1 题目
给定两个整数数组 inorder 和 postorder ,其中 inorder 是二叉树的中序遍历, postorder 是同一棵树的后序遍历,请你构造并返回这颗 二叉树 。
示例 1:

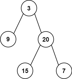
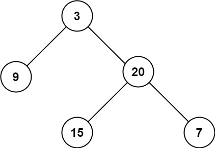
输入:inorder = [9,3,15,20,7], postorder = [9,15,7,20,3]
输出:[3,9,20,null,null,15,7]
示例 2:
输入:inorder = [-1], postorder = [-1]
输出:[-1]
提示:
1 <= inorder.length <= 3000postorder.length == inorder.length-3000 <= inorder[i], postorder[i] <= 3000inorder和postorder都由 不同 的值组成postorder中每一个值都在inorder中inorder保证是树的中序遍历postorder保证是树的后序遍历
2 代码实现
c++
cpp
/**
* Definition for a binary tree node.
* struct TreeNode {
* int val;
* TreeNode *left;
* TreeNode *right;
* TreeNode() : val(0), left(nullptr), right(nullptr) {}
* TreeNode(int x) : val(x), left(nullptr), right(nullptr) {}
* TreeNode(int x, TreeNode *left, TreeNode *right) : val(x), left(left), right(right) {}
* };
*/
class Solution {
private:
unordered_map<int,int> inorder_map;
TreeNode* build(vector<int>& postorder ,int post_start ,int post_end ,int in_start){
if (post_start> post_end){
return nullptr;
}
int root_val = postorder[post_end];
TreeNode* root = new TreeNode(root_val);
int root_idx_in = inorder_map[root_val];
int left_subtree_size = root_idx_in - in_start;
root -> left = build(postorder , post_start ,post_start + left_subtree_size - 1 , in_start);
root -> right = build(postorder ,post_start + left_subtree_size ,post_end - 1 ,root_idx_in +1 );
return root ;
}
public:
TreeNode* buildTree(vector<int>& inorder, vector<int>& postorder) {
int n = inorder.size();
for (int i = 0 ; i < n ; ++i){
inorder_map[inorder[i]] = i ;
}
return build(postorder , 0 , n -1 , 0 );
}
};
js
javascript
/**
* Definition for a binary tree node.
* function TreeNode(val, left, right) {
* this.val = (val===undefined ? 0 : val)
* this.left = (left===undefined ? null : left)
* this.right = (right===undefined ? null : right)
* }
*/
/**
* @param {number[]} inorder
* @param {number[]} postorder
* @return {TreeNode}
*/
var buildTree = function(inorder, postorder) {
const inorderMap = new Map();
const n = inorder.length;
for (let i = 0 ; i < n ; i++){
inorderMap.set(inorder[i] , i);
}
const build = (postStart , postEnd , inStart) => {
if (postStart > postEnd){
return null ;
}
const rootVal = postorder[postEnd];
const root = new TreeNode(rootVal);
const rootIdx = inorderMap.get (rootVal);
const leftSubtreeSize = rootIdx - inStart ;
root.left = build (postStart ,postStart + leftSubtreeSize - 1 , inStart);
root.right = build(postStart + leftSubtreeSize , postEnd - 1 , rootIdx + 1 );
return root ;
}
return build (0 , n- 1 ,0);
};
思考
这个是数据结构的题目,我知道怎么做,中序是左根右,后序是左右根,不知道怎么说,这该如何是好,不知道从哪里写,我只会手写做题...
题解
你现在想解决的是从中序和后序遍历序列构造二叉树的问题,知道中序是左根右、后序是左右根的遍历规则,但不知道怎么把这个手写解题的思路转化成 C++ 代码,我来一步步帮你实现。
解题思路
核心思路是利用遍历序列的特性递归构建:
- 后序遍历的最后一个元素是当前子树的根节点;
- 在中序遍历中找到根节点的位置,左边是左子树的中序序列,右边是右子树的中序序列;
- 根据中序中左 / 右子树的节点数量,拆分后序序列(后序中前 N 个是左子树,中间 M 个是右子树,最后 1 个是根);
- 递归构建左子树和右子树,挂载到根节点上。
为了提高查找根节点在中序中位置的效率,我们可以先用哈希表存储中序序列的 "值 - 索引" 映射。
C++ 完整代码实现
cpp
#include <iostream>
#include <vector>
#include <unordered_map>
using namespace std;
// 定义二叉树节点结构
struct TreeNode {
int val;
TreeNode *left;
TreeNode *right;
TreeNode() : val(0), left(nullptr), right(nullptr) {}
TreeNode(int x) : val(x), left(nullptr), right(nullptr) {}
TreeNode(int x, TreeNode *left, TreeNode *right) : val(x), left(left), right(right) {}
};
class Solution {
private:
// 哈希表存储中序序列的 值->索引,避免每次查找根节点都遍历
unordered_map<int, int> inorder_map;
/**
* 递归构建二叉树
* @param postorder 后序遍历数组
* @param post_start 后序序列当前子树的起始索引
* @param post_end 后序序列当前子树的结束索引
* @param in_start 中序序列当前子树的起始索引
* @return 当前子树的根节点
*/
TreeNode* build(vector<int>& postorder, int post_start, int post_end, int in_start) {
// 递归终止条件:起始索引 > 结束索引,说明当前子树无节点
if (post_start > post_end) {
return nullptr;
}
// 1. 后序序列的最后一个元素是当前子树的根节点
int root_val = postorder[post_end];
TreeNode* root = new TreeNode(root_val);
// 2. 找到根节点在中序序列中的索引
int root_idx_in = inorder_map[root_val];
// 计算左子树的节点数量(中序中根左边的节点数)
int left_subtree_size = root_idx_in - in_start;
// 3. 递归构建左子树
// 后序中左子树范围:[post_start, post_start + left_subtree_size - 1]
// 中序中左子树范围:[in_start, root_idx_in - 1]
root->left = build(postorder, post_start, post_start + left_subtree_size - 1, in_start);
// 4. 递归构建右子树
// 后序中右子树范围:[post_start + left_subtree_size, post_end - 1]
// 中序中右子树范围:[root_idx_in + 1, 末尾]
root->right = build(postorder, post_start + left_subtree_size, post_end - 1, root_idx_in + 1);
return root;
}
public:
TreeNode* buildTree(vector<int>& inorder, vector<int>& postorder) {
// 初始化哈希表
int n = inorder.size();
for (int i = 0; i < n; ++i) {
inorder_map[inorder[i]] = i;
}
// 调用递归函数,初始范围是整个后序序列和中序序列的起始位置
return build(postorder, 0, n - 1, 0);
}
};
// 辅助函数:层序遍历打印二叉树(验证结果)
void printTree(TreeNode* root) {
if (!root) {
cout << "[]" << endl;
return;
}
vector<TreeNode*> queue;
queue.push_back(root);
vector<string> res;
while (!queue.empty()) {
TreeNode* node = queue.front();
queue.erase(queue.begin());
if (node) {
res.push_back(to_string(node->val));
queue.push_back(node->left);
queue.push_back(node->right);
} else {
res.push_back("null");
}
}
// 去掉末尾多余的null
while (!res.empty() && res.back() == "null") {
res.pop_back();
}
cout << "[";
for (int i = 0; i < res.size(); ++i) {
if (i > 0) cout << ",";
cout << res[i];
}
cout << "]" << endl;
}
// 测试用例
int main() {
Solution s;
// 示例1
vector<int> inorder1 = {9,3,15,20,7};
vector<int> postorder1 = {9,15,7,20,3};
TreeNode* root1 = s.buildTree(inorder1, postorder1);
printTree(root1); // 输出:[3,9,20,null,null,15,7]
// 示例2
vector<int> inorder2 = {-1};
vector<int> postorder2 = {-1};
TreeNode* root2 = s.buildTree(inorder2, postorder2);
printTree(root2); // 输出:[-1]
return 0;
}
代码关键部分解释
- 哈希表初始化 :
inorder_map存储中序序列每个值对应的索引,把查找根节点位置的时间复杂度从 O (n) 降到 O (1); - 递归函数
build:- 参数
post_start/post_end限定当前子树在后序序列的范围,in_start限定当前子树在中序序列的起始位置; - 先取后序末尾元素作为根节点,再拆分出左 / 右子树的范围,递归构建;
- 参数
- 递归终止条件 :当
post_start > post_end时,说明当前子树没有节点,返回nullptr; - 辅助打印函数:层序遍历打印二叉树,方便验证结果是否符合预期。
总结
- 核心逻辑:后序找根,中序分左右,递归构建子树;
- 优化技巧:用哈希表存储中序索引,避免重复遍历,提升效率;
- 递归边界:注意后序 / 中序序列的索引范围,避免越界(比如左子树节点数为 0 时,直接返回 null)。
这段代码可以直接编译运行,输入示例中的测试用例就能得到对应的二叉树结构,你可以结合手写解题的思路,对照代码里的索引拆分逻辑,理解如何把 "找根 - 分左右 - 递归" 的思路转化为代码。
3 题目
给定一个二叉树 root ,返回其最大深度。
二叉树的 最大深度 是指从根节点到最远叶子节点的最长路径上的节点数。
示例 1:

输入:root = [3,9,20,null,null,15,7]
输出:3
示例 2:
输入:root = [1,null,2]
输出:2
提示:
- 树中节点的数量在
[0, 104]区间内。 -100 <= Node.val <= 100
4 代码实现
c++
cpp
/**
* Definition for a binary tree node.
* struct TreeNode {
* int val;
* TreeNode *left;
* TreeNode *right;
* TreeNode() : val(0), left(nullptr), right(nullptr) {}
* TreeNode(int x) : val(x), left(nullptr), right(nullptr) {}
* TreeNode(int x, TreeNode *left, TreeNode *right) : val(x), left(left), right(right) {}
* };
*/
class Solution {
public:
int maxDepth(TreeNode* root) {
if (root == nullptr){
return 0 ;
}
int left = maxDepth(root -> left );
int right = maxDepth(root -> right );
int res = max(left , right) + 1;
return res ;
}
};
js
javascript
/**
* Definition for a binary tree node.
* function TreeNode(val, left, right) {
* this.val = (val===undefined ? 0 : val)
* this.left = (left===undefined ? null : left)
* this.right = (right===undefined ? null : right)
* }
*/
/**
* @param {TreeNode} root
* @return {number}
*/
var maxDepth = function(root) {
if (root == null){
return 0 ;
}
let left = maxDepth(root.left);
let right = maxDepth(root.right);
let res = left > right ? left : right;
return res + 1 ;
};
思考
dfs,递归,其实我都不知道自己这样写是不是对的。
自己写的不知道哪里错了
cpp
/**
* Definition for a binary tree node.
* struct TreeNode {
* int val;
* TreeNode *left;
* TreeNode *right;
* TreeNode() : val(0), left(nullptr), right(nullptr) {}
* TreeNode(int x) : val(x), left(nullptr), right(nullptr) {}
* TreeNode(int x, TreeNode *left, TreeNode *right) : val(x), left(left), right(right) {}
* };
*/
class Solution {
public:
int maxDepth(TreeNode* root) {
if (root == nullptr){
return 0 ;
}
int depth = 1 ;
maxDepth(root -> left );
maxDepth(root -> right );
if (root -> left || root -> right){
depth ++ ;
}
return depth;
}
};
核心提醒 1:递归的返回值被 "浪费" 了
你写了 maxDepth(root -> left) 和 maxDepth(root -> right),但这两个递归调用会返回左 / 右子树的深度 ------ 你却完全没接收这个返回值,相当于白递归了,根本没用到左右子树的真实深度。
举个例子:示例 1 中根节点 3 的左子树(9)深度是 1,右子树(20)深度是 2,但你的代码没拿到这两个数,自然没法选最大的那个。
核心提醒 2:深度计算逻辑错误
你用 if (root -> left || root -> right) { depth ++; } 来加深度,这个逻辑只判断 "有没有子节点",但没考虑:
- 比如节点 20 有两个子节点(15、7),它的深度应该是 "1(自己) + 子树最大深度 1"=2,但你的逻辑只会无脑 + 1,没法处理 "子树本身还有多层" 的情况;
- 比如叶子节点(9、15、7),没有子节点,depth 应该保持 1,但你的逻辑也不会错;但非叶子节点的深度计算会完全偏离。
管好你自己!
终于通过了~之前虽然提交过但是居然直接调cpp的库哈哈哈...当时不求甚解也丝毫不懂递归。
递归写二叉树,每一个节点只需要管好它自己:
- 我不问左边到底有多深、右边到底有多深
- 我不帮左边算、不帮右边算
- 我只做一件事:把左边的结果、右边的结果拿过来 → 选个大的 +1 → 还给上层
「管好你自己」就是:
- 别越界:不去管子树怎么算
- 别偷懒:把自己该加的 1 加上
- 别乱改:只处理当前这一层的逻辑
- 别瞎操心:递归会把下面的结果乖乖给你
只处理当前节点,剩下的交给递归。
cpp
/**
* Definition for a binary tree node.
* struct TreeNode {
* int val;
* TreeNode *left;
* TreeNode *right;
* TreeNode() : val(0), left(nullptr), right(nullptr) {}
* TreeNode(int x) : val(x), left(nullptr), right(nullptr) {}
* TreeNode(int x, TreeNode *left, TreeNode *right) : val(x), left(left), right(right) {}
* };
*/
class Solution {
public:
int maxDepth(TreeNode* root) {
if (root == nullptr){
return 0 ;
}
int left = maxDepth(root -> left );
int right = maxDepth(root -> right );
int res = max(left , right) + 1;
return res ;
}
};
5 小结
总是不求甚解,一看都是做过的或者类似的题目,但是自己纯手写一遍也还是不会,需要好好总结和反思,还有lc抓紧白天写,不要拖拖拉拉!