人脑中有很多相互连接的神经元,当大脑处理信息时,这些神经元之间通过电信号和化学物质相互作用,在大脑的不同区域之间传递信息。神经网络使用人工神经元模仿这种生物现象,这些人工神经元由称为节点的软件模块构成,使用数值计算来进行通信和传递信息。

一 神经网络介绍
人工神经网络(Artificial Neural Network,ANN)简称 神经网络(NN),是一种模仿生物神经网络结构和功能的计算模型。大多数情况下人工神经网络能在外界信息的基础上改变内部结构,是一种自适应系统(adaptive system),通俗地讲就是具备学习功能。

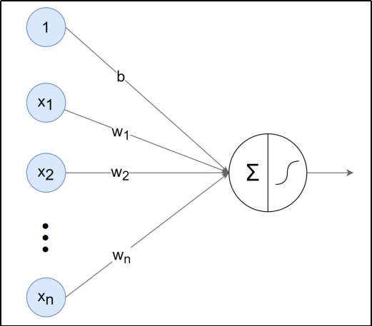
人工神经网络中的神经元,一般可以对多个输入进行加权求和,再经过特定的"激活函数"转换后输出。

使用多个神经元就可以构建多层神经网络,最左边的一列神经元都表示输入,称为 输入层 ;最右边一列表示网络的输出,称为 输出层 ;输入层与输出层之间的层统称为 中间层(隐藏层)。
相邻层的神经元相互连接(图中下一层每个神经元都与上一层所有神经元连接,称为 全连接 ),每个连接都会有一个 权重。
神经元中的信息逐层传递(一般称为 前向传播 forward),上一层神经元的输出作为下一层神经元的输入。
二 激活函数
2.1 感知机
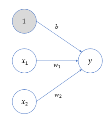
感知机(Perceptron)是二分类模型,接收多个信号,输出一个信号。感知机的信号只有0、1两种取值。
下图是一个接收两个输入信号的感知机的例子:

是输入信号,
是输出信号,
是权重,○ 称为神经元或节点。输入信号被送往神经元时,会分别乘以固定的权重。神经元会计算传送过来的信号的总和,只有当这个总和超过某个界限值时才会输出1,也称之为神经元被激活。

这里将界限的阈值设为0。除了权重之外,还可以增加一个参数,被称为 偏置。

感知机的多个输入信号都有各自的权重,这些权重发挥着控制各个信号的重要性的作用,权重越大,对应信号的重要性越高。偏置则可以用来控制神经元被激活的容易程度。
2.2 激活函数
2.2.1 引入介绍
可以看出,式(2.1)中包含了两步处理操作:首先按照输入各自的权重及偏置,计算出一个加权总和;然后再根据这个总和与阈值的大小关系,决定输出0还是1。
如果定义一个函数:
那么式(2.1)就可以简化为:

为了更明显地表示出两个处理步骤,可以进一步写成:
这里,我们将输入信号和偏置的加权总和,记作a。可以将输入信号的加权总和转换为输出信号,起到"激活神经元"的作用,所以被称为 激活函数。
激活函数是连接感知机和神经网络的桥梁,在神经网络中起着至关重要的作用。
如果没有激活函数,整个神经网络就等效于单层线性变换,不论如何加深层数,总是存在与之等效的"无隐藏层的神经网络"。激活函数必须是非线性函数,也正是激活函数的存在为神经网络引入了非线性,使得神经网络能够学习和表示复杂的非线性关系。
2.2.2 常用激活函数
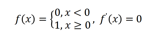
(1)阶越函数


代码实现:
def step_function(x):
if x > 0:
return 1
else:
return 0
这里的x只能取一个数值(浮点数)。如果我们希望直接传入Numpy数组进行批量化的操作,可以改进如下:
def step_function(x):
return np.array(x > 0, dtype=int)
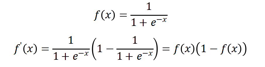
(2)Sigmoid函数


Sigmoid(也叫Logistic函数)是平滑的、可微的,能将任意输入映射到区间(0,1)。常用于二分类的输出层。但因其涉及指数运算,计算量相对较高。
Sigmoid的输入在[-6,6]之外时,其输出值变化很小,可能导致信息丢失。
Sigmoid的输出并非以0为中心,其输出值均>0,导致后续层的输入始终为正,可能影响后续梯度更新方向。
Sigmoid的导数范围为(0,0.25),梯度较小。当输入在[-6,6]之外时,导数接近0,此时网络参数的更新将会极其缓慢。使用Sigmoid作为激活函数,可能出现梯度消失(在逐层反向传播时,梯度会呈指数级衰减)。
Sigmoid函数可以用代码实现如下:
def sigmoid(x):
return 1 / (1 + np.exp(-x))
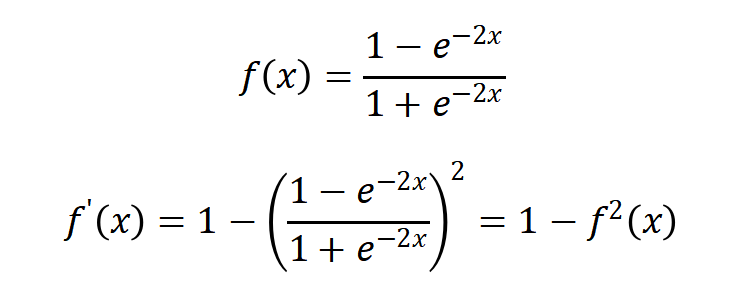
(3)Tanh函数


Tanh(双曲正切)将输入映射到区间(-1,1)。其关于原点中心对称。常用在隐藏层。
输入在[-3,3]之外时,Tanh的输出值变化很小,此时其导数接近0。
Tanh的输出以0为中心,且其梯度相较于Sigmoid更大,收敛速度相对更快。但同样也存在梯度消失现象。
(4)ReLU函数

ReLU(Rectified Linear Unit,修正线性单元)会将小于0的输入转换为0,大于等于0的输入则保持不变。ReLU定义简单,计算量小。常用于隐藏层。
ReLU作为激活函数不存在梯度消失。当输入小于0时,ReLU的输出为0,这意味着在神经网络中,ReLU激活的节点只有部分是"活跃"的,这种稀疏性有助于减少计算量和提高模型的效率。
当神经元的输入持续为负数时,ReLU的输出始终为0。这意味着神经元可能永远不会被激活,从而导致"神经元死亡"问题。这会影响模型的学习能力,特别是如果大量的神经元都变成了"死神经元"。为解决此问题,可使用Leaky ReLU来代替ReLU作为激活函数。

在负数区域引入一个小的斜率来解决"神经元死亡"问题。
ReLU函数可以用代码实现如下:
def relu(x):
return np.maximum(0, x)
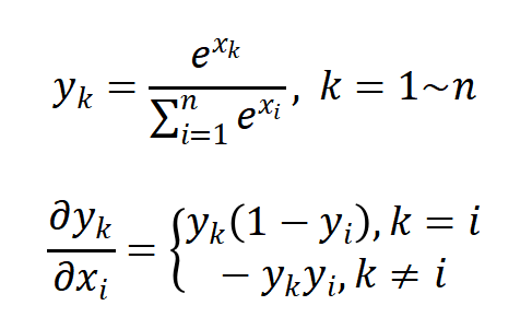
(5)Softmax函数

Softmax将一个任意的实数向量转换为一个概率分布,确保输出值的总和为1,是二分类激活函数Sigmoid在多分类上的推广。Softmax常用于多分类问题的输出层,用来表示类别的预测概率。
Softmax会放大输入中较大的值,使得最大输入值对应的输出概率较大,其他较小的值会被压缩。即在类别之间起到了一定的区分作用。

Softmax函数可以用代码实现如下:
def softmax(x):
return np.exp(x) / np.sum(np.exp(x))
考虑到x较大时,指数函数的值会非常大,容易溢出,可以改进为:
def softmax(x):
x = x - np.max(x) # 溢出对策
return np.exp(x) / np.sum(np.exp(x))
考虑到x为二维数组(矩阵)的情况,可以进一步写为:
def softmax(x):
if x.ndim == 2:
x = x.T
x = x - np.max(x, axis=0)
y = np.exp(x) / np.sum(np.exp(x), axis=0)
return y.T
x = x - np.max(x) # 溢出对策
return np.exp(x) / np.sum(np.exp(x))
(6)其他函数
① Identity(恒等函数)

②Leaky ReLU(Leaky Rectified Linear Unit)

③PReLU(Parametric Rectified Linear Unit)

④RReLU(Randomized Leaky ReLU)

⑤ELU(Exponential Linear Unit)


⑥Swish(也称Sigmoid Linear Unit,SiLU)


⑦softplus


2.2.3 如何选择
隐藏层
首选ReLU,如果效果不好可尝试Leaky ReLU等。
Sigmoid在隐藏层易导致梯度消失,应尽量避免。
Tanh的输出均值为0,对中心化数据更友好,但仍可能引发梯度消失,仅适用于浅层网络。
输出层
二分类选择Sigmoid。
多分类选择Softmax。
回归默认选择Identity。
三 信息传递过程

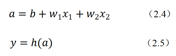
上面只是三层网络的示意图,实际上每层还应该有偏置,各输入信号加权总和还要经过激活函数的处理。接下来逐层进行分析,考察信号在各层之间传递的过程。
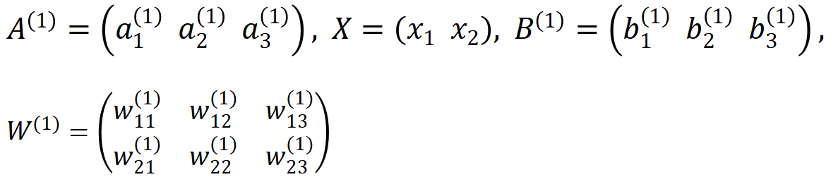
(1)输入层(第0层)→ 第1层

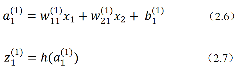
权重和神经元的上标(1)表示网络层号。而下标对于神经元来说,就是这一层内的"索引号";对于权重来说则包含两个数字,分别代表前一层和后一层神经元的索引号。所以,
就表示这是第1层的权重(输入层到第1层),并且是从第2个输入节点到第1层第1个节点。偏置的下标只有1个,因为前一层的偏置节点只有一个。
所以,可以利用式(2.4)(2.5)得到:
同样,对于第1层的第2个、第3个神经元,有:

我们可以直接写成矩阵乘法的形式: 
其中:
可以看到,由于有2个输入节点、3个第1层节点,所以全连接层的权重W就应该是一个2×3的矩阵。这样,我们就可以很容易地利用Numpy中的矩阵乘法计算出输出信号值了。
(2)第1层 → 第2层
第1层到第2层的处理类似,权重参数应该是一个3×2的矩阵。

(3)第2层 → 输出层(第3层)
第2层到输出层的处理也类似,权重参数为2×2的矩阵;不过输出层的激活函数一般与隐藏层是不同的,这里用 表示。

四 应用实战
简单神经网络实现
python
import numpy as np
from common.functions import sigmoid, identity_function
def init_network():
network = {}
network['W1'] = np.array([[0.1, 0.3, 0.5], [0.2, 0.4, 0.6]])
network['b1'] = np.array([0.1, 0.2, 0.3])
network['W2'] = np.array([[0.1, 0.4], [0.2, 0.5], [0.3, 0.6]])
network['b2'] = np.array([0.1, 0.2])
network['W3'] = np.array([[0.1, 0.3], [0.2, 0.4]])
network['b3'] = np.array([0.1, 0.2])
return network
def forward(network, x):
w1, w2, w3 = network['W1'], network['W2'], network['W3']
b1, b2, b3 = network['b1'], network['b2'], network['b3']
a1 = np.dot(x, w1) + b1
z1 = sigmoid(a1)
a2 = np.dot(z1, w2) + b2
z2 = sigmoid(a2)
a3 = np.dot(z2, w3) + b3
y = identity_function(a3)
return y
network = init_network()
x = np.array([1.0, 0.5])
y = forward(network, x)
print(y)
手写数字识别
我们依然使用Digit Recognizer数据集来进行手写数字识别:https://www.kaggle.com/competitions/digit-recognizer。
文件train.csv中包含手绘数字(从0到9)的灰度图像,每张图像为28×28像素,共784像素。每个像素有一个0到255的值表示该像素的亮度。
文件第1列为标签,之后784列分别为784个像素的亮度值。
我们的任务,就是要搭建一个神经网络,实现它的前向传播;也就是要根据输入的数据(28×28 = 784数据点表示的图像),推断出它到底是哪个数字,这个过程也被称为"推理"。
这里,我们构建的也是一个三层神经网络,输入层应该有784个神经元,输出层有10个神经元(表示0~9的分类结果);中间设置2个隐藏层,第一个隐藏层有50个神经元,第二个隐藏层有100个神经元。这里的参数是需要 学习 得到的。
python
import numpy as np
import pandas as pd
import matplotlib.pyplot as plt
from model import NeuralNetwork
plt.rcParams['font.sans-serif'] = ['SimHei']
plt.rcParams['axes.unicode_minus'] = False
def load_and_preprocess_data(csv_path):
"""
加载和预处理训练数据
"""
print("正在加载训练数据...")
data = pd.read_csv(csv_path)
# 分离特征和标签
labels = data['label'].values
pixels = data.drop('label', axis=1).values
# 数据归一化
pixels = pixels.astype('float32') / 255.0
print(f"数据加载完成: {len(labels)}个样本")
return pixels, labels
def split_data(X, y, test_size=0.2, random_state=42):
"""
分割训练集和验证集
"""
np.random.seed(random_state)
indices = np.random.permutation(len(X))
split_point = int(len(X) * (1 - test_size))
train_indices = indices[:split_point]
val_indices = indices[split_point:]
X_train, X_val = X[train_indices], X[val_indices]
y_train, y_val = y[train_indices], y[val_indices]
return X_train, X_val, y_train, y_val
def plot_training_history(history):
"""绘制训练历史"""
plt.figure(figsize=(12, 4))
plt.subplot(1, 2, 1)
plt.plot(history['train_loss'], label='训练损失')
plt.plot(history['val_loss'], label='验证损失')
plt.title('训练和验证损失')
plt.xlabel('迭代次数')
plt.ylabel('损失')
plt.legend()
plt.subplot(1, 2, 2)
plt.plot(history['train_accuracy'], label='训练准确率')
plt.plot(history['val_accuracy'], label='验证准确率')
plt.title('训练和验证准确率')
plt.xlabel('迭代次数')
plt.ylabel('准确率')
plt.legend()
plt.tight_layout()
plt.savefig('training_history.png')
plt.show()
def train_model():
"""主训练函数"""
print("=" * 60)
print("开始训练手写数字识别模型")
print("=" * 60)
# 1. 加载数据
csv_path = "E:\\实验报告\\深度学习\\课程内容\\data\\D_number\\D_train.csv"
try:
X, y = load_and_preprocess_data(csv_path)
except FileNotFoundError:
print(" 数据文件未找到,请检查路径")
return
# 2. 分割数据集
X_train, X_val, y_train, y_val = split_data(X, y, test_size=0.2)
print(f"训练集: {X_train.shape[0]} 个样本")
print(f"验证集: {X_val.shape[0]} 个样本")
# 3. 创建模型
model = NeuralNetwork(input_size=784, hidden1_size=50, hidden2_size=100, output_size=10)
# 4. 训练参数
epochs = 300
learning_rate = 0.01
batch_size = 32
# 存储训练历史
history = {
'train_loss': [], 'val_loss': [],
'train_accuracy': [], 'val_accuracy': []
}
print(f"\n 训练参数:")
print(f"迭代次数: {epochs}")
print(f"学习率: {learning_rate}")
print(f"批次大小: {batch_size}")
print("\n 开始训练...")
# 5. 训练循环
for epoch in range(epochs):
# 随机打乱训练数据
indices = np.random.permutation(len(X_train))
X_train_shuffled = X_train[indices]
y_train_shuffled = y_train[indices]
total_loss = 0
total_batches = 0
# 批次训练
for i in range(0, len(X_train), batch_size):
# 获取当前批次
X_batch = X_train_shuffled[i:i + batch_size]
y_batch = y_train_shuffled[i:i + batch_size]
# 前向传播
model.forward_propagation(X_batch)
# 计算损失
batch_loss = model.compute_loss(y_batch)
total_loss += batch_loss
total_batches += 1
# 反向传播
model.backward_propagation(X_batch, y_batch, learning_rate)
# 计算平均训练损失
avg_train_loss = total_loss / total_batches
# 验证集评估
model.forward_propagation(X_val)
val_loss = model.compute_loss(y_val)
train_accuracy = np.mean(model.predict(X_train) == y_train)
val_accuracy = np.mean(model.predict(X_val) == y_val)
# 记录历史
history['train_loss'].append(avg_train_loss)
history['val_loss'].append(val_loss)
history['train_accuracy'].append(train_accuracy)
history['val_accuracy'].append(val_accuracy)
# 每10个epoch打印一次进度
if (epoch + 1) % 10 == 0:
print(f"Epoch {epoch + 1}/{epochs} | "
f"训练损失: {avg_train_loss:.4f} | "
f"验证损失: {val_loss:.4f} | "
f"验证准确率: {val_accuracy:.4f}")
# 6. 绘制训练历史
plot_training_history(history)
# 7. 保存模型参数
model.save_parameters("nn_sample.npz")
# 8. 最终评估
final_train_accuracy = np.mean(model.predict(X_train) == y_train)
final_val_accuracy = np.mean(model.predict(X_val) == y_val)
print(f"\n 最终结果:")
print(f"训练集准确率: {final_train_accuracy:.4f} ({final_train_accuracy * 100:.2f}%)")
print(f"验证集准确率: {final_val_accuracy:.4f} ({final_val_accuracy * 100:.2f}%)")
print(f"训练完成!模型参数已保存为 'nn_sample.npz'")
if __name__ == "__main__":
train_model()
python
import numpy as np
import pandas as pd
import matplotlib.pyplot as plt
from model import NeuralNetwork
plt.rcParams['font.sans-serif'] = ['SimHei']
plt.rcParams['axes.unicode_minus'] = False
def load_and_preprocess_data(csv_path):
"""加载和预处理数据"""
print("正在加载数据...")
data = pd.read_csv(csv_path)
if 'label' in data.columns:
labels = data['label'].values
pixels = data.drop('label', axis=1).values
else:
# 测试集可能没有标签
labels = None
pixels = data.values
# 数据归一化
pixels = pixels.astype('float32') / 255.0
print(f"数据加载完成: {len(pixels)}个样本")
return pixels, labels
def visualize_sample(pixels, labels=None, index=0, prediction=None, confidence=None):
"""可视化手写数字样本"""
image = pixels[index].reshape(28, 28)
plt.figure(figsize=(6, 6))
plt.imshow(image, cmap='gray')
if labels is not None and prediction is not None:
title = f'真实: {labels[index]} | 预测: {prediction} | 置信度: {confidence:.3f}'
color = 'green' if labels[index] == prediction else 'red'
elif prediction is not None:
title = f'预测: {prediction} | 置信度: {confidence:.3f}'
color = 'blue'
else:
title = f'样本 {index}'
color = 'black'
plt.title(title, color=color, fontsize=12)
plt.axis('off')
plt.tight_layout()
plt.show()
def evaluate_model(model, X, y, sample_size=1000):
"""评估模型性能"""
if len(X) > sample_size:
indices = np.random.choice(len(X), sample_size, replace=False)
X_sample = X[indices]
y_sample = y[indices]
else:
X_sample = X
y_sample = y
predictions = model.predict(X_sample)
accuracy = np.mean(predictions == y_sample)
print(f"模型评估结果:")
print(f"样本数量: {len(X_sample)}")
print(f"准确率: {accuracy:.4f} ({accuracy * 100:.2f}%)")
# 显示混淆矩阵
print(f"\ 详细预测结果:")
print("索引 | 真实 | 预测 | 置信度 | 状态")
print("-" * 45)
for i in range(min(10, len(X_sample))):
pred, conf = model.predict_with_confidence(X_sample[i:i + 1])
status = "Right" if pred[0] == y_sample[i] else "Error"
print(f"{i:4d} | {y_sample[i]:4d} | {pred[0]:4d} | {conf[0]:.3f} | {status}")
return accuracy
def predict_single_digit(model, pixel_data):
"""预测单个数字"""
if len(pixel_data) == 784:
# 如果是扁平化的数据,重塑为(1, 784)
pixel_data = pixel_data.reshape(1, -1)
prediction, confidence = model.predict_with_confidence(pixel_data)
return prediction[0], confidence[0]
def main():
"""主推理函数"""
print("=" * 60)
print("手写数字识别 - 推理模式")
print("=" * 60)
# 1. 创建模型
model = NeuralNetwork()
# 2. 加载训练好的参数
param_file = "nn_sample.npz"
if not model.load_parameters(param_file):
print("无法加载模型参数,请先运行 train.py 进行训练")
return
# 3. 加载数据
csv_path = "E:\\实验报告\\深度学习\\课程内容\\data\\D_number\\D_test.csv"
try:
X, y = load_and_preprocess_data(csv_path)
except FileNotFoundError:
print("数据文件未找到")
# 可以在这里添加手动输入数字的功能
return
# 4. 交互式推理演示
while True:
print(f"\n 选择操作:")
print("1. 评估模型整体性能")
print("2. 查看单个样本预测")
print("3. 批量预测演示")
print("4. 退出")
choice = input("请输入选择 (1-4): ").strip()
if choice == '1':
# 整体评估
evaluate_model(model, X, y, sample_size=1000)
elif choice == '2':
# 单个样本预测
try:
index = int(input("请输入样本索引 (0-{}): ".format(len(X) - 1)))
if 0 <= index < len(X):
prediction, confidence = model.predict_with_confidence(X[index:index + 1])
visualize_sample(X, y, index, prediction[0], confidence[0])
print(f"\n 预测详情:")
print(f"样本索引: {index}")
print(f"预测数字: {prediction[0]}")
print(f"置信度: {confidence[0]:.3f}")
else:
print("索引超出范围")
except ValueError:
print("请输入有效数字")
elif choice == '3':
# 批量演示
print(f"\n 批量预测演示 :")
for i in range(5):
prediction, confidence = model.predict_with_confidence(X[i:i + 1])
print(f"样本 {i}: 预测={prediction[0]}, 置信度={confidence[0]:.3f}")
elif choice == '4':
print("再见!")
break
else:
print("无效选择,请重新输入")
if __name__ == "__main__":
main()
python
import numpy as np
class NeuralNetwork:
"""
三层神经网络模型类
结构: 输入层(784) → 隐藏层1(50) → 隐藏层2(100) → 输出层(10)
"""
def __init__(self, input_size=784, hidden1_size=50, hidden2_size=100, output_size=10):
"""
初始化神经网络
参数:
- input_size: 输入层大小 (28x28=784)
- hidden1_size: 第一隐藏层大小
- hidden2_size: 第二隐藏层大小
- output_size: 输出层大小 (10个数字类别)
"""
self.input_size = input_size
self.hidden1_size = hidden1_size
self.hidden2_size = hidden2_size
self.output_size = output_size
# 参数字典
self.params = {}
self._initialize_parameters()
def _initialize_parameters(self, initialization='xavier'):
"""
初始化网络参数
参数:
- initialization: 初始化方法 ('xavier' 或 'random')
"""
if initialization == 'xavier':
# Xavier初始化,有助于训练稳定性
self.params['W1'] = np.random.randn(self.input_size, self.hidden1_size) * np.sqrt(1. / self.input_size)
self.params['W2'] = np.random.randn(self.hidden1_size, self.hidden2_size) * np.sqrt(1. / self.hidden1_size)
self.params['W3'] = np.random.randn(self.hidden2_size, self.output_size) * np.sqrt(1. / self.hidden2_size)
else:
# 随机初始化
self.params['W1'] = np.random.randn(self.input_size, self.hidden1_size) * 0.01
self.params['W2'] = np.random.randn(self.hidden1_size, self.hidden2_size) * 0.01
self.params['W3'] = np.random.randn(self.hidden2_size, self.output_size) * 0.01
# 偏置初始化为0
self.params['b1'] = np.zeros((1, self.hidden1_size))
self.params['b2'] = np.zeros((1, self.hidden2_size))
self.params['b3'] = np.zeros((1, self.output_size))
def relu(self, x):
"""ReLU激活函数"""
return np.maximum(0, x)
def relu_derivative(self, x):
"""ReLU导数,用于反向传播"""
return (x > 0).astype(float)
def softmax(self, x):
"""Softmax函数"""
# 数值稳定性处理
exp_x = np.exp(x - np.max(x, axis=1, keepdims=True))
return exp_x / np.sum(exp_x, axis=1, keepdims=True)
def forward_propagation(self, X):
"""
前向传播
参数:
- X: 输入数据 (n_samples, 784)
返回:
- 输出层概率分布 (n_samples, 10)
"""
# 输入层 → 隐藏层1
self.z1 = np.dot(X, self.params['W1']) + self.params['b1']
self.a1 = self.relu(self.z1)
# 隐藏层1 → 隐藏层2
self.z2 = np.dot(self.a1, self.params['W2']) + self.params['b2']
self.a2 = self.relu(self.z2)
# 隐藏层2 → 输出层
self.z3 = np.dot(self.a2, self.params['W3']) + self.params['b3']
self.a3 = self.softmax(self.z3)
return self.a3
def backward_propagation(self, X, y, learning_rate=0.01):
"""
反向传播(用于训练)
参数:
- X: 输入数据
- y: 真实标签
- learning_rate: 学习率
"""
m = X.shape[0] # 样本数量
# 将标签转换为one-hot编码
y_one_hot = np.eye(self.output_size)[y]
# 计算输出层误差
dz3 = self.a3 - y_one_hot
dw3 = np.dot(self.a2.T, dz3) / m
db3 = np.sum(dz3, axis=0, keepdims=True) / m
# 计算隐藏层2误差
dz2 = np.dot(dz3, self.params['W3'].T) * self.relu_derivative(self.z2)
dw2 = np.dot(self.a1.T, dz2) / m
db2 = np.sum(dz2, axis=0, keepdims=True) / m
# 计算隐藏层1误差
dz1 = np.dot(dz2, self.params['W2'].T) * self.relu_derivative(self.z1)
dw1 = np.dot(X.T, dz1) / m
db1 = np.sum(dz1, axis=0, keepdims=True) / m
# 更新参数
self.params['W3'] -= learning_rate * dw3
self.params['b3'] -= learning_rate * db3
self.params['W2'] -= learning_rate * dw2
self.params['b2'] -= learning_rate * db2
self.params['W1'] -= learning_rate * dw1
self.params['b1'] -= learning_rate * db1
def compute_loss(self, y_true):
"""计算交叉熵损失"""
y_one_hot = np.eye(self.output_size)[y_true]
# 避免log(0)的情况
epsilon = 1e-15
a3_clipped = np.clip(self.a3, epsilon, 1. - epsilon)
loss = -np.mean(np.sum(y_one_hot * np.log(a3_clipped), axis=1))
return loss
def predict(self, X):
"""预测数字类别"""
probabilities = self.forward_propagation(X)
return np.argmax(probabilities, axis=1)
def predict_with_confidence(self, X):
"""预测数字类别及置信度"""
probabilities = self.forward_propagation(X)
predictions = np.argmax(probabilities, axis=1)
confidences = np.max(probabilities, axis=1)
return predictions, confidences
def save_parameters(self, file_path):
"""保存模型参数到文件"""
np.savez(file_path,
W1=self.params['W1'], b1=self.params['b1'],
W2=self.params['W2'], b2=self.params['b2'],
W3=self.params['W3'], b3=self.params['b3'])
print(f"模型参数已保存到: {file_path}")
def load_parameters(self, file_path):
"""从文件加载模型参数"""
try:
loaded_params = np.load(file_path)
self.params = {
'W1': loaded_params['W1'],
'b1': loaded_params['b1'],
'W2': loaded_params['W2'],
'b2': loaded_params['b2'],
'W3': loaded_params['W3'],
'b3': loaded_params['b3']
}
print(f"模型参数已从 {file_path} 加载")
return True
except FileNotFoundError:
print(f"参数文件 {file_path} 未找到")
return False
except Exception as e:
print(f"加载参数时出错: {e}")
return False
训练与预测结果


2026.01.23