题目描述
给你一个链表的头节点 head ,判断链表中是否有环。
如果链表中有某个节点,可以通过连续跟踪 next 指针再次到达,则链表中存在环。 为了表示给定链表中的环,评测系统内部使用整数 pos 来表示链表尾连接到链表中的位置(索引从 0 开始)。注意:pos 不作为参数进行传递 。仅仅是为了标识链表的实际情况。
如果链表中存在环 ,则返回 true 。 否则,返回 false 。
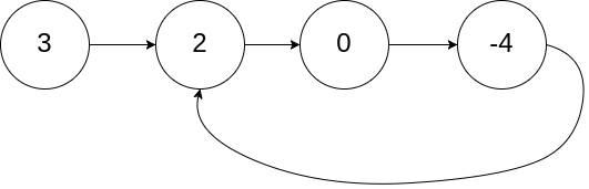
示例 1:

输入: head = [3,2,0,-4], pos = 1
输出: true
解释: 链表中有一个环,其尾部连接到第二个节点。
示例 2:

输入: head = [1,2], pos = 0
输出: true
解释: 链表中有一个环,其尾部连接到第一个节点。
示例 3:

输入: head = [1], pos = -1
输出: false
解释: 链表中没有环。
提示:
链表中节点的数目范围是[0,104]链表中节点的数目范围是 [0, 10^4]链表中节点的数目范围是[0,104]
−105<=Node.val<=105-10^5 <= Node.val <= 10^5−105<=Node.val<=105
pos为−1或者链表中的一个有效索引。pos 为 -1 或者链表中的一个 有效索引 。pos为−1或者链表中的一个有效索引。
思路
使用快慢指针:
1 如果相遇,证明有环。
2 如果到达nullptr,证明无环。
代码
cpp
/**
* Definition for singly-linked list.
* struct ListNode {
* int val;
* ListNode *next;
* ListNode(int x) : val(x), next(NULL) {}
* };
*/
class Solution {
public:
bool hasCycle(ListNode *head) {
if(head == nullptr) return false;
ListNode *fast = head;
ListNode *slow = head;
while(fast->next != nullptr && fast->next->next != nullptr)
{
fast = fast->next->next;
slow = slow->next;
if(slow == fast)return true;
}
return false;
}
};