目录
上一节学习中我们导入了大量数据到elasticsearch中,实现了商品数据的存储。不过查询商品数据时依然采用的是根据id查询,而非模糊搜索。
所以本节将来学习elasticsearch的数据搜索功能。Elasticsearch提供了基于JSON的DSL语句来定义查询条件,其JavaAPI就是在组织DSL条件。
因此,我们先学习DSL的查询语法,然后再基于DSL来对照学习JavaAPI。
一、DSL查询
Elasticsearch的查询可以分为两大类:
叶子查询:一般是在特定的字段里查询特定值,属于简单查询,很少单独使用。
复合查询:以逻辑方式组合多个叶子查询或者更改叶子查询的行为方式。
1、叶子查询
叶子查询包含很多种类型,这里列举一些常见的,例如:
全文检索查询:利用分词器对用户输入搜索条件先分词,得到词条,然后再利用倒排索引搜索词条。例如:
match
multi_match精确查询:不对用户输入搜索条件分词,根据字段内容精确值匹配。但只能查找keyword、数值、日期、boolean类型的字段。例如:
ids
term
range地理坐标查询 **:**用于搜索地理位置,搜索方式很多,例如:
geo_bounding_box:按矩形搜索
geo_distance:按点和半径搜索......
(1)全文检索查询
【1】match
仅在++字段名++ 中检索++搜索条件++
GET /{索引库名}/_search { "query": { "match": { "字段名": "搜索条件" } } }仅在name字段检索"华为荣耀"
【2】multi_match
可以同时对多个字段搜索,而且多个字段满足其中任意都会被搜索出。
GET /{索引库名}/_search { "query": { "multi_match": { "query": "搜索条件", "fields": ["字段1", "字段2"] } } }同时在
name和brand两个字段中搜索"华为"(2)精确查询
精确查询,词条级别的查询。也就是说不会对用户输入的搜索条件再分词,而是作为一个词条,与搜索的字段内容精确值匹配。因此推荐查找
keyword、数值、日期、boolean类型的字段。例如:
id
price
城市
地名
人名
等等,作为一个整体才有含义的字段。
【1】term
GET /{索引库名}/_search { "query": { "term": { "字段名": { "value": "搜索条件" } } } }当输入的搜索条件不是词条,而是短语时,由于不做分词,反而搜索不到:
【2】range
GET /{索引库名}/_search { "query": { "range": { "字段名": { "gte": {最小值}, "lte": {最大值} } } } }
range是范围查询,对于范围筛选的关键字有:
gte:大于等于
gt:大于
lte:小于等于
lt:小于
2、复合查询
复合查询大致可以分为两类:
第一类:基于逻辑运算组合叶子查询,实现组合条件,例如
- bool
第二类:基于某种算法修改查询时的文档相关性算分,从而改变文档排名。例如:
function_score
dis_max
(1)算分函数查询
当我们利用match查询时,文档结果会根据与搜索词条的关联度打分 (_score),返回结果时按照分值降序排列。
例如,搜索 "手机",结果如下:
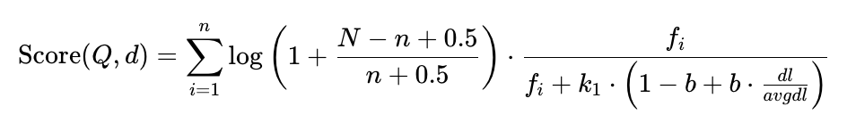
从elasticsearch5.1开始,采用的相关性打分算法是BM25算法,公式如下:
基于这套公式,就可以判断出某个文档与用户搜索的关键字之间的关联度,还是比较准确的。但是,在实际业务需求中,常常会有竞价排名的功能。不是相关度越高排名越靠前,而是掏的钱多的排名靠前。
例如在百度中搜索蛋糕预定,排名靠前的就是广告推广:
要想认为控制相关性算分,就需要利用elasticsearch中的function score 查询了。
基本语法:
function score 查询中包含四部分内容:
原始查询 条件:query部分,基于这个条件搜索文档,并且基于BM25算法给文档打分,原始算分 (query score)
过滤条件:filter部分,符合该条件的文档才会重新算分
算分函数 :符合filter条件的文档要根据这个函数做运算,得到的函数算分 (function score),有四种函数
weight:函数结果是常量
field_value_factor:以文档中的某个字段值作为函数结果
random_score:以随机数作为函数结果
script_score:自定义算分函数算法
运算模式:算分函数的结果、原始查询的相关性算分,两者之间的运算方式,包括:
multiply:相乘
replace:用function score替换query score
其它,例如:sum、avg、max、min
function score的运行流程如下:
根据原始条件 查询搜索文档,并且计算相关性算分,称为原始算分(query score)
根据过滤条件,过滤文档
符合过滤条件 的文档,基于算分函数 运算,得到函数算分(function score)
将原始算分 (query score)和函数算分 (function score)基于运算模式做运算,得到最终结果,作为相关性算分。
因此,其中的关键点是:
过滤条件:决定哪些文档的算分被修改
算分函数:决定函数算分的算法
运算模式:决定最终算分结果
举个例子:给IPhone这个品牌的手机算分提高十倍,分析如下:
过滤条件:品牌必须为IPhone
算分函数:常量weight,值为10
算分模式:相乘multiply
对应代码如下:
GET /hotel/_search { "query": { "function_score": { "query": { .... }, // 原始查询,可以是任意条件 "functions": [ // 算分函数 { "filter": { // 满足的条件,品牌必须是Iphone "term": { "brand": "Iphone" } }, "weight": 10 // 算分权重为2 } ], "boost_mode": "multipy" // 加权模式,求乘积 } } }(2)bool查询
bool查询即布尔查询。就是利用逻辑运算来组合一个或多个查询子句的组合。bool查询支持的逻辑运算有:
must:必须匹配每个子查询,类似"与"
should:选择性匹配子查询,类似"或"
must_not:必须不匹配,不参与算分,类似"非"
filter:必须匹配,不参与算分
bool查询的语法如下:
GET /items/_search { "query": { "bool": { "must": [ {"match": {"name": "手机"}} ], "should": [ {"term": {"brand": { "value": "vivo" }}}, {"term": {"brand": { "value": "小米" }}} ], "must_not": [ {"range": {"price": {"gte": 2500}}} # 表示价格必须不超过2500 ], "filter": [ {"range": {"price": {"lte": 1000}}} # 表示价格必须大于等于1000 ] } } }出于性能考虑,与搜索关键字无关的查询尽量采用must_not或filter逻辑运算,避免参与相关性算分。
例如黑马商城的搜索页面:
其中输入框的搜索条件肯定要参与相关性算分,可以采用match。但是价格范围过滤、品牌过滤、分类过滤等尽量采用filter,不要参与相关性算分。
比如,我们要搜索
手机,但品牌必须是华为,价格必须是900~1599,那么可以这样写:
GET /items/_search { "query": { "bool": { "must": [ {"match": {"name": "手机"}} ], "filter": [ {"term": {"brand": { "value": "华为" }}}, {"range": {"price": {"gte": 90000, "lt": 159900}}} ] } } }
3、排序
elasticsearch默认是根据相关度算分(
_score)来排序,但是也支持自定义方式对搜索结果排序。不过分词字段无法排序,能参与排序字段类型有:keyword类型、数值类型、地理坐标类型、日期类型等。
GET /indexName/_search { "query": { "match_all": {} }, "sort": [ { "排序字段": { "order": "排序方式asc和desc" } } ] }举个例子,按照商品价格排序:
GET /items/_search { "query": { "match_all": {} }, "sort": [ { "price": { "order": "desc" } } ] }
4、分页
elasticsearch 默认情况下只返回top10的数据。而如果要查询更多数据就需要修改分页参数了。
(1)基础分页
elasticsearch中通过修改
from、size参数来控制要返回的分页结果:
from:从第几个文档开始
size:总共查询几个文档类似于mysql中的
limit ?, ?
GET /items/_search { "query": { "match_all": {} }, "from": 0, // 分页开始的位置,默认为0 "size": 10, // 每页文档数量,默认10 "sort": [ { "price": { "order": "desc" } } ] }(2)深度分页
elasticsearch的数据一般会采用分片存储,也就是把一个索引中的数据分成N份,存储到不同节点上。这种存储方式比较有利于数据扩展,但给分页带来了一些麻烦。
比如一个索引库中有100000条数据,分别存储到4个分片,每个分片25000条数据。现在每页查询10条,查询第99页。那么分页查询的条件如下:
GET /items/_search { "from": 990, // 从第990条开始查询 "size": 10, // 每页查询10条 "sort": [ { "price": "asc" } ] }从语句来分析,要查询第990~1000名的数据。
从实现思路来分析,肯定是将所有数据排序,找出前1000名,截取其中的990~1000的部分。但问题来了,我们如何才能找到所有数据中的前1000名呢?
要知道每一片的数据都不一样,第1片上的第900~1000,在另一片上并不一定依然是900~1000名。所以我们只能在每一个分片上都找出排名前1000的数据,然后汇总到一起,重新排序,才能找出整个索引库中真正的前1000名,此时截取990~1000的数据即可。
试想一下,假如我们现在要查询的是第999页数据呢,是不是要找第9990~10000的数据,那岂不是需要把每个分片中的前10000名数据都查询出来,汇总在一起,在内存中排序?如果查询的分页深度更深呢,需要一次检索的数据岂不是更多? 由此可知,当查询分页深度较大时,汇总数据过多,对内存和CPU会产生非常大的压力。因此elasticsearch会禁止
from + size``超过10000的请求。针对深度分页,elasticsearch提供了两种解决方案:
search after:分页时需要排序,将上一页的最后一个数据的排序值作为查询下一页时的条件之一,加上此条件后,查询下一页就还是相当于在查【第一页】(在上一页之后的数据中的第一页)。官方推荐使用的方式。
scroll:原理将排序后的文档id形成快照,保存下来,基于快照做分页。官方已经不推荐使用。大多数情况下,我们采用普通分页就可以了。查看百度、京东等网站,会发现其分页都有限制。例如百度最多支持77页,每页不足20条。京东最多100页,每页最多60条。因此,一般我们采用限制分页深度的方式即可,无需实现深度分页。
5、高亮
什么是高亮显示呢?
我们在百度,京东搜索时,关键字会变成红色,比较醒目,这叫高亮显示:
观察页面源码,你会发现两件事情:
高亮词条都被加了
<em>标签
<em>标签都添加了红色样式css样式肯定是前端实现页面的时候写好的,但是前端编写页面的时候是不知道页面要展示什么数据的,不可能给数据加标签。而服务端实现搜索功能,要是有
elasticsearch做分词搜索,是知道哪些词条需要高亮的。因此词条的高亮标签肯定是由服务端提供数据的时候已经加上的。因此实现高亮的思路就是:
用户输入搜索关键字搜索数据
服务端根据搜索关键字到elasticsearch搜索,并给搜索结果中的关键字词条添加
html标签前端提前给约定好的
html标签添加CSS样式基本语法如下:
GET /{索引库名}/_search { "query": { "match": { "搜索字段": "搜索关键字" } }, "highlight": { "fields": { "高亮字段名称": { "pre_tags": "<em>", "post_tags": "</em>" } } } }❗️注意:
搜索必须有查询条件,而且是全文检索类型的查询条件,例如
match参与高亮的字段必须是
text类型的字段默认情况下参与高亮的字段要与搜索字段一致,除非添加:
required_field_match=false
总结
查询的DSL是一个大的JSON对象,包含下列属性:
query:查询条件
from和size:分页条件
sort:排序条件
highlight:高亮条件GET /items/_search
{
"query": {
"match": {
"name": "华为"
}
},
"from": 0,
"size": 20,
"sort": [
{ "price": "asc" }
],
"highlight": {
"fields": {
"name": {
"pre_tags": "",
"post_tags": ""
}
}
}
}
二、JavaRestClient实现查询
1、文档搜索格式
(1)发送请求
首先以
match_all查询为例,其DSL和JavaAPI的对比如图:代码解读:
第一步:创建
SearchRequest对象,指定索引库名第二步:利用
request.source()构建DSL,DSL中可以包含查询、分页、排序、高亮
request.source():构建DSL中的完整JSON参数。其中包含query、sort、from、size、highlight等。
QueryBuilders:其中包含各种叶子查询 、复合查询等。第三步:利用
client.search()发送请求,得到响应(2)解析响应结果
在发送请求以后,得到了响应结果
SearchResponse,这个类的结构与我们在kibana中看到的响应结果JSON结构完全一致:
{ "took" : 0, "timed_out" : false, "hits" : { "total" : { "value" : 2, "relation" : "eq" }, "max_score" : 1.0, "hits" : [ { "_index" : "heima", "_type" : "_doc", "_id" : "1", "_score" : 1.0, "_source" : { "info" : "Java讲师", "name" : "赵云" } } ] } }因此,解析
SearchResponse的代码就是在解析这个JSON结果,对比如下:代码解读:
elasticsearch返回的结果是一个JSON字符串,结构包含:
hits:命中的结果
total:总条数,其中的value是具体的总条数值
max_score:所有结果中得分最高的文档的相关性算分
hits:搜索结果的文档数组,其中的每个文档都是一个json对象
_source:文档中的原始数据,也是json对象(3)总结
文档搜索的基本步骤是:
创建
SearchRequest对象准备
request.source(),也就是DSL。
QueryBuilders来构建查询条件传入
request.source()的query()方法发送请求,得到结果
解析结果(参考JSON结果,从外到内,逐层解析)
完整代码如下:
java@Test void testMatchAll() throws IOException { // 1.创建Request SearchRequest request = new SearchRequest("items"); // 2.组织请求参数 request.source().query(QueryBuilders.matchAllQuery()); // 3.发送请求 SearchResponse response = client.search(request, RequestOptions.DEFAULT); // 4.解析响应 handleResponse(response); } private void handleResponse(SearchResponse response) { SearchHits searchHits = response.getHits(); // 1.获取总条数 long total = searchHits.getTotalHits().value; System.out.println("共搜索到" + total + "条数据"); // 2.遍历结果数组 SearchHit[] hits = searchHits.getHits(); for (SearchHit hit : hits) { // 3.得到_source,也就是原始json文档 String source = hit.getSourceAsString(); // 4.反序列化并打印 ItemDoc item = JSONUtil.toBean(source, ItemDoc.class); System.out.println(item); } }
2、叶子查询
【1】match查询:
java@Test void testMatch() throws IOException { // 1.创建Request SearchRequest request = new SearchRequest("items"); // 2.组织请求参数 request.source().query(QueryBuilders.matchQuery("name", "脱脂牛奶")); // 3.发送请求 SearchResponse response = client.search(request, RequestOptions.DEFAULT); // 4.解析响应 handleResponse(response); }
【2】multi_match查询:
java@Test void testMultiMatch() throws IOException { // 1.创建Request SearchRequest request = new SearchRequest("items"); // 2.组织请求参数 request.source().query(QueryBuilders.multiMatchQuery("脱脂牛奶", "name", "category")); // 3.发送请求 SearchResponse response = client.search(request, RequestOptions.DEFAULT); // 4.解析响应 handleResponse(response); }
【3】range查询:
java@Test void testRange() throws IOException { // 1.创建Request SearchRequest request = new SearchRequest("items"); // 2.组织请求参数 request.source().query(QueryBuilders.rangeQuery("price").gte(10000).lte(30000)); // 3.发送请求 SearchResponse response = client.search(request, RequestOptions.DEFAULT); // 4.解析响应 handleResponse(response); }
【4】term查询:
java@Test void testTerm() throws IOException { // 1.创建Request SearchRequest request = new SearchRequest("items"); // 2.组织请求参数 request.source().query(QueryBuilders.termQuery("brand", "华为")); // 3.发送请求 SearchResponse response = client.search(request, RequestOptions.DEFAULT); // 4.解析响应 handleResponse(response); }
3、复合查询
bool查询:
java@Test void testBool() throws IOException { // 1.创建Request SearchRequest request = new SearchRequest("items"); // 2.组织请求参数 // 2.1.准备bool查询 BoolQueryBuilder bool = QueryBuilders.boolQuery(); // 2.2.关键字搜索 bool.must(QueryBuilders.matchQuery("name", "脱脂牛奶")); // 2.3.品牌过滤 bool.filter(QueryBuilders.termQuery("brand", "德亚")); // 2.4.价格过滤 bool.filter(QueryBuilders.rangeQuery("price").lte(30000)); request.source().query(bool); // 3.发送请求 SearchResponse response = client.search(request, RequestOptions.DEFAULT); // 4.解析响应 handleResponse(response); }
4、排序和分页
java@Test void testPageAndSort() throws IOException { int pageNo = 1, pageSize = 5; // 1.创建Request SearchRequest request = new SearchRequest("items"); // 2.组织请求参数 // 2.1.搜索条件参数 request.source().query(QueryBuilders.matchQuery("name", "脱脂牛奶")); // 2.2.排序参数 request.source().sort("price", SortOrder.ASC); // 2.3.分页参数 request.source().from((pageNo - 1) * pageSize).size(pageSize); // 3.发送请求 SearchResponse response = client.search(request, RequestOptions.DEFAULT); // 4.解析响应 handleResponse(response); }
5、高亮
java@Test void testHighlight() throws IOException { // 1.创建Request SearchRequest request = new SearchRequest("items"); // 2.组织请求参数 // 2.1.query条件 request.source().query(QueryBuilders.matchQuery("name", "脱脂牛奶")); // 2.2.高亮条件 request.source().highlighter( SearchSourceBuilder.highlight() .field("name") .preTags("<em>") .postTags("</em>") ); // 3.发送请求 SearchResponse response = client.search(request, RequestOptions.DEFAULT); // 4.解析响应 handleResponse(response); }结果解析的文档解析部分不变,主要是高亮内容需要单独解析出来,其DSL和JavaAPI的对比如图:
6、解析结果函数handleResponse
javaprivate void handleResponse(SearchResponse response) { SearchHits searchHits = response.getHits(); // 1.获取总条数 long total = searchHits.getTotalHits().value; System.out.println("共搜索到" + total + "条数据"); // 2.遍历结果数组 SearchHit[] hits = searchHits.getHits(); for (SearchHit hit : hits) { // 3.得到_source,也就是原始json文档 String source = hit.getSourceAsString(); // 4.反序列化 ItemDoc item = JSONUtil.toBean(source, ItemDoc.class); // 5.获取高亮结果 Map<String, HighlightField> hfs = hit.getHighlightFields(); if (CollUtils.isNotEmpty(hfs)) { // 5.1.有高亮结果,获取name的高亮结果 HighlightField hf = hfs.get("name"); if (hf != null) { // 5.2.获取第一个高亮结果片段,就是商品名称的高亮值 String hfName = hf.getFragments()[0].string(); item.setName(hfName); } } System.out.println(item); } }
三、数据聚合
1、什么是聚合?
聚合(
aggregations)可以让我们极其方便的实现对数据的统计、分析、运算。例如:
什么品牌的手机最受欢迎?
这些手机的平均价格、最高价格、最低价格?
这些手机每月的销售情况如何?
实现这些统计功能的比数据库的sql要方便的多,而且查询速度非常快,可以实现近实时搜索效果。
聚合常见的有三类:
桶( Bucket ) 聚合:用来对文档做分组
TermAggregation:按照文档字段值分组,例如按照品牌值分组、按照国家分组
Date Histogram:按照日期阶梯分组,例如一周为一组,或者一月为一组度量( Metric ) 聚合:用以计算一些值,比如:最大值、最小值、平均值等
Avg:求平均值
Max:求最大值
Min:求最小值
Stats:同时求max、min、avg、sum等管道( pipeline ) 聚合:其它聚合的结果为基础做进一步运算
**注意:**参加聚合的字段必须是keyword、日期、数值、布尔类型
2、DSL实现聚合
(1)Bucket聚合
例如我们要统计所有商品中共有哪些商品分类,其实就是以分类(category)字段对数据分组。category值一样的放在同一组,属于
Bucket聚合中的Term聚合。
bashGET /items/_search { "size": 0, "aggs": { "category_agg": { "terms": { "field": "category", "size": 20 } } } }语法说明:
size:设置size为0,就是每页查0条,则结果中就不包含文档,只包含聚合
aggs:定义聚合
category_agg:聚合名称,自定义,但不能重复
terms:聚合的类型,按分类聚合,所以用term
field:参与聚合的字段名称
size:希望返回的聚合结果的最大数量查询结果:
(2)带条件的聚合
默认情况下,Bucket聚合是对索引库的所有文档做聚合,例如我们统计商品中所有的品牌,那么聚合统计出的品牌将会非常多。但真实场景下,用户会输入搜索条件,因此聚合必须是对搜索结果聚合。那么聚合必须添加限定条件。
例如,想知道价格高于3000元的手机品牌有哪些,该怎么统计呢?
我们需要从需求中分析出搜索查询的条件和聚合的目标:
搜索查询条件:
价格高于3000
必须是手机
聚合目标:统计的是品牌,肯定是对brand字段做term聚合
语法如下:
bashGET /items/_search { "query": { "bool": { "filter": [ { "term": { "category": "手机" } }, { "range": { "price": { "gte": 300000 } } } ] } }, "size": 0, "aggs": { "brand_agg": { "terms": { "field": "brand", "size": 20 } } } }聚合结果如下:
bash{ "took" : 2, "timed_out" : false, "hits" : { "total" : { "value" : 13, "relation" : "eq" }, "max_score" : null, "hits" : [ ] }, "aggregations" : { "brand_agg" : { "doc_count_error_upper_bound" : 0, "sum_other_doc_count" : 0, "buckets" : [ { "key" : "华为", "doc_count" : 7 }, { "key" : "Apple", "doc_count" : 5 }, { "key" : "小米", "doc_count" : 1 } ] } } }可以看到,结果中只剩下3个品牌了。
(3)Metric聚合
前面统计了价格高于3000的手机品牌,形成了一个个桶,现在需要对桶内的商品做运算,获取每个品牌价格的最小值、最大值、平均值。这就要用到
Metric聚合了,例如stat聚合,就可以同时获取min、max、avg等结果。语法如下:
bashGET /items/_search { "query": { "bool": { "filter": [ { "term": { "category": "手机" } }, { "range": { "price": { "gte": 300000 } } } ] } }, "size": 0, "aggs": { "brand_agg": { "terms": { "field": "brand", "size": 20 }, "aggs": { "stats_meric": { "stats": { "field": "price" } } } } } }语法说明:
可以看到我们在
brand_agg聚合的内部,我们新加了一个aggs参数。这个聚合就是brand_agg的子聚合,会对brand_agg形成的每个桶中的文档分别统计。
stats_meric:聚合名称
stats:聚合类型,stats是metric聚合的一种
field:聚合字段,这里选择price,统计价格由于stats是对brand_agg形成的每个品牌桶内文档分别做统计,因此每个品牌都会统计出自己的价格最小、最大、平均值。
结果如下:
另外还可以让聚合按照每个品牌的价格平均值排序:
(4)总结
aggs代表聚合,与query同级,此时query的作用是?
- 限定聚合的的文档范围
聚合必须的三要素:
聚合名称
聚合类型
聚合字段
聚合可配置属性有:
size:指定聚合结果数量
order:指定聚合结果排序方式
field:指定聚合字段
四、JavaRestClient实现查询
可以看到在DSL中,
aggs聚合条件与query条件是同一级别,都属于查询JSON参数。因此依然是利用request.source()方法来设置。不过聚合条件的要利用
AggregationBuilders这个工具类来构造。DSL与JavaAPI的语法对比如下:聚合结果与搜索文档同一级别,因此需要单独获取和解析。具体解析语法如下:
完整代码如下:
java@Test void testAgg() throws IOException { // 1.创建Request SearchRequest request = new SearchRequest("items"); // 2.准备请求参数 BoolQueryBuilder bool = QueryBuilders.boolQuery() .filter(QueryBuilders.termQuery("category", "手机")) .filter(QueryBuilders.rangeQuery("price").gte(300000)); request.source().query(bool).size(0); // 3.聚合参数 request.source().aggregation( AggregationBuilders.terms("brand_agg").field("brand").size(5) ); // 4.发送请求 SearchResponse response = client.search(request, RequestOptions.DEFAULT); // 5.解析聚合结果 Aggregations aggregations = response.getAggregations(); // 5.1.获取品牌聚合 Terms brandTerms = aggregations.get("brand_agg"); // 5.2.获取聚合中的桶 List<? extends Terms.Bucket> buckets = brandTerms.getBuckets(); // 5.3.遍历桶内数据 for (Terms.Bucket bucket : buckets) { // 5.4.获取桶内key String brand = bucket.getKeyAsString(); System.out.print("brand = " + brand); long count = bucket.getDocCount(); System.out.println("; count = " + count); } }





















