一、题目解析

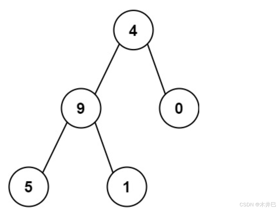
从根节点出发到各个叶结点的路径如下:
- 4 ------> 9 ------> 5
- 4 ------> 9 ------> 1
- 4 ------> 0
每条路径的值组成一个数字,那么三条路径组成的数字分别是:
495,491,40
将这三个数字相加就是最终结果:
495 + 491 + 40 = 1026
二、算法原理
看到二叉树,就说明可以使用递归来解决。
对于每一个节点,我们可以将它们看作:从本身出发到各个叶节点的所有路径组成的数字之和。
比如节点4,从这个节点出发到各个叶节点的路径组成的数字分别是495、491和40,

又比如节点9,从这个节点出发到各个叶节点的路径组成的数字分别是95和91:

再加上前面的路径数字(4)就是:495和491
对于叶子节点比如5节点、1节点和0节点,它们不存在左右子节点,因此只需要根据前面路径的数字计算出新的路径数字即可。
比如5节点,它根据前面路径数字(49)计算的新的路径数字是:495
1节点根据前面路径数字(49)计算的新路径数字是:491
0节点根据前面路径数字(4)计算的新路径数字是:40
所以这就是重复的子问题,在递归的时候需要知道前面路径组成的数字,因此需要有一个记录路径数字的参数,同时要有一个根节点作为参数(树递归的必要条件),故函数头我们可以设计成:返回值是路径数字类型(即 int),函数的参数有两个,分别是根节点和路径数字:
int dfs(TreeNode root, int num);
每一个子问题的具体工作如下:
- 需要根据前面的路径所组成的数字计算出新的路径数字,
- 接着将这个新的路径数字作为参数传给左右子节点,这样进行递归,
- 最后接收左右子树返回的路径数字,相加、返回。
当遇到叶节点时,不再需要递归,只需要计算出新的路径数字,然后返回这个路径数字即可。
需要注意的细节问题:
- 在判断函数出口之前先计算数字
- 由于节点的左子节点/右子节点可能为空,需要在递归之前进行判空
三、代码实现
根据算法原理,模拟走一遍的过程:

代码如下:
Java
class Solution {
public int sumNumbers(TreeNode root) {
return dfs(root, 0);
}
public int dfs(TreeNode root, int num) {
// 根据前面路径的数字计算新的路径数字
num = num * 10 + root.val;
// 判断递归出口
if (root.left == null && root.right == null) return num;
// 递归(注意判空)
int ret = 0;
if (root.left != null) ret += dfs(root.left, num);
if (root.right != null) ret += dfs(root.right, num);
// 返回结果
return ret;
}
}
完