




例如我输入了tha,输入法需要判定我真实的目标单词是the/than/that等等。

计算每一个单词的可能性概率值,最大概率的单词优先推送,以此类推。


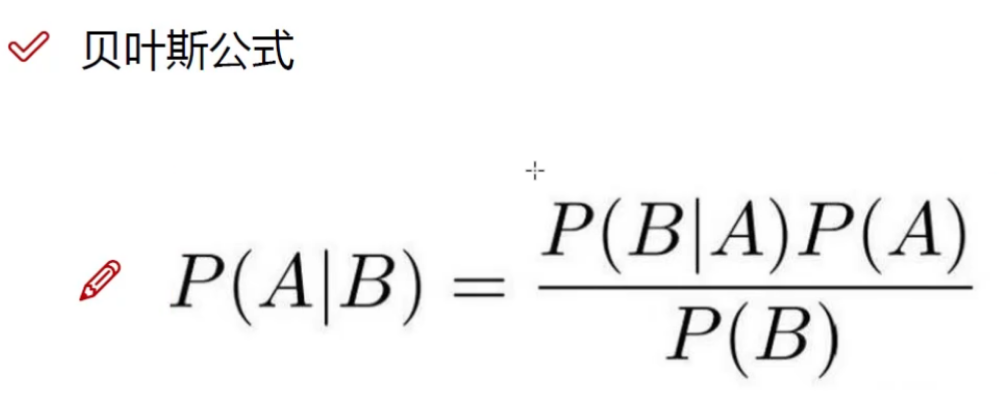
贝叶斯更注重先验概率,而似然注重数据。
如扔十次硬币都是正面,似然认为下一次依旧是正面,而贝叶斯认为下一次正面的概率依然为1/2。






例如我输入了tha,输入法需要判定我真实的目标单词是the/than/that等等。

计算每一个单词的可能性概率值,最大概率的单词优先推送,以此类推。


贝叶斯更注重先验概率,而似然注重数据。
如扔十次硬币都是正面,似然认为下一次依旧是正面,而贝叶斯认为下一次正面的概率依然为1/2。
