目录
摘要
本篇文章继续学习尚硅谷深度学习教程,学习内容是张量索引操作,形状操作,拼接操作,以及自动微分模块的实现和,学习线性回归的机器学习案例
1.张量索引操作
简单索引
python
import torch
tensor1 = torch.randint(1, 9, (3, 5, 4))
print(tensor1)
print()
# 取 第0维第0
print(tensor1[0])
print()
# 取 第0维所有,第1维第1
print(tensor1[:, 1])
print()
# 取 第0维所有,第1维第1,第2维第3
print(tensor1[2, 1, 3])
范围索引
python
import torch
tensor1 = torch.randint(1, 9, (3, 5, 4))
print(tensor1)
print()
# 取 第0维第1到最后
print(tensor1[1:])
print()
# 取 第0维最后,第1维1到3(包含3),第2维0到2(包含2)
print(tensor1[-1:, 1:4, 0:3])
print()
列表索引
python
import torch
tensor1 = torch.randint(1, 9, (3, 5, 4))
print(tensor1)
print()
# 取 第0维第0,第1维第1 和 第0维第1,第1维第2
print(tensor1[[0, 1], [1, 2]])
print()
# 取 第0维第0,第1维第1、2 和 第0维第1,第1维第1、2
print(tensor1[[[0], [1]], [1, 2]])
布尔索引
python
import torch
tensor1 = torch.randint(1, 9, (3, 5, 4))
print(tensor1)
print()
# 取 第2维第0大于5的,返回(dim0,dim1)形状的索引
print(tensor1[:, :, 0] > 5)
print(tensor1[tensor1[:, :, 0] > 5])
print()
# 取 第1维第1大于5的,返回(dim0,dim2)形状的索引
mask = tensor1[:, 1, :] > 5
print(mask)
tensor2 = tensor1.permute(0, 2, 1) # 转换维度为(dim0,dim2,dim1)
print(tensor2[mask])
tensor2 = tensor2[mask].permute(1, 0) # 转换维度为(dim1,?)
print(tensor2)
print()
# 取 第1维第1,第2维第2大于5的,返回(dim0)形状的索引
print(tensor1[:, 1, 2] > 5)
print(tensor1[tensor1[:, 1, 2] > 5])
2.张量形状操作
交换维度
transpose()交换两个维度, permute()重新排列多个维度
python
import torch
tensor1 = torch.randint(1, 9, (2, 3, 6))
print(tensor1)
print(tensor1.transpose(1, 2)) # 交换第1维和第2维
tensor1 = torch.randint(1, 9, (2, 3, 6))
print(tensor1)
print(tensor1.permute(2, 0, 1)) # (2, 3, 6)->(6, 2, 3)#重新排列
调整形状
reshape()调整张量的形状,view()调整张量的形状,需要内存连续。共享内存, is_contiguous()判断是否内存连续,contiguous()转换为内存连续
python
import torch
tensor1 = torch.randint(1, 9, (3, 5, 4))
print(tensor1)
print(tensor1.reshape(6, 10))
print(tensor1.reshape(3, -1))
tensor1 = torch.randint(1, 9, (3, 5, 4))
print(tensor1)
print(tensor1.is_contiguous()) # is_contiguous()判断是否内存连续
print(tensor1.view(-1, 10))
tensor1 = tensor1.T
print(tensor1.is_contiguous()) # is_contiguous()判断是否内存连续
print(tensor1.contiguous().view(-1)) # contiguous()强制内存连续
增加或删除维度
unsqueeze()在指定维度上增加1个维度, squeeze()删除大小为1的维度
python
import torch
tensor1 = torch.tensor([1, 2, 3, 4, 5])
print(tensor1)
# 在0维上增加一个维度
print(tensor1.unsqueeze(dim=0))
# 在1维上增加一个维度
print(tensor1.unsqueeze(dim=1))
# 在-1维上增加一个维度
print(tensor1.unsqueeze(dim=-1))
tensor1 = torch.tensor([1, 2, 3, 4, 5])
print(tensor1.unsqueeze_(dim=0))
print(tensor1.squeeze())
3.张量拼接操作
torch.cat()张量拼接,按已有维度拼接。除拼接维度外,其他维度大小须相同,torch.stack()张量堆叠,按新维度堆叠。所有张量形状必须一致
python
import torch
tensor1 = torch.randint(1, 9, (2, 2, 5))
tensor2 = torch.randint(1, 9, (2, 1, 5))
print(tensor1)
print(tensor2)
print(torch.cat([tensor1, tensor2], dim=1))
torch.manual_seed(42)
tensor1 = torch.randint(1, 9, (3, 1, 5))
tensor2 = torch.randint(1, 9, (3, 1, 5))
print(tensor1)
print(tensor2)
tensor3 = torch.stack([tensor1, tensor2], dim=2)
print(tensor3)
print(tensor3.shape)
4.微分模块
训练神经网络时,框架会根据设计好的模型构建一个计算图(computational graph),来跟踪计算是哪些数据通过哪些操作组合起来产生输出,并通过反向传播算法来根据给定参数的损失函数的梯度调整参数(模型权重)。
PyTorch具有一个内置的微分引擎torch.autograd以支持计算图的梯度自动计算。
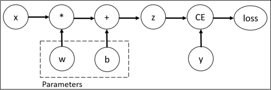
考虑最简单的单层神经网络,具有输入x、参数w、偏置b以及损失函数:

python
import torch
# 输入x
x = torch.tensor(10.0)
# 目标值y
y = torch.tensor(3.0)
# 初始化权重w
w = torch.rand(1, 1, requires_grad=True)
# 初始化偏置b
b = torch.rand(1, 1, requires_grad=True)
z = w * x + b
# 设置损失函数
loss = torch.nn.MSELoss()
loss_value = loss(z, y)
# 反向传播
loss_value.backward()
# 打印w,b的梯度
print("w的梯度:\n", w.grad)
print("b的梯度:\n", b.grad)
该计算图中x、w、b为叶子节点,即最基础的节点。叶子节点的数据并非由计算生成,因此是整个计算图的基石,叶子节点张量不可以执行in-place操作。而最终的loss为根节点。
可通过is_leaf属性查看张量是否为叶子节点:
python
print(x.is_leaf) # True
print(w.is_leaf) # True
print(b.is_leaf) # True
print(z.is_leaf) # False
print(y.is_leaf) # True
print(loss_value.is_leaf) # False
自动微分的关键就是记录节点的数据与运算。数据记录在张量的data属性中,计算记录在张量的grad_fn属性中。
计算图根据搭建方式可分为静态图和动态图,PyTorch是动态图机制,在计算的过程中逐步搭建计算图,同时对每个Tensor都存储grad_fn供自动微分使用。
若设置张量参数requires_grad=True,则PyTorch会追踪所有基于该张量的操作,并在反向传播时计算其梯度。依赖于叶子节点的节点,requires_grad默认为True。当计算到根节点后,在根节点调用backward()方法即可反向传播计算计算图中所有节点的梯度。
非叶子节点的梯度在反向传播之后会被释放掉(除非设置参数retain_grad=True)。而叶子节点的梯度在反向传播之后会保留(累积)。通常需要使用optimizer.zero_grad()清零参数的梯度。
有时我们希望将某些计算移动到计算图之外,可以使用Tensor.detach()返回一个新的变量,该变量与原变量具有相同的值,但丢失计算图中如何计算原变量的信息。换句话说,梯度不会在该变量处继续向下传播。例如:
python
import torch
x = torch.ones(2, 2, requires_grad=True)
y = x * x
# 分离y来返回一个新变量u
u = y.detach()
z = u * x
# 梯度不会向后流经u到x
z.sum().backward()
# 反向传播函数计算z=u*x关于x的偏导数时将u作为常数处理,而不是z=x*x*x关于x的偏导数
x.grad == u
# tensor([[True, True],
# [True, True]])
5.机器学习案例:线性回归
通过PyTorch训练一个模型一般分为以下4个步骤:
准备数据 → 构建模型 → 定义损失函数与优化器 → 模型训练
接下来,构建数据集并使用PyTorch实现线性回归:
python
import torch
import matplotlib.pyplot as plt
from torch import nn, optim # 模型、损失函数和优化器
from torch.utils.data import TensorDataset, DataLoader # 数据集和数据加载器
# 构建数据集
X = torch.randn(100, 1) # 输入
w = torch.tensor([2.5]) # 权重
b = torch.tensor([5.2]) # 偏置
noise = torch.randn(100, 1) * 0.1 # 噪声
y = w * X + b + noise # 目标
dataset = TensorDataset(X, y) # 构造数据集对象
dataloader = DataLoader(
dataset, batch_size=10, shuffle=True
) # 构造数据加载器对象,batch_size为每次训练的样本数,shuffle为是否打乱数据
# 构造模型
model = nn.Linear(in_features=1, out_features=1) # 线性回归模型,1个输入,1个输出
# 损失函数和优化器
loss = nn.MSELoss() # 均方误差损失函数
optimizer = optim.SGD(model.parameters(), lr=1e-3) # 随机梯度下降,学习率0.001
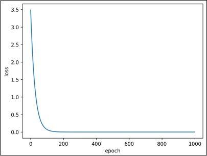
# 模型训练
loss_list = []
for epoch in range(1000):
total_loss = 0
train_num = 0
for x_train, y_train in dataloader:
# 每次训练一个batch大小的数据
y_pred = model(x_train) # 模型预测
loss_value = loss(y_pred, y_train) # 计算损失
total_loss += loss_value.item()
train_num += len(y_train)
optimizer.zero_grad() # 梯度清零
loss_value.backward() # 反向传播
optimizer.step() # 更新参数
loss_list.append(total_loss / train_num)
print(model.weight, model.bias) # 打印权重和偏置
plt.plot(loss_list)
plt.xlabel("epoch")
plt.ylabel("loss")
plt.show()
