = 2
输出:[1,2,3,5]
示例 2:
输入:head = [1], n = 1
输出:[]
示例 3:
输入:head = [1,2], n = 1
输出:[1]
提示:
- 链表中结点的数目为
sz 1 <= sz <= 300 <= Node.val <= 1001 <= n <= sz
**进阶:**你能尝试使用一趟扫描实现吗?
📝 核心笔记:删除链表的倒数第 N 个节点
1. 核心思想 (一句话总结)
"拿着一把长为 N+1 的尺子往后滑。"
让 right 指针先走N 步,保持 left 和 right 之间固定的距离。当 right 走到链表尽头时,left 恰好停在待删除节点的前一个位置(Pre-node)。
2. 为什么要用哨兵 (Dummy Node)?
- 统一逻辑 :如果要删除的是头节点 (倒数第 Length 个),没有 Dummy 的话需要单独写
if判断。 - 有了 Dummy,
left永远从 Dummy 开始,删除头节点就变成了"删除 Dummy 的下一个",逻辑完全一致。
3. 逻辑图解 (尺子平移)
假设删除倒数第 2 个 (n=2):
- 拉开间距 :
right先出发,走了n 步。 - 同步平移 :
left和right同时走,直到right到底。 - 定位 :此时
right在最后,left在待删除节点的前面 (Pre)。
4. 代码回忆清单 (带注释版)
// 题目:LC 19. 删除链表的倒数第 N 个结点
class Solution {
public ListNode removeNthFromEnd(ListNode head, int n) {
// 1. 哨兵节点 (关键!处理删除头节点的情况)
ListNode dummy = new ListNode(0, head);
ListNode left = dummy;
ListNode right = dummy; // 两人都从哨兵出发
// 2. 拉开间距 (Right 先走 n 步)
// 目标:让 right 和 left 之间隔着 n 个节点
while (n-- > 0) {
right = right.next;
}
// 3. 同步移动 (直到 Right 走到最后一个节点)
// 注意:这里是 right.next != null,让 right 停在尾节点
while (right.next != null) {
left = left.next;
right = right.next;
}
// 此时:
// right 在 尾巴
// left 在 待删除节点的前驱 (Pre)
// 4. 执行删除
left.next = left.next.next;
return dummy.next; // 返回哨兵的后面
}
}
⚡ 快速复习 CheckList (易错点)
-
\] **哨兵节点加了吗?**
-
- 必须加。
ListNode dummy = new ListNode(0, head);否则删头节点会报错。
- 必须加。
-
\] **Right 先走几步?**
-
- 走n 步。
-
\] **循环结束条件?**
-
while (right.next != null)。我们希望right停在最后一个有效节点,这样left刚好在待删节点的前一个。
-
\] **最后返回谁?**
-
return dummy.next。千万别返回head,因为head可能已经被删掉了。
🧠 场景联想
想象你手里拿了一根长棍子(长度 n)。
- 你把棍子的一头(Right)顶在链表的最末端。
- 棍子的另一头(Left)自然就指在了倒数第 n 个位置的前面。
- 直接切断,完事。