1、[简单] 两数之和
数组 哈希表
给定一个整数数组
nums和一个整数目标值target,请你在该数组中找出 和为目标值target的那 两个 整数,并返回它们的数组下标。你可以假设每种输入只会对应一个答案,并且你不能使用两次相同的元素。
你可以按任意顺序返回答案。
示例 1:
输入:nums = [2,7,11,15], target = 9 输出:[0,1] 解释:因为 nums[0] + nums[1] == 9 ,返回 [0, 1] 。示例 2:
输入:nums = [3,2,4], target = 6 输出:[1,2]示例 3:
输入:nums = [3,3], target = 6 输出:[0,1]
C++
c++
class Solution {
public:
vector<int> twoSum(vector<int>& nums, int target) {
unordered_map<int, int> hash;
for (int i = 0; i < nums.size(); ++i) {
int gap = target - nums[i];
if (hash.count(gap)) {
return {hash[gap], i};
} else {
hash[nums[i]] = i;
}
}
return {-1, -1};
}
};
Java
java
class Solution {
public int[] twoSum(int[] nums, int target) {
Map<Integer, Integer> hash = new HashMap<Integer, Integer>();
for (int i = 0; i < nums.length; ++i) {
if (hash.containsKey(target - nums[i])) {
return new int[] { hash.get(target - nums[i]), i };
}
hash.put(nums[i], i);
}
return new int[0];
}
}
Python
解题思路
- 滑动窗口 :使用两个指针
left和right来表示窗口的左右边界。right指针用于扩展窗口,left指针用于收缩窗口。- 哈希表:使用一个哈希表(或数组)来记录窗口中每个字符的出现次数。
- 窗口扩展 :移动
right指针,将字符加入窗口,并更新哈希表。- 窗口收缩 :如果发现某个字符在哈希表中的值大于 1(即重复),则移动
left指针,缩小窗口,并更新哈希表。- 更新结果:在每次窗口扩展后,计算当前窗口的长度,并更新最大长度。
复杂度分析
- 时间复杂度 :
O(n),其中n是字符串的长度。每个字符只会被遍历一次。- 空间复杂度 :
O(min(m, n)),其中m是字符集的大小。哈希表最多存储m个字符。
python
class Solution(object):
def twoSum(self, nums, target):
"""
:type nums: List[int]
:type target: int
:rtype: List[int]
"""
n = len(nums)
for i in range(n):
for j in range(i+1, n):
if nums[i] + nums[j] == target:
return [i, j]
return []
python
class Solution(object):
def twoSum(self, nums, target):
"""
:type nums: List[int]
:type target: int
:rtype: List[int]
"""
hashtable = dict();
for i, num in enumerate(nums):
if target - num in hashtable:
return [hashtable[target - num], i]
hashtable[nums[i]] = i;
return []
2、[中等] 两数相加
链表 数学
给你两个 非空 的链表,表示两个非负的整数。它们每位数字都是按照 逆序 的方式存储的,并且每个节点只能存储 一位 数字。
请你将两个数相加,并以相同形式返回一个表示和的链表。
你可以假设除了数字 0 之外,这两个数都不会以 0 开头。
示例 1:
输入:l1 = [2,4,3], l2 = [5,6,4] 输出:[7,0,8] 解释:342 + 465 = 807.示例 2:
输入:l1 = [0], l2 = [0] 输出:[0]示例 3:
输入:l1 = [9,9,9,9,9,9,9], l2 = [9,9,9,9] 输出:[8,9,9,9,0,0,0,1]
C++
c++
class Solution {
public:
ListNode* addTwoNumbers(ListNode* l1, ListNode* l2) {
if (!l1) {
return l2;
}
if (!l2) {
return l1;
}
ListNode head, *cur = &head, *cur1 = l1, *cur2 = l2;
int add = 0;
while (cur1 || cur2 || add) {
if (cur1) {
add += cur1->val;
cur1 = cur1->next;
}
if (cur2) {
add += cur2->val;
cur2 = cur2->next;
}
cur->next = new ListNode(add % 10);
cur = cur->next;
add /= 10;
}
return head.next;
}
};
Java
java
/**
* Definition for singly-linked list.
* public class ListNode {
* int val;
* ListNode next;
* ListNode() {}
* ListNode(int val) { this.val = val; }
* ListNode(int val, ListNode next) { this.val = val; this.next = next; }
* }
*/
class Solution {
public ListNode addTwoNumbers(ListNode l1, ListNode l2) {
// 如果其中一个链表为空,直接返回另一个链表
if (l1 == null) {
return l2;
}
if (l2 == null) {
return l1;
}
// 创建一个虚拟头节点,用于简化链表操作
ListNode head = new ListNode(0);
ListNode cur = head, cur1 = l1, cur2 = l2;
int carry = 0; // 进位值
// 遍历两个链表,直到所有节点都处理完且没有进位
while (cur1 != null || cur2 != null || carry != 0) {
// 如果当前节点不为空,将其值加到进位中
if (cur1 != null) {
carry += cur1.val;
cur1 = cur1.next;
}
if (cur2 != null) {
carry += cur2.val;
cur2 = cur2.next;
}
// 创建新节点,存储当前位的值
cur.next = new ListNode(carry % 10);
cur = cur.next;
// 更新进位
carry /= 10;
}
// 返回结果链表的头节点
return head.next;
}
}
Python
python
class Solution(object):
def addTwoNumbers(self, l1, l2):
"""
:type l1: Optional[ListNode]
:type l2: Optional[ListNode]
:rtype: Optional[ListNode]
"""
cur = dummy = ListNode() # 哨兵节点
carry = 0 # 进位
while l1 or l2 or carry: # 有一个不是空节点,或者还有进位,就继续迭代
if l1:
carry += l1.val # 节点值和进位加在一起
l1 = l1.next # 下一个节点
if l2:
carry += l2.val
l2 = l2.next
cur.next = ListNode(carry % 10) # 每个节点保存一个数位
carry //= 10 # 新的进位
cur = cur.next # 下一个节点
return dummy.next # 哨兵节点的下一个节点就是头节点
3、[中等] 无重复字符的最长字串
哈希表 字符串 滑动窗口
给定一个字符串
s,请你找出其中不含有重复字符的 最长 子串 的长度。示例 1:
输入: s = "abcabcbb" 输出: 3 解释: 因为无重复字符的最长子串是 "abc",所以其长度为 3。示例 2:
输入: s = "bbbbb" 输出: 1 解释: 因为无重复字符的最长子串是 "b",所以其长度为 1。示例 3:
输入: s = "pwwkew" 输出: 3 解释: 因为无重复字符的最长子串是 "wke",所以其长度为 3。 请注意,你的答案必须是 子串 的长度,"pwke" 是一个子序列,不是子串。
C++
c++
class Solution {
public:
int lengthOfLongestSubstring(string s) {
int hash[128] = {0}; // 使用数组来模拟哈希表
int left = 0, right = 0, n = s.size();
int ret = 0;
while (right < n) {
hash[s[right]]++; // 进入窗口
while (hash[s[right]] > 1) {
hash[s[left++]]--;
}
right++;
ret = max(ret, right - left);
}
return ret;
}
};
Java
java
class Solution {
public int lengthOfLongestSubstring(String s) {
// 使用数组来模拟哈希表,记录字符的出现次数
int[] hash = new int[128];
int left = 0, right = 0, n = s.length();
int maxLength = 0;
while (right < n) {
// 将当前字符加入窗口
hash[s.charAt(right)]++;
// 如果当前字符重复,移动左指针缩小窗口
while (hash[s.charAt(right)] > 1) {
hash[s.charAt(left++)]--;
}
// 更新最大长度
right++;
maxLength = Math.max(maxLength, right - left);
}
return maxLength;
}
}
Python
解题思路
- 滑动窗口 :使用两个指针
left和right来表示窗口的左右边界。right指针用于扩展窗口,left指针用于收缩窗口。- 哈希表:使用一个哈希表(或数组)来记录窗口中每个字符的出现次数。
- 窗口扩展 :移动
right指针,将字符加入窗口,并更新哈希表。- 窗口收缩 :如果发现某个字符在哈希表中的值大于 1(即重复),则移动
left指针,缩小窗口,并更新哈希表。- 更新结果:在每次窗口扩展后,计算当前窗口的长度,并更新最大长度。
复杂度分析
- 时间复杂度 :
O(n),其中n是字符串的长度。每个字符只会被遍历一次。- 空间复杂度 :
O(min(m, n)),其中m是字符集的大小。哈希表最多存储m个字符。
python
class Solution(object):
def lengthOfLongestSubstring(self, s):
# 使用哈希表记录字符出现的次数
hash_map = {}
left = 0 # 窗口左边界
max_len = 0 # 最长字串的长度
for right in range(len(s)):
# 如果字符已经存在于哈希表中,移动左边界
if s[right] in hash_map:
left = max(left, hash_map[s[right]] + 1)
# 更新字符的最新位置
hash_map[s[right]] = right
# 更新最大长度
max_len = max(max_len, right - left + 1)
return max_len
4、[困难] 寻找两个正序数组的中位数
二分查找
给定两个大小分别为
m和n的正序(从小到大)数组nums1和nums2。请你找出并返回这两个正序数组的 中位数 。算法的时间复杂度应该为
O(log (m+n))。示例 1:
输入:nums1 = [1,3], nums2 = [2] 输出:2.00000 解释:合并数组 = [1,2,3] ,中位数 2示例 2:
输入:nums1 = [1,2], nums2 = [3,4] 输出:2.50000 解释:合并数组 = [1,2,3,4] ,中位数 (2 + 3) / 2 = 2.5
C++
c++
class Solution {
public:
double findMedianSortedArrays(vector<int>& nums1, vector<int>& nums2) {
int n = nums1.size();
int m = nums2.size();
vector<int> v;
v.resize(n + m);
int i = 0, j = 0, k = 0;
while (j < n && k < m) {
if (nums1[j] < nums2[k]) {
v[i++] = nums1[j++];
} else {
v[i++] = nums2[k++];
}
}
while (j < n) {
v[i++] = nums1[j++];
}
while (k < m) {
v[i++] = nums2[k++];
}
int mid = (n + m) / 2;
if ((n + m) % 2 == 1) {
return v[mid];
} else {
return (v[mid] + v[mid - 1]) / 2.0;
}
}
};
c++
class Solution {
public:
double findMedianSortedArrays(vector<int>& nums1, vector<int>& nums2) {
int totalLength = nums1.size() + nums2.size();
if (totalLength % 2 == 1) {
return getKthElement(nums1, nums2, (totalLength + 1) / 2);
} else {
return (getKthElement(nums1, nums2, totalLength / 2) + getKthElement(nums1, nums2, totalLength / 2 + 1)) / 2.0;
}
}
int getKthElement(const vector<int>& nums1, const vector<int>& nums2, int k) {
int m = nums1.size();
int n = nums2.size();
int index1 = 0, index2 = 0;
while (true) {
if (index1 == m) {
return nums2[index2 + k - 1];
}
if (index2 == n) {
return nums1[index1 + k - 1];
}
if (k == 1) {
return min(nums1[index1], nums2[index2]);
}
int newIndex1 = min(index1 + k / 2 - 1, m - 1);
int newIndex2 = min(index2 + k / 2 - 1, n - 1);
int pivot1 = nums1[newIndex1];
int pivot2 = nums2[newIndex2];
if (pivot1 <= pivot2) {
k -= newIndex1 - index1 + 1;
index1 = newIndex1 + 1;
} else {
k -= newIndex2 - index2 + 1;
index2 = newIndex2 + 1;
}
}
}
};
Java
java
class Solution {
public double findMedianSortedArrays(int[] nums1, int[] nums2) {
int n = nums1.length;
int m = nums2.length;
int[] merged = new int[n + m]; // 合并后的数组
int i = 0, j = 0, k = 0;
// 合并两个有序数组
while (j < n && k < m) {
if (nums1[j] < nums2[k]) {
merged[i++] = nums1[j++];
} else {
merged[i++] = nums2[k++];
}
}
// 如果 nums1 还有剩余元素
while (j < n) {
merged[i++] = nums1[j++];
}
// 如果 nums2 还有剩余元素
while (k < m) {
merged[i++] = nums2[k++];
}
// 计算中位数
int mid = (n + m) / 2;
if ((n + m) % 2 == 1) {
return merged[mid]; // 奇数长度,直接返回中间元素
} else {
return (merged[mid] + merged[mid - 1]) / 2.0; // 偶数长度,返回中间两个元素的平均值
}
}
}
Python
解题思路
- 合并数组 :直接合并两个有序数组,然后找到中位数。这种方法的时间复杂度为
O(m + n),不符合题目要求。- 二分查找 :利用有序数组的性质,通过二分查找的方式找到中位数,时间复杂度为
O(log(m + n))。二分查找的思路
- 将问题转化为在两个有序数组中寻找第
k小的数。- 每次比较两个数组中第
k/2小的数,排除较小的那一部分。- 递归或迭代地缩小范围,直到找到第
k小的数。复杂度分析
- 时间复杂度 :
O(log(m + n)),每次递归或迭代都会将问题规模减半。- 空间复杂度 :
O(1),只使用了常数级别的额外空间。
python
class Solution:
def findMedianSortedArrays(self, nums1: List[int], nums2: List[int]) -> float:
def findKth(nums1, nums2, k):
# 确保 nums1 是较短的数组
if len(nums1) > len(nums2):
nums1, nums2 = nums2, nums1
# 如果 nums1 为空, 直接返回 nums2 的第 k 小的数
if not nums1:
return nums2[k - 1]
# 如果 k == 1,返回两个数组的最小值
if k == 1:
return min(nums1[0], nums2[0])
# 取 nums1 和 nums2 的第 k//2 个数
i = min(len(nums1), k // 2)
j = min(len(nums2), k // 2)
# 比较 nums1[i-1] 和 nums2[j-1], 排除较小的那一部分
if nums1[i - 1] < nums2[j - 1]:
return findKth(nums1[i:], nums2, k - i)
else:
return findKth(nums1, nums2[j:], k - j)
m, n = len(nums1), len(nums2)
total = m + n
# 如果总长度为奇数, 返回第 (total + 1) // 2 小的数
if total % 2 == 1:
return findKth(nums1, nums2, (total + 1) // 2)
# 如果总长度为偶数, 返回第 total // 2 和第 total // 2 + 1 小的数的平均值
else:
return (findKth(nums1, nums2, total // 2) + findKth(nums1, nums2, total // 2 + 1)) / 2
5、[中等] 最长回文子串
动态规划
给你一个字符串
s,找到s中最长的 回文 子串。示例 1:
输入:s = "babad" 输出:"bab" 解释:"aba" 同样是符合题意的答案。示例 2:
输入:s = "cbbd" 输出:"bb"
C++
动态规划
c++
class Solution {
public:
string longestPalindrome(string s) {
int n = s.size();
if (n < 2) {
return s;
}
vector<vector<bool>> dp(n, vector(n, false));
int len = 1, begin = 0;
for (int j = 0; j < n; ++j) {
for (int i = 0; i <= j; ++i) {
if (s[i] == s[j]) {
dp[i][j] = i + 1 < j ? dp[i + 1][j - 1] : true;
}
if (dp[i][j] && j - i + 1 > len) {
len = j - i + 1, begin = i;
}
}
}
return s.substr(begin, len);
}
};
中心扩展
c++
class Solution {
public:
string longestPalindrome(string s) {
// 中心扩展算法
int begin = 0, len = 0, n = s.size();
for (int i = 0; i < n; ++i) // 一次枚举所有的中点
{
// 先做一次奇数长度的扩展
int left = i, right = i;
while (left >= 0 && right < n && s[left] == s[right]) {
--left;
++right;
}
if (right - left - 1 > len) {
begin = left + 1;
len = right - left - 1;
}
// 偶数长度的扩展
left = i, right = i + 1;
while (left >= 0 && right < n && s[left] == s[right]) {
--left;
++right;
}
if (right - left - 1 > len) {
begin = left + 1;
len = right - left - 1;
}
}
return s.substr(begin, len);
}
};
Java
- 动态规划 :使用动态规划来解决这个问题。定义
dp[i][j]表示字符串s[i..j]是否是回文子串。- 初始化 :所有长度为 1 的子串都是回文子串,即
dp[i][i] = true。- 状态转移 :
- 如果
s[i] == s[j],且s[i+1..j-1]是回文子串,则s[i..j]也是回文子串。- 如果
j - i < 3,即子串长度为 2 或 3,直接判断s[i] == s[j]即可。- 更新最长回文子串:在填充动态规划表的过程中,记录最长回文子串的长度和起始位置。
- 返回结果:根据记录的起始位置和长度,返回最长回文子串。
class Solution {
public String longestPalindrome(String s) {
int n = s.length();
if (n < 2) {
return s; // 如果字符串长度小于 2,直接返回
}
// 动态规划,dp[i][j] 表示 s[i..j] 是否是回文子串
boolean[][] dp = new boolean[n][n];
int maxLen = 1; // 最长回文子串的长度
int begin = 0; // 最长回文子串的起始位置
// 初始化:所有长度为 1 的字串都是回文子串
for (int i = 0; i < n; ++i) {
dp[i][i] = true;
}
// 动态规划填充表
for (int j = 1; j < n; ++j) {
for (int i = 0; i < j; ++i) {
if (s.charAt(i) == s.charAt(j)) {
// 如果 s[i] == s[j],且 s[i+1..j-1] 是回文子串, 则 s[i..j] 也是回文子串
if (j - i < 3) {
dp[i][j] = true; // 长度小于等于 3 时,直接为 true
} else {
dp[i][j] = dp[i + 1][j - 1];
}
}
// 更新最长回文子串的信息
if (dp[i][j] && j - i + 1 > maxLen) {
maxLen = j - i + 1;
begin = i;
}
}
}
// 返回最长回文子串
return s.substring(begin, begin + maxLen);
}
}
Python
解题思路
- 动态规划 :
- 定义
dp[i][j]表示字符串从索引i到j的子串是否是回文。- 如果
s[i] == s[j],则dp[i][j]的值取决于dp[i + 1][j - 1]。- 如果
j - i < 2(即子串长度为 1 或 2),则直接判断s[i] == s[j]。- 在遍历过程中,记录最长的回文子串的起始位置和长度。
- 中心扩展法 :
- 遍历字符串,以每个字符为中心向左右扩展,找到最长的回文子串。
- 需要考虑奇数长度和偶数长度的情况。
这里我们使用 动态规划 的方法来实现。
复杂度分析
- 时间复杂度 :
O(n^2),其中n是字符串的长度。需要填充一个n x n的动态规划表。- 空间复杂度 :
O(n^2),用于存储动态规划表。
python
class Solution:
def longestPalindrome(self, s: str) -> str:
n = len(s)
if n < 2: # 如果字符串长度小于 2, 直接返回
return s
# 初始化动态规划表
dp = [[False] * n for _ in range(n)]
max_len = 1 # 最长回文子串的长度
start = 0 # 最长回文子串的起始位置
# 所有长度为 1 的子串都是回文
for i in range(n):
dp[i][i] = True
# 遍历所有可能的子串长度
for length in range(2, n + 1):
for i in range(n):
j = i + length - 1 # 子串的结束位置
if j >= n: # 如果结束位置超出范围, 跳出循环
break
# 判断子串是否是回文
if s[i] == s[j]:
if length == 2: # 长度为 2 的子串
dp[i][j] = True
else: # 长度大于 2 的子串
dp[i][j] = dp[i + 1][j - 1]
# 更新最长回文子串的信息
if dp[i][j] and length > max_len:
max_len = length
start = i
# 返回最长回文子串
return s[start:start + max_len]
6、[中等] Z 字形变换
字符串 数学
将一个给定字符串
s根据给定的行数numRows,以从上往下、从左到右进行 Z 字形排列。比如输入字符串为
"PAYPALISHIRING"行数为3时,排列如下:
P A H N A P L S I I G Y I R之后,你的输出需要从左往右逐行读取,产生出一个新的字符串,比如:
"PAHNAPLSIIGYIR"。请你实现这个将字符串进行指定行数变换的函数:
string convert(string s, int numRows);示例 1:
输入:s = "PAYPALISHIRING", numRows = 3 输出:"PAHNAPLSIIGYIR"示例 2:
输入:s = "PAYPALISHIRING", numRows = 4 输出:"PINALSIGYAHRPI" 解释: P I N A L S I G Y A H R P I示例 3:
输入:s = "A", numRows = 1 输出:"A"
C++
class Solution {
public:
string convert(string s, int numRows) {
if (numRows == 1) {
return s;
}
string ret;
int d = 2 * numRows - 2;
int n = s.size();
// 1. 先处理第一行
for (int i = 0; i < n; i += d) {
ret += s[i];
}
// 2. 处理中间行
for (int k = 1; k < numRows - 1; k++) {
for (int i = k, j = d - k; i < n || j < n; i += d, j += d) {
if (i < n) {
ret += s[i];
}
if (j < n) {
ret += s[j];
}
}
}
// 3. 处理最后一行
for (int i = numRows - 1; i < n; i += d) {
ret += s[i];
}
return ret;
}
};
Python
解题思路
- 模拟 Z 字形排列 :
- 创建一个包含
numRows个字符串的列表,用于存储每一行的字符。- 使用一个变量
current_row表示当前字符应该放在哪一行。- 使用一个变量
direction表示当前是向下移动还是向上移动。- 遍历字符串,将字符添加到对应的行中,并根据方向更新
current_row。- 逐行读取字符 :
- 将每一行的字符按顺序拼接起来,得到最终结果。
复杂度分析
- 时间复杂度 :
O(n),其中n是字符串的长度。每个字符只会被处理一次。- 空间复杂度 :
O(n),用于存储每一行的字符。
class Solution:
def convert(self, s: str, numRows: int) -> str:
if numRows == 1 or numRows >= len(s): # 特殊情况处理
return s
# 初始化每一行的字符串
rows = [""] * numRows
current_row = 0 # 当前行
direction = -1 # 移动方向: 1 表示向下, -1 表示向上
for char in s:
rows[current_row] += char # 将字符添加到当前行
if current_row == 0 or current_row == numRows - 1: # 改变方向
direction *= -1
current_row += direction # 更新当前行
# 将所有行的字符串拼接起来
return "".join(rows)
7、[中等] 整数反转
数学
给你一个 32 位的有符号整数
x,返回将x中的数字部分反转后的结果。如果反转后整数超过 32 位的有符号整数的范围
[−231, 231 − 1],就返回 0。假设环境不允许存储 64 位整数(有符号或无符号)。
示例 1:
输入:x = 123 输出:321示例 2:
输入:x = -123 输出:-321示例 3:
输入:x = 120 输出:21示例 4:
输入:x = 0 输出:0
C++
c++
class Solution {
public:
int reverse(int x) {
int ret = 0;
while (x != 0) {
if (ret < INT_MIN / 10 || ret > INT_MAX / 10) {
return 0;
}
int digit = x % 10;
x /= 10;
ret = ret * 10 + digit;
}
return ret;
}
};
Java
java
class Solution {
public int reverse(int x) {
int reversed = 0;
while (x != 0) {
// 检查是否溢出
if (reversed < Integer.MIN_VALUE / 10 || reversed > Integer.MAX_VALUE / 10) {
return 0;
}
int digit = x % 10; // 获取最后一位数字
x /= 10; // 去掉最后一位数字
reversed = reversed * 10 + digit; // 将数字添加到反转结果中
}
return reversed;
}
}
Python
class Solution:
def reverse(self, x: int) -> int:
INT_MIN, INT_MAX = -(2**31), 2**31 - 1 # 32 位有符号整数的范围
ret = 0
# 初始化结果变量
while x != 0:
# 检查是否超出范围
# INT_MIN 也是一个负数,不能写成 rev < INT_MIN // 10
if ret < INT_MIN // 10 + 1 or ret > INT_MAX // 10:
return 0
digit = x % 10 if x > 0 else -(-x % 10) # 处理负数
x = x // 10 if x > 0 else -(-x // 10) # 处理负数
ret = ret * 10 + digit # 更新结果
return ret
8、[中等] 字符串转换整数
字符串

class Automaton {
private:
unordered_map<string, vector<string>> table = {
{"start", {"start", "signed", "in_number", "end"}},
{"signed", {"end", "end", "in_number", "end"}},
{"in_number", {"end", "end", "in_number", "end"}},
{"end", {"end", "end", "end", "end"}}};
int get_col(char c) {
if (isspace(c)) {
return 0;
}
if (c == '+' || c == '-') {
return 1;
}
if (isdigit(c)) {
return 2;
}
return 3;
}
public:
string state = "start";
int sign = 1;
long long ret = 0;
void get(char c) {
state = table[state][get_col(c)];
if (state == "in_number") {
ret = ret * 10 + c - '0';
ret = sign == 1 ? min(ret, (long long)INT_MAX) : min(ret, -(long long)INT_MIN);
} else if (state == "signed") {
sign = c == '+' ? 1 : -1;
}
}
};
class Solution {
public:
int myAtoi(string s) {
Automaton automaton;
for (char c : s) {
automaton.get(c);
}
return automaton.sign * automaton.ret;
}
};
9、[简单] 回文数
数学
class Solution {
public:
bool isPalindrome(int x) {
if (x < 0) {
return false;
}
long long ret = 0;
int tmp = x;
while (tmp) {
ret = ret * 10 + tmp % 10;
tmp /= 10;
}
return ret == x;
}
};
class Solution {
public:
bool isPalindrome(int x) {
if (x < 0 || x % 10 == 0 && x != 0) {
return false;
}
int revertedNumber = 0;
while (x > revertedNumber) {
revertedNumber = revertedNumber * 10 + x % 10;
x /= 10;
}
return x == revertedNumber || x == revertedNumber / 10;
}
};
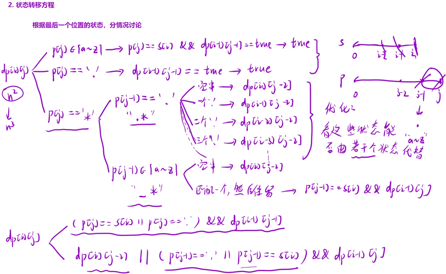
10、[困难] 正则表达式
字符串 动态规划

class Solution {
public:
bool isMatch(string s, string p) {
s = " " + s;
p = " " + p;
int m = s.size();
int n = p.size();
vector<vector<bool>> dp(m, vector(n, false));
dp[0][0] = true;
for (int j = 2; j <= n; j += 2) {
if (p[j] == '*') {
dp[0][j] = true;
} else {
break;
}
}
for (int i = 1; i < m; ++i) {
for (int j = 1; j < n; ++j) {
if (p[j] == '*') {
dp[i][j] = dp[i][j - 2] || (p[j - 1] == '.' || p[j - 1] == s[i]) && dp[i - 1][j];
} else {
dp[i][j] = (p[j] == s[i] || p[j] == '.') && dp[i - 1][j - 1];
}
}
}
return dp[m - 1][n - 1];
}
};
