给你二叉搜索树的根节点 root 和一个目标值 target ,请在该二叉搜索树中找到最接近目标值 target 的数值。如果有多个答案,返回最小的那个。
示例 1:

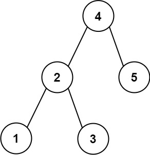
输入:root = [4,2,5,1,3], target = 3.714286
输出:4
示例 2:
输入:root = [1], target = 4.428571
输出:1
提示:
- 树中节点的数目在范围
[1, 104]内 0 <= Node.val <= 109-109 <= target <= 109
直接上代码:
java
/**
* Definition for a binary tree node.
* public class TreeNode {
* int val;
* TreeNode left;
* TreeNode right;
* TreeNode() {}
* TreeNode(int val) { this.val = val; }
* TreeNode(int val, TreeNode left, TreeNode right) {
* this.val = val;
* this.left = left;
* this.right = right;
* }
* }
*/
class Solution {
public int closestValue(TreeNode root, double target) {
Info info = getInfo(root, target);
return info.value;
}
public Info getInfo(TreeNode root, double target) {
if(root == null) {
return new Info(Integer.MAX_VALUE, Integer.MAX_VALUE);
}
if(root.left == null && root.right == null) {
return new Info(root.val, Math.abs(root.val - target));
}
/**拿到左右子树的信息 */
Info leftInfo = getInfo(root.left, target);
Info rightInfo = getInfo(root.right, target);
/**当前的最小差是左右树的最小差以及跟节点和target的差的最小值 */
double distance = Math.min(Math.abs(root.val - target), Math.min(leftInfo.distance, rightInfo.distance));
int value = distance == leftInfo.distance? leftInfo.value : distance == rightInfo.distance? rightInfo.value : root.val;
/**有可能有重复的值,需要判断取最小那个 */
if(distance == leftInfo.distance) {
value = Math.min(value, leftInfo.value);
}
if(distance == rightInfo.distance) {
value = Math.min(value, rightInfo.value);
}
if(distance == Math.abs(root.val - target)) {
value = Math.min(value, root.val);
}
/**返回当前树的信息 */
return new Info(value, distance);
}
}
class Info {
int value;
double distance;
public Info(int value, double distance) {
this.value = value;
this.distance = distance;
}
}
看不懂的请私信或者留言,二叉树的所有问题,我倾向于使用二叉树的递归套路,这个题其实可以用DFS,我懒得用