中等
提示
给定一个二叉搜索树的根节点 root ,和一个整数 k ,请你设计一个算法查找其中第 k小的元素(从 1 开始计数)。
示例 1:

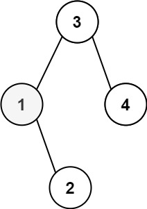
输入:root = [3,1,4,null,2], k = 1
输出:1
示例 2:

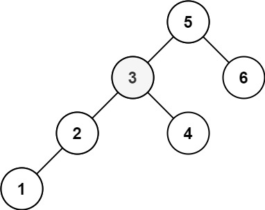
输入:root = [5,3,6,2,4,null,null,1], k = 3
输出:3
提示:
- 树中的节点数为
n。 1 <= k <= n <= 1040 <= Node.val <= 104
📝 核心笔记:二叉搜索树中第 K 小的元素 (Kth Smallest Element in a BST)
1. 核心思想 (一句话总结)
"在 BST 里走中序遍历,就等于在有序数组里数数。"
- 我们不需要真的把树转换成数组。
- 我们只需要一边走(左->根->右),一边倒数
k。 - 当
k减到 0 时,脚下的那个节点就是答案。
2. 算法流程 (递归倒数)
- 初始化 :记录全局
k。 - DFS (中序):
-
- Go Left:先去左子树找(因为最小的肯定在左边)。
- Check Root:
-
-
- 每访问一个节点,
k减 1。 - 判断:如果
k == 0,说明当前节点就是第 k 小的,记录ans。
- 每访问一个节点,
-
-
- Go Right :如果还没找到(
k > 0),再去右子树找。
- Go Right :如果还没找到(
🔍 代码回忆清单
// 题目:LC 230. Kth Smallest Element in a BST
class Solution {
// 全局变量,避免递归传参的麻烦
private int ans;
private int k;
public int kthSmallest(TreeNode root, int k) {
this.k = k;
dfs(root);
return ans;
}
private void dfs(TreeNode node) {
// 1. Base Case & 剪枝
// 注意:这里建议写 k <= 0,防止 k 减成负数后绕过检查
if (node == null || k <= 0) {
return;
}
// 2. 左
dfs(node.left);
// 3. 根 (中序位置)
// 每次从中序遍历中访问一个节点,就相当于在有序数组里划掉一个数
if (--k == 0) {
ans = node.val; // 找到了!
return; // 找到后可以直接 return,不用去右边了 (小优化)
}
// 4. 右
dfs(node.right);
}
}
⚡ 快速复习 CheckList (微调建议)
-
\] **关于** **k****变成负数的问题 (隐蔽 Bug)**
-
- 在您的原始代码中,
if (--k == 0)会让k继续减少变为 -1, -2... - 而开头检查的是
if (k == 0)。 - 后果 :当找到答案后,回溯到上层父节点时,
--k会让k变成负数,从而导致开头的k == 0拦截失效,程序会继续无意义地遍历右子树。 - 修复 :将
if (node == null || k == 0)改为if (node == null || k <= 0)即可实现完美的提前终止。
- 在您的原始代码中,
-
\] **迭代法 (Iterative) 怎么写?**
-
- 面试中如果要求非递归,还是用 栈 (Stack) 模拟中序遍历。
- 一路向左
push,弹出一个就k--,直到k==0返回当前值,否则转向右子树。迭代法的好处是可以控制while循环直接return,不需要像递归那样等待栈逐层弹出。
🖼️ 数字演练
树:
3
/ \
1 4
\
2
Target: k = 2
- dfs(3) -> Call dfs(1).
- dfs(1) -> Call dfs(null) (Returns).
- Process 1:
-
kbecomes1.- Not 0. Continue.
- dfs(1) -> Call dfs(2) (Right child).
- dfs(2) -> Call dfs(null).
- Process 2:
-
kbecomes0.- Bingo!
ans = 2. - (With optimization) Return logic starts unwinding.