了解什么是ERL必读的三篇文章:
回波损耗(RL)与电气标准
回波损耗对电气标准有多大影响?以往标准中的许多分析都基于宽带概念,这些概念在频域(FD)中规定了标准和计算的组合,涉及插入损耗(IL)、回波损耗(RL)以及近端和远端串扰(NEXT和FEXT)的dB量级。
2015年,针对以太网背板和铜缆的100Gb/s IEEE802.3标准中引入了信道和设备的时域系统预算。"将系统规范转变为时域规范,为IEEE P802.3bj工作组采纳'信道运行裕度'(COM)规范的概念打开了大门,该规范随后提供了整个系统的统一预算。"COM规定了根据脉冲响应在时域计算的最小信噪比,该比值与高速差分数字信号的基带特性更为紧密相关。
COM中使用的脉冲响应,可以通过对参考封装,以及通道上复杂受害者和攻击者s参数模型的逆快速傅里叶变换(iFFT)来确定。参考封装仅作为参考,旨在模拟最坏情况。IEEE 802.3cd临时标准中的工作表明,封装和/或设备的微小变化可能导致COM计算的变化。建议使用频域(FD)回波损耗(RL)来限制这些变化。短参考封装的频域回波损耗比长参考封装差,但在系统中,包含短参考封装的完整信道平均表现更好。
问题:
即使系统在使用参考设备和信道特性进行规范分析时通过了,在实际应用中仍有可能出现故障。从规范的角度来看,这是一种"假阳性"结果。同样,即使系统在使用参考设备和信道特性进行规范分析时未通过,在实际应用中仍有可能正常运行。这是一种"假阴性"结果。
对于 25、50 和 100 Gb/s 系统,很容易通过限制回波损耗(RL),将 "误报(假阳性)" 控制在极低水平,但其代价是会产生过多的漏报(假阴性)。有人可能会认为,这无异于将合格产品直接报废。
目标是确定器件回波损耗(Return Loss)分析与时域COM 结果之间的关联,并在 误报(假阳性)与漏报(假阴性)之间取得平衡。
PAM-4比NRZ对回波损耗更为敏感。封装回波损耗具有很强的反射分量,并与信道反射以及判决反馈均衡器(DFE) 信令架构相互作用。
器件近端产生的通道反射会导致COM性能变差,而判决反馈均衡器(DFE)对此有显著的抑制作用。对于短封装来说,其附近的这类通道反射在配备 DFE 时可以被抵消。这表明,DFE 的存在会改变回波损耗(RL)的指标要求。
回波损耗(RL)包含插入损耗和二次反射分量,这使其在预测通道性能时成为一项较差的指标。短封装的回波损耗比长封装更差,但平均性能却更好。
通过调整DFE(判决反馈均衡器)和插入损耗,可以改善回波损耗(Return Loss)的指标。其中一种称为"有效回波损耗(ERL)"的方法,能够基于选定测试点的反射电压脉冲,计算出一个单一数值指标。与频域(FD)模板相比,单一数值指标更为清晰。由于ERL是一个数值而非频域矢量,因此非常适合与实验设计(DOE)等方法结合进行分析。
回损和PAM4
对于100 Gb/s和50 Gb/s速率而言,一个复杂之处在于,由于系统带宽和功耗的限制,信号传输可能需要采用4电平脉冲幅度调制(PAM-4)。与不归零(NRZ)信号相比,PAM-4对回波损耗的要求更具挑战性。
与NRZ(不归零)信号相比,PAM-4所需的信号带宽大约减少了一半。由于频率相关的损耗较低,这相当于获得了约1.6倍(即4.1 dB)的信号增益。但受限于非理想的频率相关介质损耗和导体损耗,该增益并非与带宽比例直接对应。PAM-4信号的幅度仅为NRZ的1/3。然而,串扰和回波损耗的改善程度并不相同,如下面公式所示(其中PAM-4的L=4),它们仅降低了原来的约1/4。下面公式算出来的值约0.75。

非线性效应可能使信号再降低约5%。综合这些因素,如下图所示,PAM-4的回波损耗比NRZ严重约3.4 dB。

分离回波损耗与反射的影响
考虑一个差分通道,其除了损耗外唯一的损伤是反射。 本实验仅引入通道反射,同时保持插入损耗恒定。该插入损耗在13.3 GHz处为27.1 dB。通过比较COM、有效回波损耗(ERL)、带有时域门控加权滤波器的ERL、频域回波损耗以及脉冲响应的结果,来评估二次反射的影响。
图2中,"a"是反射结构的引入段。反射结构是一个由长度为"b"的差分传输线段组成的"π"型电路。电容器作为受控反射元件,连接在传输线两侧与地之间。有损传输线方程在IEEE Std 802.3™-2015的附录93A中有描述。
段a、b和c均采用线缆组件host参数,但a段和c段的差分特性阻抗Zc为100欧姆,而b段的Zc为120欧姆。完整信道包含用于50 Gb/s PAM-4串行背板和线缆一致性测试的通道运行裕量(COM)计算中的参考封装模型。测试1和测试2的封装长度(Zp)分别为12 mm和30 mm。再反射的影响将通过比较COM(通道运行裕量)、有效回波损耗(ERL)、带时域门控加权滤波器的ERL、频域回波损耗以及脉冲响应的结果进行评估。
图2中所示为对地单端电容,其容值为200 fF或400 fF。由于这是一个受控实验,COM参数中的抖动被设为零,接收机噪声(η0)设为接近零,且发送端信噪比(SNRTx)调整为24 dB,以实现约3 dB的COM值。

脉冲时域反射计(PTDR)简介
图3展示了脉冲时域反射计(PTDR)的原理,它仅是使用脉冲作为源的时域反射计。可选择使用测试夹具来替代去嵌操作,但本实验未使用测试夹具。Tfx表示信号从测试夹具末端输出所需的时间,在本文中设为零。TDR源采用高斯脉冲(20%-80%上升时间)Tr=18.9 ps。接收端滤波器采用50 Gb/s背板和线缆COM计算中使用的巴特沃斯滤波器。

PTDR信号在无负载接收端(Rx)滤波器的输出端观测。该滤波器的系统响应Hr(f)(以3 dB截止频率fr表示)为:

PTDR信号可以从被测器件或信道的S参数(无论是否级联测试夹具)生成,也可以使用时域反射计设备,通过从入射脉冲中减去延迟的入射脉冲生成。如果级联了测试夹具,可以通过时域门控将其从"信道+测试夹具"的组合中去嵌。下文将对此进行简要说明。
PTDR信号可施加到端口1或端口2,反射波由sdd11或sdd22的逆变换给出。图3展示了使用端口1和sdd11响应的情况。发射端过渡滤波器Ht(f)是频率f和过渡时间Tr的函数,其定义如公式3所示:

差分端口1的滤波后回波损耗系统响应H11rl(f)由下式给出:

类似地,将S22(f)代入公式4即可定义H22(f)。
PTDR脉冲函数的变换由X(f)定义,它是频率的函数。

其中sinc(x) = sin(πx)/(πx),Tb = 1/fb,fb为波特率。Tb通常也称为单位间隔(UI)。根据X(f)和H11,可生成脉冲时域反射响应:

类似地,PTDR22(t)由H22(f)定义。
当被测器件只有一个差分端口时,PTDR(t)即指PTDR11(t)。PTDR也可用于非差分信号,尽管以下内容主要针对50和100 Gb/s的差分信令。
确定PTDR的替代方法
PTDR(t)也可通过具备足够滤波和带宽能力的阶跃TDR仪器获取。具体步骤是对反射的滤波电压波形进行归一化。一种方法是从测得的TDR电压波形中减去完美端接负载下的稳定阶跃电压,再将结果波形除以该稳定阶跃电压值。根据仪器架构的不同,还有其他多种方法可选。最终得到的是反射波形,某些仪器可能以ρ或mρ为单位表示该波形,记为ρs(t)。则PTDR(t)可表示为:

有效反射Reff(t)
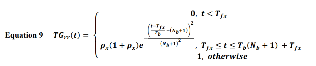
有效反射波形Reff(t)通过对PTDR响应波形PTDR(t)进行时域门控和加权计算得到。TGrr(t)和TGloss(t)为时域门控加权函数。

其中:TGrr(t)和TGloss(t)为时域门控加权函数。
系统架构中判决反馈均衡器(DFE)的存在会改变反射的影响。DFE可在一定数量的单位间隔(NbUI)范围内补偿接收端输入端口处的反射。但DFE不会消除接收端输入端口处的物理反射,信号可能再次反射回发送端,并与其他反射元件相互作用。时域门控加权因子TGrr(t)可用于消除DFE范围内(NbUI内)的反射,并用于调整器件、信道或被测组件的反射脉冲(PTDR)。

其中:
-
Nb是信令架构中DFE的抽头数
-
Tb是一个符号的时间(即单位间隔UI)
-
t是以秒为单位的时间
-
Tfx是信号从测试夹具中传出的时间
-
ρx是DUT(被测器件)外部系统的有效平均反射系数
针对8、10、12和14 UI四种DFE长度的示例计算。

ERL可针对封装或信道进行计算。封装的ERL用于计算信道的ρx,反之亦然。可将ρx视为从端口向外看时,由所有其他可能反射产生的等效单一反射。
此外还需要考虑一个事实:插入损耗(Insertion Loss)的存在会抑制反射信号。一旦计入插入损耗,观测到反射更小的器件,反而可能具有更低的信噪比(SNR)。这一点在使用参考 COM 封装的 COM 结果中得到了验证。该封装在两段(12 mm 和 30 mm)中等损耗传输线的两侧各接入一个电容,因此需要分别指定短封装与长封装。结果表明,对于 50 Gb/s PAM‑4 背板及芯片间信号,长封装的反射时延接近 Nb・UI。
COM 结果一致表明:两端级联短封装的信道,其性能要优于采用长封装的相同信道。平均而言,小封装的频域回波损耗(FD RL)反而更差。另一个通过实验确定的时间门控加权因子 TGloss (t),被用于补偿 DFE 均衡范围内(Nb 个单位间隔内)的损耗。

βx 项可通过两种不同损耗封装所对应信道的可用信号比值来确定。若存在测试夹具,还可对其进行修正。
另一种思路是对时间门控加权函数 TGrr (t) 和 TGloss (t) 采用散射函数,但还需要进一步研究,以将器件信号架构与测试系统参数关联起来。
计算ERL
Reff(t)可表示为时域采样反射波reffn,m。每UI的采样数用"M"表示,每次测量的UI数用N表示,其中n=1:N,m=1:M。总采样数为MN。下文将介绍两种从reffn,m计算ERL的方法。
第一种方法是将ERL简单定义为reff的均方根(RMS),记为ERLRMS。当分别指端口1或端口2时,ERLRMS记为ERL11RMS或ERL22RMS。
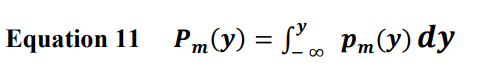
第二种方法利用卷积来包含随机数据、编码和误码率(BER)的影响。采用COM中的方法,定义有效反射累积分布函数(CDF)P(y)如下:

对于每个采样点m,反射幅度集合ERLm是满足P(y0) = BER(或以COM参数表示的DER0)关系的|y0|的正分贝值。ERL是ERLm集合中的最小值。当分别指端口1或端口2时,ERL记为ERL11或ERL22。
ERL PDF和CDF
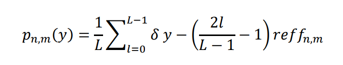
每个采样点的个体概率pn,m(y)由reffn,m、信号电平数(L)和狄拉克δ函数δ(y)确定。

每个UI中采样点m的反射概率密度函数(PDF)由个体概率pn,m(y)定义如下:

简而言之,该方法可表示为:

将ERL转换为正分贝值,使其在某种程度上类似于频域中的回波损耗(RL)。
实验中的脉冲响应洞察
脉冲响应可以揭示反射是如何被接收的。图5展示了实验中的两种情况:上图是引入段"a"距离封装1 mm的情况,下图是"a"为40 mm(在时间上等于DFE长度)的情况。两个反射点之间的距离设为10 mm,小于DFE对应的时间。注意到当a=1 mm时,DFE的抵消效果比a=40 mm时更显著,但COM性能更好。而a=40 mm的情况会引发更多的再反射。

如图6所示,当反射组距离更远(a=160 mm)时,信道性能有所改善。尽管160 mm情况下的码间干扰(ISI)抵消更显著,但再反射几乎不存在。
反射的远近特性表明,ERL与性能(COM)存在相关性。图7中,上图的y轴为COM,下图的y轴为ERL,x轴为引入段长度"a"(即反射特征与发送端器件的距离)。两条COM曲线对应用于计算COM的不同封装。较短封装的性能(COM)似乎存在一个"平台区",其原因是接收端脉冲响应中码间干扰(ISI)抵消区域超出了仅由短封装产生的反射范围。这意味着PCB的扇出(BOR)对小封装缺陷的容忍度高于大封装。


图8是对图7的修改,但其中ERL未进行门控处理。无门控的ERL似乎与频域回波损耗(FD RL)矢量具有相同的趋势。当"a"最小时,ERL最差,这并不意外。这意味着,假设使用DFE的信令架构对回波损耗的要求与不使用DFE的架构不同。

ERLRMS vs ERL
ERLRMS的计算比使用CDF和卷积计算的ERL简单得多。在本实验中,ERLRMS和ERL的跟踪效果相当好,如图9左侧图表所示。然而,对于更复杂的27个IEEE 50 Gb/s信道,其相关性不如右侧相关图所示的那样好。

发送端或接收端附近的反射
另一项实验得出了一些有趣的结果。在这个版本的实验中,引入段"a"可以扫过信道的整个长度。图10所示的COM结果表明,放置在器件发送端或接收端附近的反射对性能的影响相似。与之前一样,当反射距离器件20 mm以内时,COM性能明显保持恒定。在这两种情况下,可以注意到在40 mm处COM的平均值开始增加。这表明ERL的门控加权函数可能是有效的。

COM封装模型的TDR、ERL与频域回波损耗
通过比较图11中12 mm和30 mm封装的PTDR和ERL,可以看出加权门控对PTDR和ERL的影响。图表右上部分为加权门控结果,左上部分为无加权门控结果。在加权门控下,12 mm封装的ERL优于30 mm封装。而无加权门控时,12 mm封装的ERL较差,但如前所述,这并不一定反映真实情况。左下图表为以阻抗为y轴的TDR结果。右下图表显示,12 mm封装的频域回波损耗峰值高于30 mm封装。

总结
有效回波损耗(ERL)与回波损耗本身天然包含回波损耗特性。通道操作裕度(COM)性能结果表明,回波损耗的影响与判决反馈均衡器(DFE)的存在相关。文中给出了一种将 ERL 作为回波损耗指标进行计算的方法:该指标会针对回波损耗中固有的插入损耗进行修正,并针对 DFE 的存在进行补偿。
ERL 是一个可由回波损耗推导得出的单值指标。PTDR 波形是确定 ERL 的基础,该波形可从 S 参数回波损耗或阶跃 TDR 波形中提取。ERL 的计算由参数驱动,这些参数源自互连与器件规范,从而向统一化规范方向迈进。