目录
2.对于计算n!的递归算法F(n),建立其递归调用次数的递推关系并求解。
[3.考虑下列递归算法,该算法用来计算前n个立方的和: 编辑](#3.考虑下列递归算法,该算法用来计算前n个立方的和: 编辑)
a.建立该函数值的递推关系并求解,以确定该算法计算的是什么。
b.在该算法中,要移动第i大的盘子(1≤i≤n)一共需要移动多少步?
c.为汉诺塔谜题设计一个非递归的算法,并用你熟悉的语言实现。
[6.受限汉诺塔 考虑以下版本的汉诺塔谜题:有n个圆盘需要从柱子A借助柱子B搬到柱子C,且任何移动要么把一个圆盘搬到柱子B或者从柱子B上搬走一个圆盘。(同样禁止把较大的圆盘放在较小的圆盘下面。)设计一个递归算法解决这个问题,并且确定实现它所需要的移动次数。](#6.受限汉诺塔 考虑以下版本的汉诺塔谜题:有n个圆盘需要从柱子A借助柱子B搬到柱子C,且任何移动要么把一个圆盘搬到柱子B或者从柱子B上搬走一个圆盘。(同样禁止把较大的圆盘放在较小的圆盘下面。)设计一个递归算法解决这个问题,并且确定实现它所需要的移动次数。)
a.请证明,对于一个任意十进制正整数n来说,递归算法BinRec(n)所做的加法运算的精确次数是[log₂n]。
[b.对于该算法的非递归版本,建立其所做的加法运算次数的递推关系并求解(参见2.3 节, 例4)。](#b.对于该算法的非递归版本,建立其所做的加法运算次数的递推关系并求解(参见2.3 节, 例4)。)
[a.请基于公式 编辑设计一个递归算法。当n是任意非负整数时,该算法能够计算2^n的值。](#a.请基于公式 编辑设计一个递归算法。当n是任意非负整数时,该算法能够计算2^n的值。)
c.为该算法构造一棵递归调用树,然后计算它所做的递归调用的次数。
10.考虑下面的算法来检查一个由邻接矩阵表示的图是否是完全图。
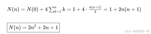
a.假设有一个实现该定义的算法,建立该算法的乘法运算次数的递推关系并求解。
b.不对该递推关系求解,你认为它的增长次数和n!相比会有什么结论?
[12.重温冯·诺依曼邻居问题 建立一个递推关系并求解,以计算n阶冯·诺依曼邻居的细胞数(参见习题2.3的第11题)。](#12.重温冯·诺依曼邻居问题 建立一个递推关系并求解,以计算n阶冯·诺依曼邻居的细胞数(参见习题2.3的第11题)。)
[13.烤汉堡 有n个汉堡需要在烤架上烤,但是烤架上一次只能放2个汉堡。每个汉堡都需要两面烤,不管是烤一个汉堡还是同时烤两个汉堡,烤好一个汉堡的一面用时1分钟。假设要在最短的时间内完成该任务,考虑下列递归算法。如果n≤2,一个汉堡单独烤并翻面,两个汉堡则同时烤并翻面。如果n>2,两个汉堡同时烤并翻面,然后对余下的n-2个汉堡递归地应用同样的过程。](#13.烤汉堡 有n个汉堡需要在烤架上烤,但是烤架上一次只能放2个汉堡。每个汉堡都需要两面烤,不管是烤一个汉堡还是同时烤两个汉堡,烤好一个汉堡的一面用时1分钟。假设要在最短的时间内完成该任务,考虑下列递归算法。如果n≤2,一个汉堡单独烤并翻面,两个汉堡则同时烤并翻面。如果n>2,两个汉堡同时烤并翻面,然后对余下的n-2个汉堡递归地应用同样的过程。)
b.对于任意n>0个汉堡,该算法完成任务的时间并不是最少的,为什么?
[14.名人问题 n 个人中的名人是指这样一个人:他不认识别人,但是每个人都认识他。任务就是找出这样一个名人,但只能通过询问"你认识他/她吗?"这种问题来完成。设计一个高效算法,找出该名人或者确定这群人中没有名人。你的算法在最坏情况下需要问多少个问题?](#14.名人问题 n 个人中的名人是指这样一个人:他不认识别人,但是每个人都认识他。任务就是找出这样一个名人,但只能通过询问“你认识他/她吗?”这种问题来完成。设计一个高效算法,找出该名人或者确定这群人中没有名人。你的算法在最坏情况下需要问多少个问题?)
1.解下列递推关系。
a. x(n)=x(n-1)+5, 其中n>1, x(1)=0:

b. x(n)=3x(n-1), 其中n>1, x(1)=4

c. x(n)=x(n-1)+n, 其中n>0, x(0)=0

d. x(n)=x(n/2)+n, 其中n>1, x(1)=1(对于
的情况求解)

e. x(n)=x(n/3)+1, 其中n>1, x(1)=1(对于
的情况求解)

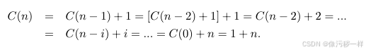
2.对于计算n!的递归算法F(n),建立其递归调用次数的递推关系并求解。
F(n)=F(n-1)+1,F(0)=1

3.考虑下列递归算法,该算法用来计算前n个立方的和: 
算法 S(n)
//输入:正整数n
//输出:前n个立方的和
if n=l return l
else return S(n-1)+n*n*n
a.建立该算法的基本操作执行次数的递推关系并求解。
此时有

递推关系如下:

b.如果将这个算法和直截了当的非递归算法比较,你做何评价?
非递归算法更优:
- 空间效率更高(非递归 Θ(1),递归 Θ(n))
- 运行速度更快(无函数调用开销)
- 更节省内存,不会出现栈溢出问题
4.考虑下面的递归算法。
Q(n):
if n == 1
return 1
else
return Q(n-1) + 2*n - 1
a.建立该函数值的递推关系并求解,以确定该算法计算的是什么。


b.建立该算法所做的乘法运算次数的递推关系并求解。

结果为:

c.建立该算法所做的加减运算次数的递推关系并求解。

答案为:

5.汉诺塔谜题
a.汉诺塔谜题最早是由一个法国数学家卢卡斯于19世纪90年代提出的,当时的版本是这样的:当64个圆盘被从梵塔上移走时,世界末日也就来临了。如果祭司一分钟移动一个圆盘(假设该祭司不吃不睡,而且长生不老),请估计一下,移走全部圆盘一共需要多少年?
递推如下:

约 5849 亿年
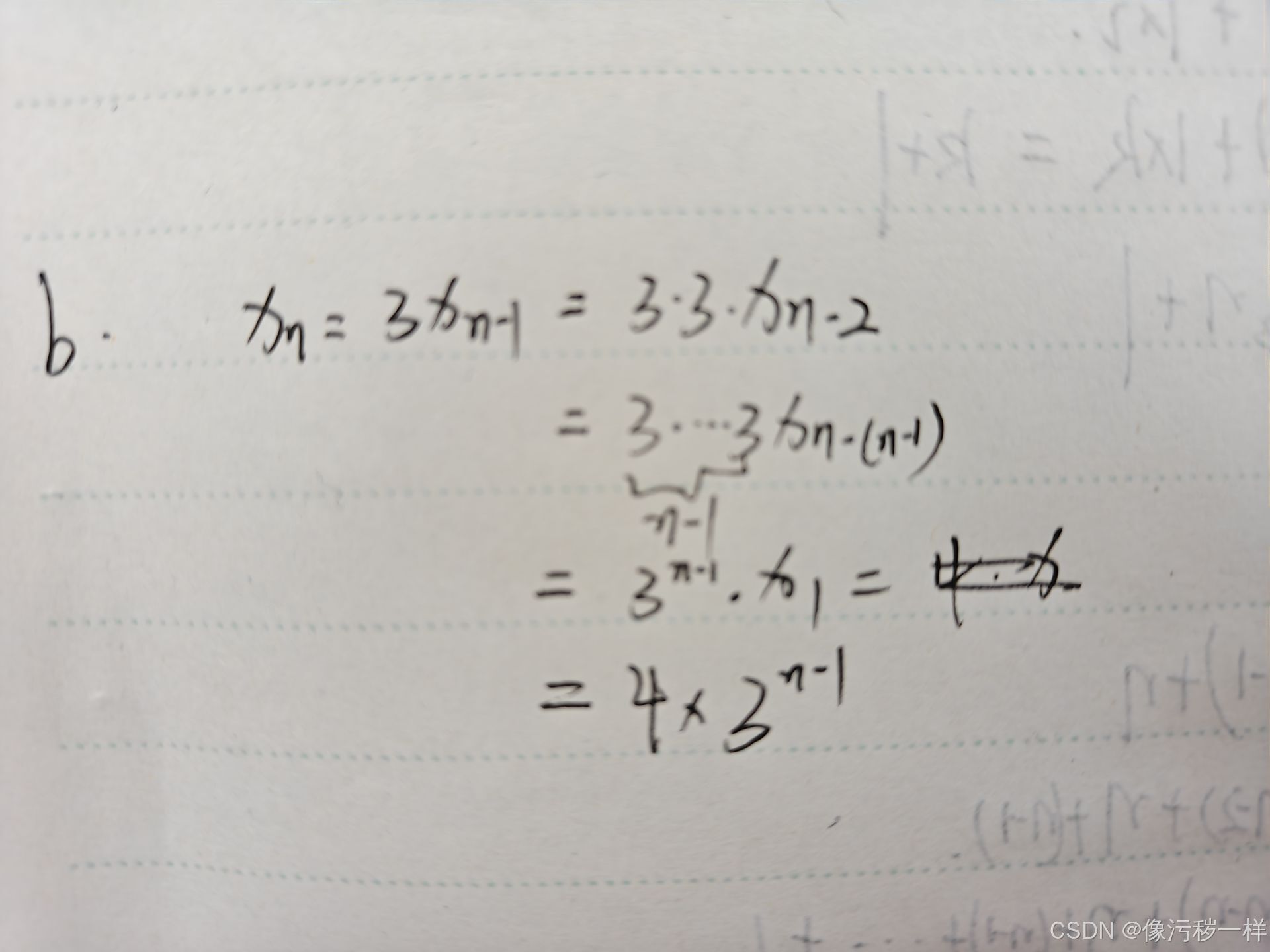
b.在该算法中,要移动第i大的盘子(1≤i≤n)一共需要移动多少步?
规律
- 最大盘(第 n 号):移动 1 次
- 次大盘:移动 2 次
- 第 3 大:4 次
- ...
- 第 i 大:2^n−i 次
c.为汉诺塔谜题设计一个非递归的算法,并用你熟悉的语言实现。
#include <stdio.h>
#include <stdlib.h>
// 栈元素:盘子数 + 三个柱子
typedef struct {
int num;
char src;
char dest;
char aux;
} StackItem;
StackItem stack[1000]; // 栈空间
int top = -1; // 栈顶指针
// 入栈
void push(int num, char src, char dest, char aux) {
stack[++top].num = num;
stack[top].src = src;
stack[top].dest = dest;
stack[top].aux = aux;
}
// 出栈
StackItem pop() {
return stack[top--];
}
// 非递归汉诺塔
void hanoi_non_recursive(int n) {
push(n, 'A', 'C', 'B');
while (top != -1) {
StackItem item = pop();
if (item.num == 1) {
printf("移动盘子 1 从 %c 到 %c\n", item.src, item.dest);
} else {
// 逆序入栈,保证执行顺序正确
push(item.num - 1, item.aux, item.dest, item.src);
push(1, item.src, item.dest, item.aux);
push(item.num - 1, item.src, item.aux, item.dest);
}
}
}
int main() {
int n;
printf("请输入盘子数:");
scanf("%d", &n);
hanoi_non_recursive(n);
return 0;
}
6.受限汉诺塔 考虑以下版本的汉诺塔谜题:有n个圆盘需要从柱子A借助柱子B搬到柱子C,且任何移动要么把一个圆盘搬到柱子B或者从柱子B上搬走一个圆盘。(同样禁止把较大的圆盘放在较小的圆盘下面。)设计一个递归算法解决这个问题,并且确定实现它所需要的移动次数。
伪代码:
算法 RestrictedHanoi(n, A, B, C)
// 把 n 个盘从 A 经 B 移到 C,仅允许 A↔B、B↔C
if n = 1:
移动圆盘 1: A → B
移动圆盘 1: B → C
else:
RestrictedHanoi(n-1, A, B, C) // n-1个:A→C
移动圆盘 n: A → B
RestrictedHanoi(n-1, C, B, A) // n-1个:C→A
移动圆盘 n: B → C
RestrictedHanoi(n-1, A, B, C) // n-1个:A→C
移动次数为:

c语言实现:
#include <stdio.h>
// 受限汉诺塔递归函数
// n: 盘子数 src:A aux:B dest:C
void restrictedHanoi(int n, char src, char aux, char dest) {
if (n == 1) {
// 1个盘子:必须 A→B→C
printf("移动盘子 %d:%c -> %c\n", n, src, aux);
printf("移动盘子 %d:%c -> %c\n", n, aux, dest);
return;
}
// 1. 把 n-1 个盘子 从 A 移到 C(经过B)
restrictedHanoi(n-1, src, aux, dest);
// 2. 把第 n 号大盘 从 A 移到 B
printf("移动盘子 %d:%c -> %c\n", n, src, aux);
// 3. 把 n-1 个盘子 从 C 移到 A(经过B)
restrictedHanoi(n-1, dest, aux, src);
// 4. 把第 n 号大盘 从 B 移到 C
printf("移动盘子 %d:%c -> %c\n", n, aux, dest);
// 5. 把 n-1 个盘子 从 A 移到 C(经过B)
restrictedHanoi(n-1, src, aux, dest);
}
int main() {
int n;
printf("请输入盘子数量:");
scanf("%d", &n);
printf("\n受限汉诺塔移动步骤:\n");
restrictedHanoi(n, 'A', 'B', 'C');
// 总移动次数公式
printf("\n总移动次数:%d\n", (int)pow(3, n) - 1);
return 0;
}
7.
a.请证明,对于一个任意十进制正整数n来说,递归算法BinRec(n)所做的加法运算的精确次数是[log₂n]。
BinRec(n)
if n = 1 return 1
else return BinRec(⌊n/2⌋) + (n mod 2)
功能:求十进制数 n 的二进制表示(递归)

其中,A[1]=0,因此递推结果为:
设2^n<=k<2^(k+1),则有

b.对于该算法的非递归版本,建立其所做的加法运算次数的递推关系并求解(参见2.3 节, 例4)。
非递归版:
while n > 1:
输出 n mod 2
n = n / 2
加法次数 +1

显然结论与递归版相同
8.
a.请基于公式
设计一个递归算法。当n是任意非负整数时,该算法能够计算2^n的值。
伪代码:
算法 PowerOfTwo(n)
// 输入:非负整数 n
// 输出:2^n
if n = 0
return 1
else
return PowerOfTwo(n-1) + PowerOfTwo(n-1)
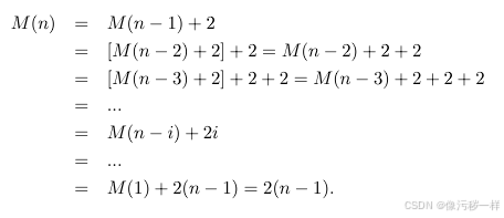
b.建立该算法所做的加法运算次数的递推关系并求解。
即对于递推式有C(n)=2(n/2)+1,C(0)=0;因此答案为:

c.为该算法构造一棵递归调用树,然后计算它所做的递归调用的次数。
树如图:

最终调用次数(实际上是算树的节点)为:

d.对于该问题的求解来说,这是一个好算法吗?
并非好算法,这个算法效率冗余到了2^n,过于低效,应该改为直接循环*2,保持在Θ(n)
9.考虑下面的递归算法。
算法 Riddle(A[0..n-1])
if n == 1
return A[0]
else
temp = Riddle(A[0..n-2])
if temp ≤ A[n-1]
return temp
else
return A[n-1]
a.该算法计算的是什么?
该算法计算数组 A [0..n-1] 中的最小值。
b.建立该算法所做的基本操作次数的递推关系并求解。

最终答案为:

10.考虑下面的算法来检查一个由邻接矩阵表示的图是否是完全图。
算法 GraphComplete(A[0..n-1, 0..n-1])
//输入: 一个n阶无向图G的邻接矩阵A
//输出:如果G是完全图,返回1;否则返回0
if n = 1
return 1
else
if not GraphComplete(A[0..n-2, 0..n-2])
return 0
else
for j ← 0 to n-2 do
if A[n-1, j] = 0
return 0
return 1
这个算法最坏情况下的效率类型是什么?
最坏效率是Θ(n^2)
11.一个n阶方阵

的行列式记作detA。当n=1时,我们可以把它定义为a₀₀;当n>1时,则定义为下面的递推关系:

当j为偶数时,取+1;当j为奇数时,
取-1。
是位于第0行和第j列的元素,Aj是把第0行和第j列从矩阵A中删除后获得的n-1阶方阵。
a.假设有一个实现该定义的算法,建立该算法的乘法运算次数的递推关系并求解。
依题:
因此可得:M(n)∈Θ(n!)
b.不对该递推关系求解,你认为它的增长次数和n!相比会有什么结论?
乘法次数的增长次数是 Θ(n!),与 n! 同阶
12.重温冯·诺依曼邻居问题 建立一个递推关系并求解,以计算n阶冯·诺依曼邻居的细胞数(参见习题2.3的第11题)。


13.烤汉堡 有n个汉堡需要在烤架上烤,但是烤架上一次只能放2个汉堡。每个汉堡都需要两面烤,不管是烤一个汉堡还是同时烤两个汉堡,烤好一个汉堡的一面用时1分钟。假设要在最短的时间内完成该任务,考虑下列递归算法。如果n≤2,一个汉堡单独烤并翻面,两个汉堡则同时烤并翻面。如果n>2,两个汉堡同时烤并翻面,然后对余下的n-2个汉堡递归地应用同样的过程。
a.给出该算法烤n个汉堡所需要时间的递推关系并求解。
所以
b.对于任意n>0个汉堡,该算法完成任务的时间并不是最少的,为什么?
当 n 为奇数(如 n=3)时,烤架未被充分利用,算法产生空闲时间,因此不是最优。
c.给出一个在最少时间内完成烤汉堡任务的正确递归算法。
算法 OptimalHamburger(n)
// 输入:正整数 n
// 输出:烤完 n 个汉堡的最短时间
if n == 1
return 2 // 1个汉堡必须2分钟
elif n == 2
return 2 // 2个汉堡2分钟
elif n == 3
return 3 // 3个汉堡最优3分钟
else
// 每次最优处理2个,用2分钟,剩下递归
return 2 + OptimalHamburger(n - 2)
14.名人问题 n 个人中的名人是指这样一个人:他不认识别人,但是每个人都认识他。任务就是找出这样一个名人,但只能通过询问"你认识他/她吗?"这种问题来完成。设计一个高效算法,找出该名人或者确定这群人中没有名人。你的算法在最坏情况下需要问多少个问题?
算法 FindCelebrity(n)
// 第一步:找出候选者
候选者 = 1
for i = 2 to n:
if 候选者 认识 i:
候选者 = i // 原来的候选者被淘汰
// 第二步:验证候选者是不是真名人
for i = 1 to n:
if i != 候选者 AND (候选者认识i OR i不认识候选者):
输出 "没有名人"
return
输出 候选者
最坏情况下需要询问:3n−3 次
效率类型:Θ(n)