大学院-筆記試験練習:线性代数和数据结构(16)
1-前言
为了升到自己目标的大学院,所作的努力和学习,这里是线性代数和数据结构部分。

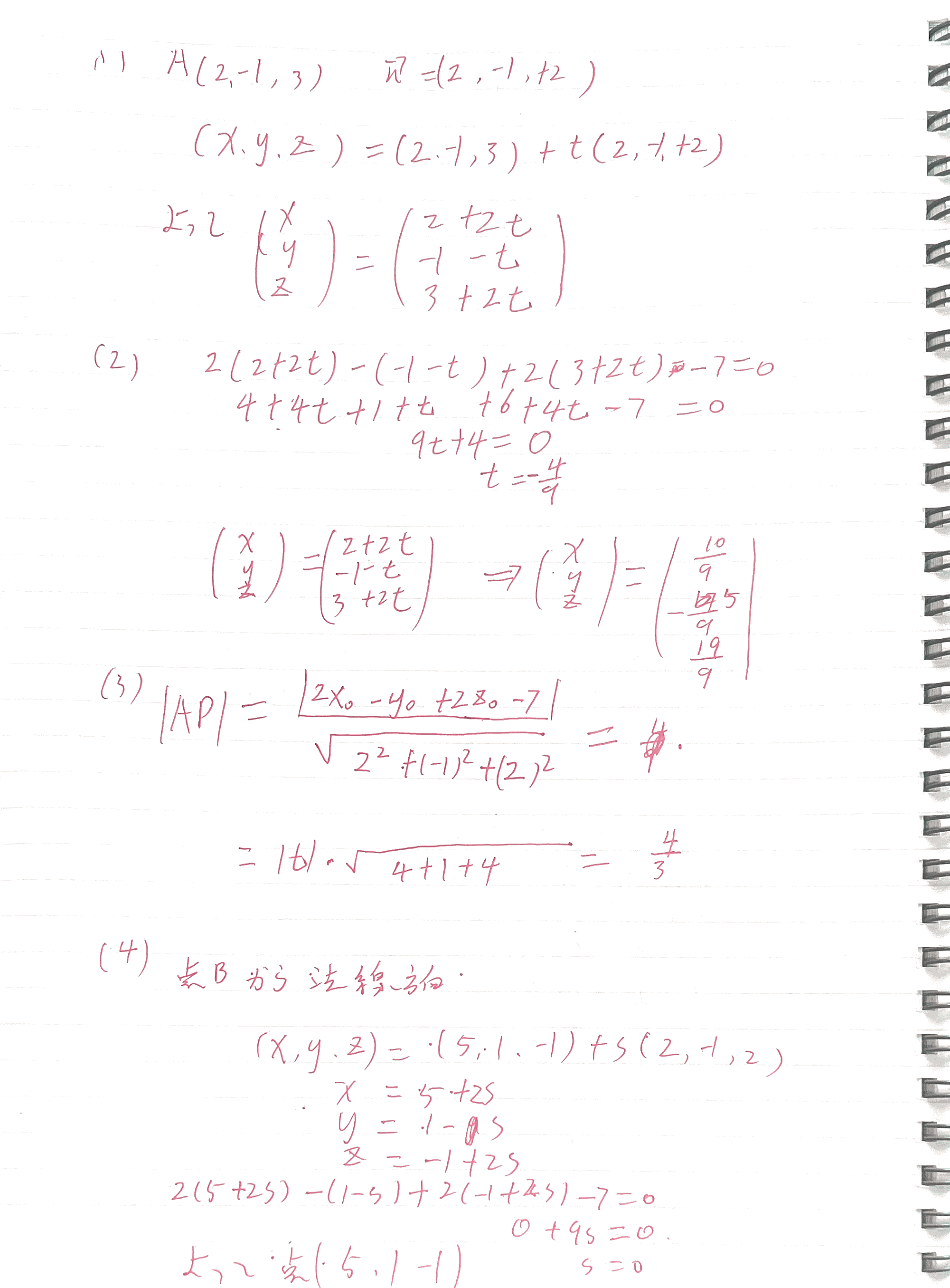
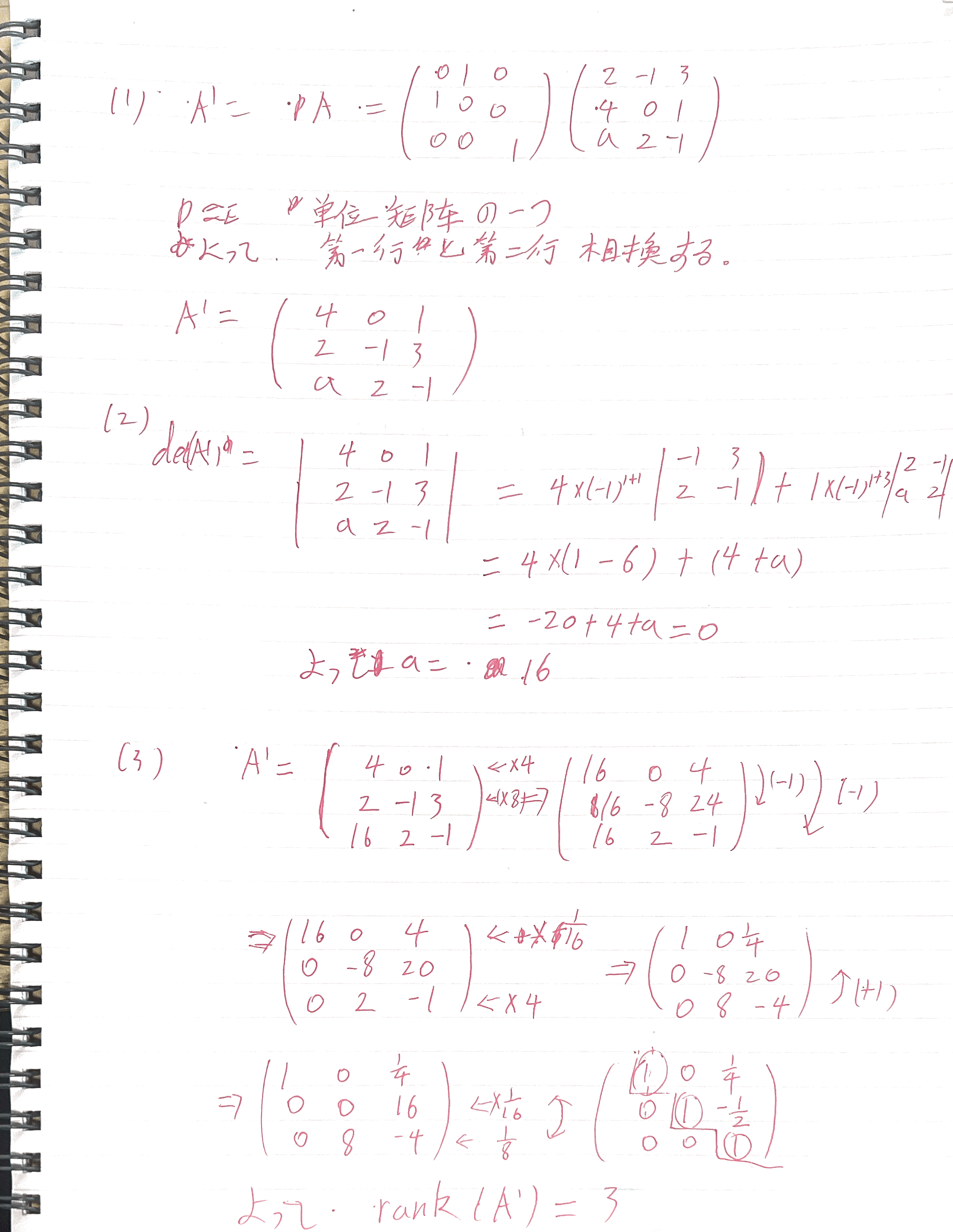
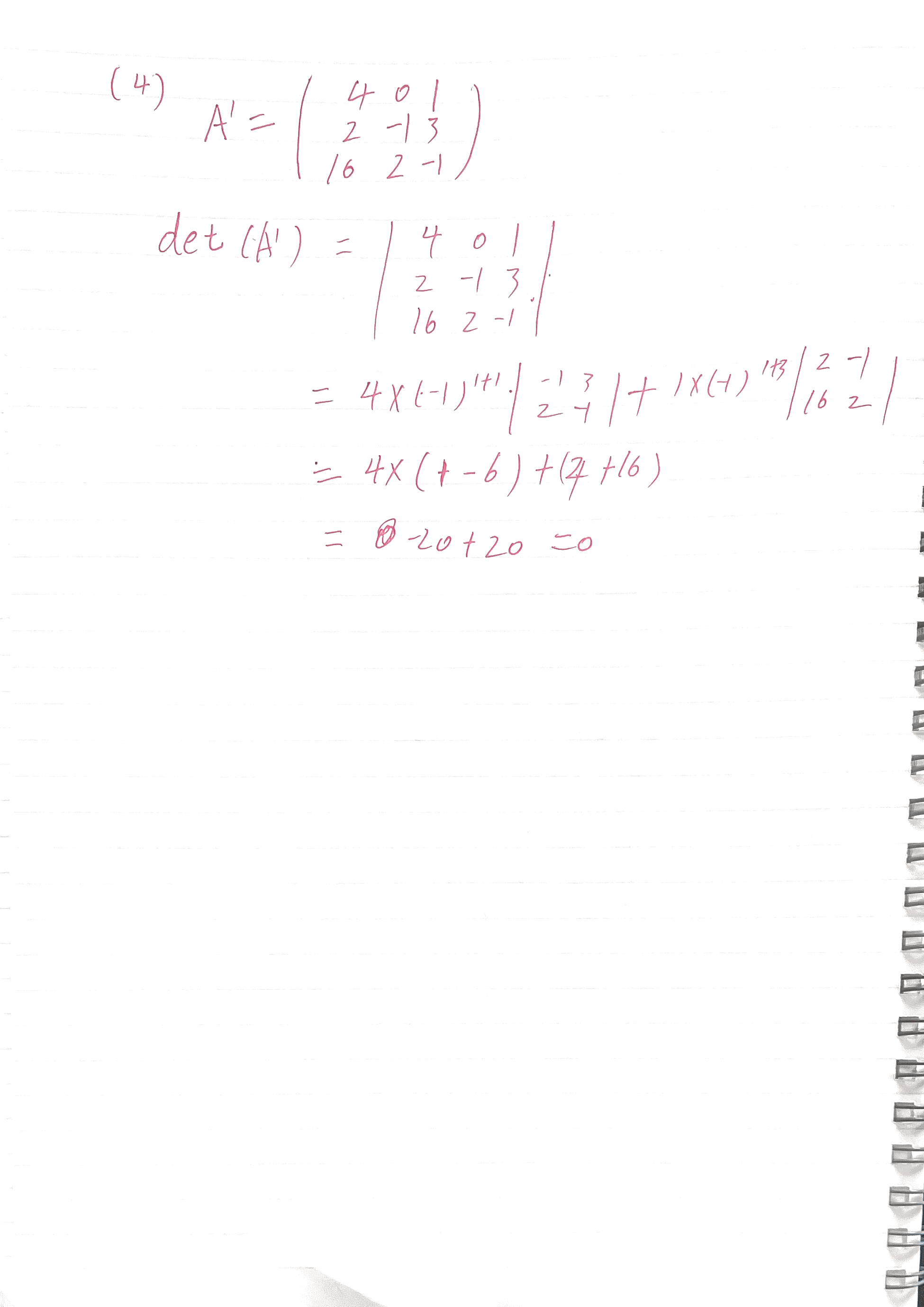
2-线性代数-题目

3-线性代数-参考答案




4-数据结构-题目


5-数据结构-参考答案
中文解释(题意)
(1) 把数列 (S={8,3,10,1,6,14,4}) 按顺序一个个用 insert 插入到二分搜索树(BST)里,画出最后生成的BST结构。
(2) 对(1)得到的树,从根开始执行 visit。注意这份 visit 是:
先输出当前节点 → 再访问左子树 → 再访问右子树 (也就是先序遍历),把输出顺序写出来。
(3) 如果输入数列本来就是升序 (例如 1,2,3,...),BST会退化成"单链条"。问此时插入(构建整棵树)的最坏时间复杂度用 (n) 的大O表示。
(4) 把(1)得到的BST通过AVL的旋转操作调整,使得任意节点左右子树高度差≤1。画出旋转后的树。(有可能不需要旋转,这是常见陷阱)
日语答案
(1)
数列 (S={8,3,10,1,6,14,4}) を先頭から順に挿入すると,最終的な二分探索木は次のとおり。
8
/ \
3 10
/ \ \
1 6 14
/
4
(2)
visit は「自分→左→右」の順(先行順)で出力するので,表示順は
8,\\ 3,\\ 1,\\ 6,\\ 4,\\ 10,\\ 14
(3)
数列が昇順に整列されている場合,木は片側に偏り,高さが (n) となる。
このとき挿入を n 回行う最悪時間計算量は
O(n\^2)
(4)
(1)で得られた木について,各頂点の左右部分木の高さ差はすべて 1 以下である。
よって 回転操作は不要であり,回転後の木構造も(1)と同じである。
8
/ \
3 10
/ \ \
1 6 14
/
4
中文说明(题意)
(1) 如果图用邻接矩阵表示,判断"两个顶点是否相邻(有没有边)"要看矩阵某个格子,问时间复杂度。
(2) 如果图用邻接表表示,存储整张图需要多少空间?用 (|V|=n, |E|=m) 表示。
(3) 从顶点1开始跑BFS,写出所有顶点的访问顺序 。并且:若某顶点的邻接点有多个,要按顶点编号升序依次处理。
(4) BFS运行过程中,队列Q里最多可能同时放多少个元素?用 (n) 的大O表示(上界)。
(5) 要把这个BFS改成DFS,需要把"队列相关处理"改成什么?(本质:FIFO→LIFO,或递归)
日语答案(立命馆写法)
(1)
隣接行列では,頂点 (u,v) が隣接しているかの判定は,行列の要素 (A[u][v]) を 1 回参照すればよい。
したがって時間計算量は (O(1)) である。
(2)
隣接リストでは,各頂点ごとのリスト(頂点分)と,各辺に対応する要素(辺分)を保持する。
よって空間計算量は (O(n+m)) である。
(3)
(※この設問は本来「図のグラフ」が必要です)
頂点 1 を始点として BFS を行い,隣接頂点が複数ある場合は頂点番号の昇順に探索する。
(訪問順は,グラフの辺の向きと隣接関係に依存するため,図のグラフが与えられた場合にそれに従って列挙する。)
もし「図1のグラフ(頂点と矢印)」を送ってくれれば,その図に対して訪問順を一発で確定して書ける。
(4)
キュー Q に格納されうる要素数の最大値は,最悪でも頂点数を超えない。
したがって (O(n)) である。
(5)
BFS を DFS に変更するには,探索に用いるデータ構造を キュー(FIFO)からスタック(LIFO)に変更 すればよい。
すなわち,ENQUEUE/DEQUEUE を PUSH/POP に置き換える(または再帰呼び出しによりスタックを暗黙的に用いる)。
6-总结
训练成长。!!