散粒噪声的电压密度源于其物理机制与电路参数的定量关系,具体推导如下:
1. 散粒噪声的核心公式
散粒噪声由载流子(电子/空穴)的离散性和随机性引起,其电流噪声功率谱密度为:
SI(f)=2qI
其中 q=1.6×10−19C(电子电荷),I 为平均直流电流(A),f 为频率(Hz)。该噪声在低频至中频范围内表现为白噪声(频谱均匀)。
2. 电压噪声密度的推导
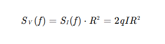
电压噪声密度需结合电路中的电阻 R 计算。根据欧姆定律,电压噪声功率谱密度为:

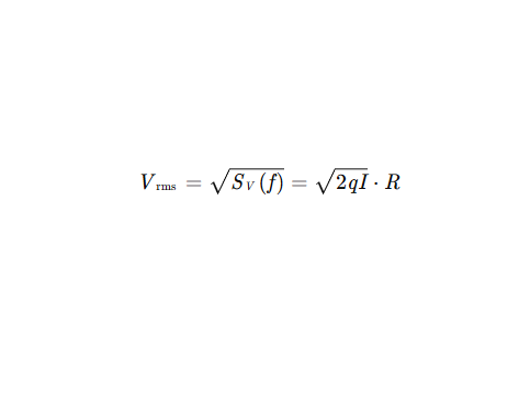
电压噪声密度(均方根值)则为:

3. 公式计算
该数值通常出现在特定电路条件或器件参数下,例如:
- 运算放大器输入噪声:在低噪声运放中,输入电压噪声密度可能包含散粒噪声贡献。例如,当运放的输入偏置电流 IB=1μA,反馈电阻 Rf=1kΩ 时:

实际值可能因器件工艺、温度或附加噪声(如热噪声)略有差异。
- 光电二极管应用:在光电探测电路中,光电流 Iph 产生的散粒噪声电压密度为:

若 Iph=10μA,负载电阻 RL=100Ω:

- 半导体器件特性:在MOSFET或双极晶体管中,散粒噪声可能与材料缺陷、表面态或工艺参数相关。
4. 实际测量与影响因素
- 实验验证:通过示波器或频谱分析仪测量电路噪声时,需考虑带宽 Δf 和采样率。例如,若测量带宽为 1Hz,则噪声电压均方根值为 2.2nV。
- 抑制方法:降低电流 I、选用低噪声电阻(如金属膜电阻)、优化电路布局(如减少寄生电容)或采用数字滤波技术可减小散粒噪声影响。
- 与其他噪声的区分:散粒噪声与热噪不同,后者与温度 T 和电阻 R 直接相关,而散粒噪声与电流 I 和载流子离散性相关。
总结
电压密度是散粒噪声在特定电路参数(如电流、电阻、带宽)下的量化表现,其本质源于载流子的泊松统计特性。实际值可能因器件工艺、温度、偏置条件或附加噪声源(如热噪声、1/f噪声)略有偏差,需结合具体电路设计进行精确计算或测量验证。