给定一个 无重复元素 的整数数组 preorder , 如果它是以二叉搜索树的先序遍历排列 ,返回 true 。
示例 1:

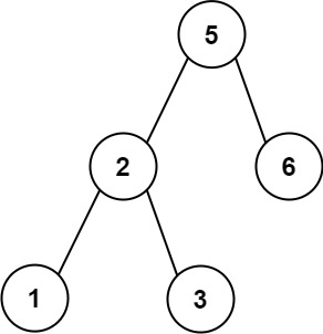
输入: preorder = [5,2,1,3,6]
输出: true
示例 2:
输入: preorder = [5,2,6,1,3]
输出: false
提示:
1 <= preorder.length <= 1041 <= preorder[i] <= 104preorder中 无重复元素
**进阶:**您能否使用恒定的空间复杂度来完成此题?
直接上代码,不懂请留言或私信
java
class Solution {
public boolean verifyPreorder(int[] preorder) {
if(preorder.length == 1) {
return true;
}
Info info = getInfo(preorder, 0, preorder.length - 1);
return info.isBST;
}
/**当前树的范围是start~end,计算这棵树的Info信息 */
public Info getInfo(int[] preorder, int start, int end) {
if(start == end) {
/**根据二叉搜索树的定义,如果只有一个节点就是 */
return new Info(preorder[start], preorder[start], true);
}
/**拿到root的值 */
int rootVal = preorder[start];
/**现在我们还没有遍历不知道左右子树的情况,就以自己考虑设置minValue、maxValue还有isBST */
int minValue = rootVal;
int maxValue = rootVal;
boolean isBST = true;
/**这种情况只有右子树 */
if(preorder[start + 1] > preorder[start]) {
/**左子树为空,我们不用做任何关于左子树的比较*/
Info info = getInfo(preorder, start + 1, end);
/**统一写法*/
minValue = Math.min(info.minValue, rootVal);
maxValue = Math.max(rootVal, info.maxValue);
isBST = info.isBST && rootVal < info.minValue;
return new Info(minValue, maxValue, isBST);
} else {
/**有左子树,找一下左子树的终点的下一个位置*/
int leftEndPost = searchFirstG(preorder, start + 1, end, rootVal);
if(leftEndPost == -1) {
/**只有左子树,剩下所有都是左子树的信息*/
Info info = getInfo(preorder, start + 1, end);
minValue = Math.min(info.minValue, rootVal);
maxValue = Math.max(rootVal, info.maxValue);
isBST = info.isBST && rootVal > info.maxValue;
return new Info(minValue, maxValue, isBST);
} else {
/**左右子树都有,需要获取两颗子树的信息,左子树丛start+1~leftEndPost-1,右子树从leftEndPost~end */
Info leftInfo = getInfo(preorder, start + 1, leftEndPost - 1);
Info rightInfo = getInfo(preorder, leftEndPost, end);
minValue = Math.min(leftInfo.minValue, Math.min(rootVal, rightInfo.minValue));
maxValue = Math.min(leftInfo.maxValue, Math.min(rootVal, rightInfo.maxValue));
/**这里需要左右子树都判断,左子树最大值必须比rootVal小,右子树最小值必须比rootVal大 */
isBST = leftInfo.isBST && rightInfo.isBST && leftInfo.maxValue < rootVal && rightInfo.minValue > rootVal;
return new Info(minValue, maxValue, isBST);
}
}
}
/**获取第一个大于root值的元素,使用二分查找*/
public int searchFirstG(int[] arr, int start, int end, int rootVal) {
if(start > end) {
return -1;
}
/**先定义为-1,如果没有查找到最后就是-1,如果查找到了大雨rootVal的就更新成满足条件的最小的 */
int index = -1;
while(start <= end) {
int mid = start + (end - start)/2;
/**根据题意,无重复元素,所以这里直接判断大于就行,一般的二分是需要写>= */
if(arr[mid] > rootVal) {
/**找到了一个大于等于的,但是这未必是最终的答案,需要继续往小了找 */
index = mid;
end = mid - 1;
} else {
/**范围错了,如果有这个值肯定在前面 */
start = mid + 1;
}
}
return index;
}
}
/**根据二叉搜索树的特性:根节点比它左子树的任何节点都大
比它右子树的任何节点都小,并且左右子树都是二叉搜索树,所以我们需要左右子树的以下信息:最大值、最小值、是否为二叉搜索树*/
class Info{
int minValue;
int maxValue;
boolean isBST;
public Info(int minValue, int maxValue, boolean isBST) {
this.minValue = minValue;
this.maxValue = maxValue;
this.isBST = isBST;
}
}
运行结果:
