目录
[single recursion和multi recursion](#single recursion和multi recursion)
认识递归
递归的定义
计算机科学中,递归是一种解决计算问题的方法,其中解决方案取决于同一类问题的更小子集
三个重点,如下
- 自己调用自己,如果每个函数对应着一种解决方案,那么自己调用自己代表着解决方案一样
- 每次调用,函数处理的数据量和上次比较会缩减,且最后会缩减至无需继续递归(即要有结束条件)
- 子集(内层函数)处理完成,外层函数才能算是调用完成
利用递归实现几个小案例
链表的遍历
java
package algorithm.list;
import java.util.function.Consumer;
/**
* 这里主要介绍两种遍历方法
* 1、方式一:通过Consumer函数式接口
* 2、方式二:递归
*/
public class ListForEach {
public static void main(String[] args) {
// 获取到链表的头节点,然后进行遍历
Node head = getHead();
// 遍历方式一
foreachOneWay(head, System.out::println);
System.out.println("-------------");
// 遍历方式二
foreachTwoWay(head);
}
/**
* 遍历方式一:通过调用方控制,传入一个函数式接口
*/
public static void foreachOneWay(Node head, Consumer<Integer> consumer) {
if (head == null) return;
for (Node p = head; p != null; ) {
consumer.accept(p.val);
p = p.next;
}
}
/**
* 遍历方式二:递归
*/
public static void foreachTwoWay(Node head) {
if (head == null) return;
recursion(head);
}
/**
* 递归函数
*/
private static void recursion(Node curr) {
if (curr == null)
return;
System.out.println(curr.val);
recursion(curr.next);
// 如果在这里打印,就是倒序遍历的结果
// System.out.println(curr.val);
}
/**
* 返回链表的头节点
*/
public static Node getHead() {
Node head = new Node(5);
Node node1 = new Node(2);
head.next = node1;
Node node2 = new Node(1);
node1.next = node2;
Node node3 = new Node(3);
node2.next = node3;
Node node4 = new Node(4);
node3.next = node4;
return head;
}
private static class Node {
int val;
Node next;
public Node() {
}
public Node(int val) {
this.val = val;
}
public Node(int val, Node next) {
this.val = val;
this.next = next;
}
}
}
反转字符串
java
package algorithm.recursion;
/**
* 通过递归的方式反转字符串
*/
public class ReserveString {
public static void main(String[] args) {
String oldData = "zxvcd463c3iou";
String newData = reserveString(oldData);
System.out.println(newData);
}
/**
* 实现字符串的反转
* 返回值是一个新的字符串,是参数反转后的结果
*/
public static String reserveString(String data) {
if (data == null || data.length() == 0)
return data;
StringBuilder result = recursion(new StringBuilder(), data, 0);
return result.toString();
}
/**
* 递归函数
*/
private static StringBuilder recursion(StringBuilder builder, String data, int index) {
if (index >= data.length()) {
return builder;
}
recursion(builder, data, index + 1);
builder.append(data.charAt(index));
return builder;
}
}
求N的阶乘
java
package algorithm.recursion;
public class Factorial {
public static void main(String[] args) {
for (int i = 0; i < 10; i++) {
System.out.println(factorial(i));
}
}
/**
* 求非负整数的阶乘
*/
public static int factorial(int n) {
if (n < 0) {
throw new IllegalArgumentException("非法参数");
}
if (n == 0 || n == 1) {
return 1;
}
return n * factorial(n - 1);
}
}
思路总结
- 确定能否使用递归进行求解
- 推导出递推关系,即父问题和子问题的关系以及递归的结束条件
多路递归
single recursion和multi recursion
- 上述使用递归实现的几个小案例中,都是每个递归函数只包含一个自身的调用,称之为单路递归(single recursion)
- 如果每个递归函数包含多个自身调用,称为多路递归(multi recursion)
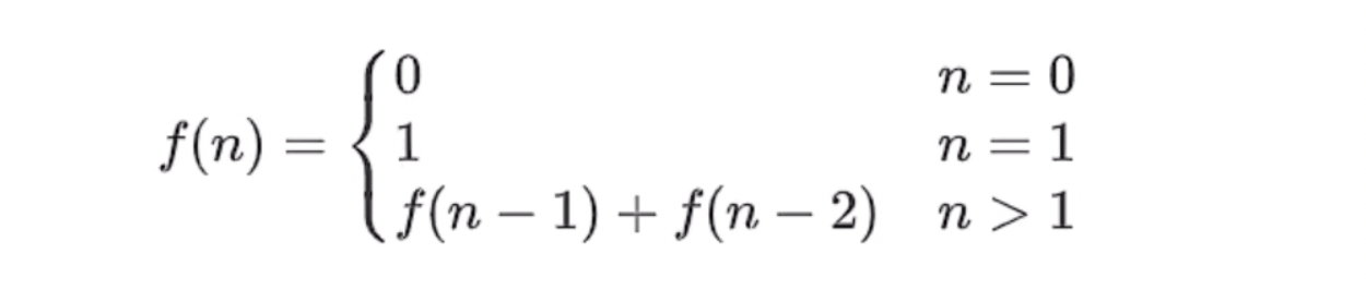
斐波那契数列
递推公式

编码实现
java
package algorithm.recursion;
/**
* 斐波那契数列:每一个数字等于前两项数字之和
*/
public class FibonacciSequence {
public static void main(String[] args) {
// 展示前12项数字
for (int i = 0; i < 13; i++) {
System.out.print(fibonacciSequence(i) + "\t");
}
}
/**
* 获取第n项数字
*/
public static int fibonacciSequence(int n) {
if (n < 0) {
throw new IllegalArgumentException("参数异常");
}
return recursion(n);
}
/**
* 递归函数
*/
private static int recursion(int n) {
if (n == 0 || n == 1) {
return n;
}
// 这里就是多路递归(multi recursion)
return recursion(n - 1) + recursion(n - 2);
}
}
代码优化
优化思路:使用缓存进行优化,记忆法空间换时间
java
package algorithm.recursion;
import java.util.HashMap;
import java.util.Map;
/**
* 斐波那契数列:每一个数字等于前两项数字之和
*/
public class FibonacciSequence {
// 缓存:key为第n项,value为第n项的值
private static final Map<Integer, Integer> cache = new HashMap<>();
public static void main(String[] args) {
// 展示前12项数字
for (int i = 0; i < 13; i++) {
System.out.print(fibonacciSequence(i) + "\t");
}
}
/**
* 获取第n项数字
*/
public static int fibonacciSequence(int n) {
if (n < 0) {
throw new IllegalArgumentException("参数异常");
}
return recursion(n);
}
/**
* 递归函数
*/
private static int recursion(int n) {
if (n == 0 || n == 1) {
return n;
}
// 查缓存,如果缓存中有第n项的数字,直接返回
Integer numOfN = cache.get(n);
if (numOfN != null) {
return numOfN;
}
// 缓存中没有,就计算第n项的数字
numOfN = recursion(n - 1) + recursion(n - 2);
// 将第n项的数字放入缓存中
cache.put(n, numOfN);
// 这里就是多路递归(multi recursion)
return numOfN;
}
}
LeetCode-70题
题解
java
class Solution {
// 缓存
private Map<Integer, Integer> climbStairsCache = new HashMap<>();
public int climbStairs(int n) {
// 递归结束条件
if (n <= 2)
return n;
//查缓存
Integer nr = climbStairsCache.get(n);
if (nr != null)
return nr;
// 多路递归
nr = climbStairs(n - 1) + climbStairs(n - 2);
// 放入缓存
climbStairsCache.put(n, nr);
return nr;
}
}
测试结果
