给你单链表的头节点 head ,请你反转链表,并返回反转后的链表。
示例 1:

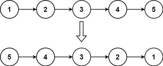
输入:head = [1,2,3,4,5]
输出:[5,4,3,2,1]
示例 2:

输入:head = [1,2]
输出:[2,1]
示例 3:
输入:head = []
输出:[]
这是反转链表 问题,是链表作的经典基础题。有迭代 和递归两种解法。
核心思路
迭代法:逐个改变节点的 next 指针方向,从指向后继改为指向前驱。
原链表: 1 → 2 → 3 → 4 → 5 → null
反转后: null ← 1 ← 2 ← 3 ← 4 ← 5
↑
新头节点
解法1:迭代(推荐)
java
class Solution {
public ListNode reverseList(ListNode head) {
ListNode prev = null; // 前一个节点
ListNode curr = head; // 当前节点
while (curr != null) {
ListNode next = curr.next; // 保存下一个节点
curr.next = prev; // 反转指针
prev = curr; // prev 前移
curr = next; // curr 前移
}
return prev; // prev 是新的头节点
}
}
```
### 详细演示
```
原链表: 1 → 2 → 3 → null
初始状态:
prev = null
curr = 1
next = ?
第1轮:
------------------
next = curr.next = 2 // 保存下一个节点
curr.next = prev // 1 → null
prev = curr // prev 移到 1
curr = next // curr 移到 2
状态: null ← 1 2 → 3 → null
↑ ↑
prev curr
第2轮:
------------------
next = curr.next = 3
curr.next = prev // 2 → 1
prev = curr // prev 移到 2
curr = next // curr 移到 3
状态: null ← 1 ← 2 3 → null
↑ ↑
prev curr
第3轮:
------------------
next = curr.next = null
curr.next = prev // 3 → 2
prev = curr // prev 移到 3
curr = next // curr 移到 null
状态: null ← 1 ← 2 ← 3 null
↑ ↑
prev curr
第4轮:
------------------
curr == null,循环结束
返回 prev = 3(新的头节点)
最终链表: null ← 1 ← 2 ← 3
```
### 图解三指针
```
迭代过程的三个指针:
prev curr next
↓ ↓ ↓
null 1 → 2 → 3 → null
步骤1: curr.next = prev
null ← 1 2 → 3 → null
步骤2: prev 和 curr 都向右移动
prev curr next
↓ ↓ ↓
null ← 1 2 → 3 → null
重复...
解法2:递归
java
class Solution {
public ListNode reverseList(ListNode head) {
// 递归终止条件
if (head == null || head.next == null) {
return head;
}
// 递归反转后面的链表
ListNode newHead = reverseList(head.next);
// 改变指针方向
head.next.next = head;
head.next = null;
return newHead;
}
}
```
### 详细演示
```
原链表: 1 → 2 → 3 → null
递归调用栈:
reverseList(1)
├─ reverseList(2)
│ ├─ reverseList(3)
│ │ └─ reverseList(null) // 返回 3
│ │
│ └─ 处理节点2和节点3的关系
│
└─ 处理节点1和节点2的关系
详细步骤:
------------------
调用 reverseList(1):
调用 reverseList(2):
调用 reverseList(3):
调用 reverseList(null):
返回 3
// 现在处理节点3
head = 3, head.next = null
返回 3 (已经是尾节点,不需要操作)
// 现在处理节点2
head = 2, newHead = 3
head.next.next = head // 3.next = 2
head.next = null // 2.next = null
状态: null ← 2 ← 3
返回 newHead = 3
// 现在处理节点1
head = 1, newHead = 3
head.next.next = head // 2.next = 1
head.next = null // 1.next = null
状态: null ← 1 ← 2 ← 3
返回 newHead = 3
最终: null ← 1 ← 2 ← 3
↑
newHead
```
### 递归图解
```
原链表: 1 → 2 → 3 → null
递归到最深层:
1 → 2 → 3 → null
↑
递归终止,返回3
开始回溯:
------------------
处理 2 和 3:
head = 2, newHead = 3
head.next.next = head
即: 3.next = 2
1 → 2 ← 3
↓
null
------------------
处理 1 和 2:
head = 1, newHead = 3
head.next.next = head
即: 2.next = 1
null ← 1 ← 2 ← 3
↑
返回这个
复杂度分析
迭代法
- 时间复杂度: O(n) --- 遍历一遍链表
- 空间复杂度: O(1) --- 只用了三个指针
递归法
- 时间复杂度: O(n) --- 每个节点访问一次
- 空间复杂度: O(n) --- 递归调用栈深度
本质
反转链表的核心是指针作:
- 迭代法:自底向上,逐个改变指针方向
- 递归法:自顶向下,利用递归栈回溯时改变指针
两种方法思想不同,但都是改变 指针的指向,从指向后继改为指向前驱。next