016-二叉搜索树(C++实现)
1. 二叉搜索树概念
二叉搜索树又称二叉排序树,它可以是一颗空树,或是满足下列性质的二叉树:
-
若它的左子树不为空,则左子树上的所有节点的键值小于根节点的值
-
若它的右子树不为空,则右子树上的所有节点的键值大于根节点的值
-
它的左右子树也为二叉搜索树
其中,二叉树中每个节点包括三个成员:数据、左子树指针、右子树指针。
2. 二叉搜索树操作

2.1 二叉搜索树的查找
- 从根节点开始查找,比较需要查找的值和根节点的值的大小
- 如果相等,返回当前节点
- 如果比根小,进入左子树
- 如果比根大,进入右子树
- 进入子树后继续循环上面的1~4步,直到为空
- 如果直到nullptr还没找到,返回空
这种查找最多只需要查找树的高度次。
2.2 二叉树的插入
- 树为空,新增节点,作为树的根节点
- 树不为空,对比当前树根节点与插入的值的大小
- 这里不考虑新插入的值与根节点相等的情况,如果新的值已经存在于树中,将不插入
- 如果小于根节点,进入左子树
- 如果大于根节点,进入右子树
- 进入子树后循环1~5步,过程中如果碰到与根节点相同的情况,不插入,除此之外,到最后一定会找到空子树,此时新增节点插入即可。

2.3 二叉树的删除
- 首先查找该节点是否在二叉树中。
- 如果不存在,直接返回。
- 如果存在,将会有下面四种情况:
- 要删除的节点无左右子树:直接删除
- 要删除的节点有左子树,无右子树:让该节点的父节点指向该节点的左子树,然后删除节点
- 要删除的节点有右子树,无左子树:让该节点的父节点指向该节点的右子树,然后删除节点
- 要删除的节点有左右子树:找到左子树中最大的节点,或右子树中最小的节点,将该节点的值赋给要删除的节点,然后处理删除该节点的问题。

3. 二叉树的具体实现
这里学习二叉树只是为了了解二叉树的工作原理,为了方便,这里只实现增删查三个接口,不实现迭代器,后续在学习AVL树和红黑树时将会具体的实现迭代器和其他接口。
cpp
// BSTree.hpp
#pragma once
#include <iostream>
template <typename T>
struct BSTNode
{
BSTNode(const T& data = T()): _pLeft(nullptr), _pRight(nullptr), _data(data)
{}
BSTNode<T>* _pLeft;
BSTNode<T>* _pRight;
T _data;
};
template <typename T>
class BSTree // binary search tree
{
private:
using Node = BSTNode<T>;
// 递归删除二叉树
void _destroyTree(Node* root)
{
if (root == nullptr) return;
_destroyTree(root->_pLeft);
_destroyTree(root->_pRight);
delete root;
}
// 递归查找节点
Node* _find(Node* root, const T& data)
{
if (root == nullptr) return nullptr;
if (root->_data == data) return root;
_find(root->_pLeft);
_find(root->_pRight);
}
// 删除指定节点
void _erase(Node* father, Node* child)
{
// 如果要删除的节点是根节点,需要特殊处理(此时father为nullptr)
if (child->_pLeft && child->_pRight) // 两个孩子都存在
{
// 找到左子树中最大的节点,替换当前节点,删除该节点。
Node* delFather = child;
Node* del = child->_pLeft;
while (del->_pRight)
{
delFather = del;
del = del->_pRight;
}
// 替换
child->_data = del->_data;
// 由于del是child左子树中最大的节点,所以它没有右孩子,只需要将左孩子连接到父节点即可
// 如果del的父节点是child,那么del是父节点的左孩子,否则del是父亲的右孩子
if (delFather == child) delFather->_pLeft = del->_pLeft;
else delFather->_pRight = del->_pLeft;
delete del;
}
else if (child->_pLeft) // 只存在左孩子
{
if (father == nullptr) _root = child->_pLeft;
else if (child->_data < father->_data) father->_pLeft = child->_pLeft;
else father->_pRight = child->_pLeft;
delete child;
}
else if (child->_pRight) // 只存在右孩子
{
if (father == nullptr) _root = child->_pRight;
else if (child->_data < father->_data) father->_pLeft = child->_pRight;
else father->_pRight = child->_pRight;
delete child;
}
else // 左右孩子都不存在
{
if (father == nullptr) _root = nullptr;
else if (child->_data < father->_data) father->_pLeft = nullptr;
else father->_pRight = nullptr;
delete child;
}
}
// 递归实现中序遍历
void _InOrder(Node* root)
{
if (root == nullptr) return;
_InOrder(root->_pLeft);
std::cout << root->_data << " ";
_InOrder(root->_pRight);
}
public:
BSTree(): _root(nullptr)
{}
~BSTree()
{
_destroyTree(_root);
}
// 找到返回节点指针,没找到返回nullptr
Node* find(const T& data)
{
_find(_root, data);
}
// 插入成功返回true,失败返回false
bool insert(const T& data)
{
// 树为空,直接插入
if (_root == nullptr)
{
Node* node = new Node(data);
_root = node;
return true;
}
Node* father = nullptr; // 用于记录父节点,方便后续插入
Node* cur = _root; // 寻找插入位置,找到为nullptr时插入为father的子节点
while (cur)
{
// 如果已经存在data,则不插入
if (cur->_data == data) return false;
// 记录当前节点
father = cur;
// data小于该节点,进入左子树,大于该节点进入右子树
if (cur->_data > data) cur = cur->_pLeft;
else cur = cur->_pRight;
}
// cur碰到nullptr,插入到father的子节点,比father小插入到左孩子,比father大插入到右孩子
Node* node = new Node(data);
if (father->_data > data) father->_pLeft = node;
else father->_pRight = node;
return true;
}
// 删除成功返回true,失败返回false
bool erase(const T& data)
{
// 树为空,直接返回,删除失败
if (_root == nullptr) return false;
// 查找data在树中的位置
Node* father = nullptr;
Node* cur = _root;
while (cur)
{
// 当前节点为要删除的节点
if (cur->_data == data)
{
_erase(father, cur); // 将删除逻辑封装成一个函数
return true;
}
father = cur;
// 要删除的节点比当前节点小,进入左子树,否则进入右子树
if (cur->_data > data) cur = cur->_pLeft;
else cur = cur->_pRight;
}
// 没有找到要删除的节点,删除失败
return false;
}
// 为了测试代码,这里实现一个中序遍历
void InOrder()
{
_InOrder(_root);
std::cout << std::endl;
}
private:
Node* _root;
};
测试代码:
cpp
// test.cc
#pragma once
#include "BSTree.hpp"
int main()
{
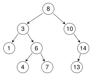
int arr[] = { 8,3,10,1,6,14,4,7,13 };
BSTree<int> t;
for (int i = 0; i < sizeof(arr) / sizeof(arr[0]); i++)
{
t.insert(arr[i]);
}
t.InOrder();
t.erase(7);
t.InOrder();
t.erase(14);
t.InOrder();
t.erase(3);
t.InOrder();
t.erase(8);
t.InOrder();
return 0;
}
运行结果:

4. 二叉搜索树的应用
- K模型:即只有key作为关键码,结构中只需要存储Key即可,关键码即为需要搜索到的值。
- 如给定一个单词word,判断该单词是否拼写正确,假设在二叉搜索树中存着词库中所有拼写正确的单词
- 在二叉树搜索中检索该单词,查到即为拼写正确,否则拼写错误
- KV模型:每个关键码Key都有与之对应的Value,即<Key, Value>键值对。
- 给定一个单词word,查找中文意思,假设在二叉搜索树以<单词, 意思>的形式存着词库中所有的单词和意思的对应。
- 在二叉树搜索中检索该单词,查到返回Value即为意思,否则单词在词库中不存在。
5. 二叉搜索树的性能分析
插入和删除都必须先查找,所以查找的效率代表了二叉搜索树的整体效率。
对有N个节点的二叉搜索树,二叉搜索树的最多需要查找的次数就是查找到最深的节点,此时查找的次数为二叉树的高度次,高度越深,次数越多。
对于一棵二叉搜索树,插入节点的顺序不同,将会得到不同结构的二叉树。

最理想的情况下,二叉树为完全二叉树,此时最差比较次数为 l o g 2 N log_2N log2N,即查找的时间复杂度为O(N)。
最差的情况下,即以升序或降序的顺序插入二叉树,该二叉树将退化为类似链表的结构,此时最差比较次数为N次,即查找的时间复杂度为O(N)。
在最差的情况下,二叉搜索树的性能将会退化,那么能否改进?让其无论如何插入都能接近完全二叉树的结构?后续章节将会介绍AVL树和红黑树,这两种解决方案可以改进上述问题。