概念:
红黑树是一颗搜索二叉树,他的每一个结点增加一个存储位来表示结点的颜色,红色或者黑色。
通过对颜色进行约束,确保没有一条路径会比其他路径长处2倍,是接近平衡的
规则:
1)结点不是红色就是黑色
2)根节点是黑色的
3)任意一条路径不会有连续的红色结点,如果一个结点是红色,则它的两个孩子结点必须是黑色
4)对任意一个结点,从这个结点到它所有NULL结点的简单路径上,都包含相同数量的黑色结点

效率:
N:结点数量
h:最短路径长度

h约等于logN,红黑树增删查改时间复杂度还是O(logN)
红黑树通过规则约束平衡
插入 O(log(N)):
按二叉搜索树的规则插入,符合四条规则即可
空树插入,新增结点是黑色结点;非空结点插入,新增结点是红色结点
非空结点插入,新增结点是红色结点
如果父亲结点是黑色,则符合规则,插入结束
如果父节点是红色,要进一步分析
分析情况:
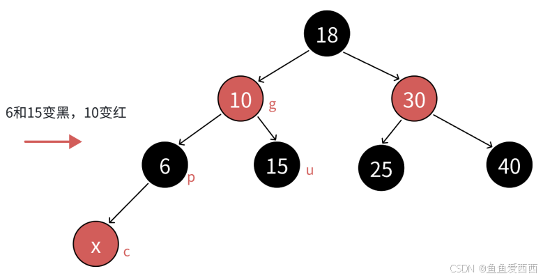
情况1:
只变色,不旋转,c为左右孩子,p为左右孩子是一样的
c:新增结点
p:c的父亲标识
g:p的父亲标识
u:p的兄弟标识

把p和u变黑,左边子树路径各增加一个黑色结点
g变红,保持g所在子树的黑色结点的数量不变,同时解决c,p红色结点连续的问题
把g当作c继续向上更新
向上更新:g为红色,g的父亲也为红色,就还需要继续处理;
g的父亲为黑色,处理结束
g为整棵树的根节点,把g变回黑色


情况2:a
单转+变色
u不存在则c为新增结点
u存在且为黑,则c一定不是新增,c之前为黑色,是在c的子树中插入,符合情况1,是将c从黑色变为红色更新上来的
分析:p变黑解决连续红色结点的问题,u不存在且为黑,需要旋转+变色才能解决问题


不需要向上更新,p的父节点是红色还是黑色都可以

不需要向上更新,p的父节点是红色还是黑色都可以
情况2:b
双旋+变色
g
p (u)
c
u不存在c一定是新增结点;u存在且为黑,c一定不是新增结点,c之前是黑色的,是在c的子树中插入,符合情况1,是将c从黑色变成红色更新上来的
分析:p变黑,解决连续红色结点的问题
u不存在且为黑,需要旋转+变色解决
以p为旋转点进行左单旋,再以g为旋转点进行右单旋
把c变黑,g变红
c变成这棵树新的根
不需要向上更新,c的父节点是红是黑都不违反规则

以p为旋转点进行右单旋,再以g为旋转点进行左单旋
把c变黑,g变红
c变成这棵树新的根
不需要向上更新,c的父节点是红是黑都不违反规则

查找:
按照二叉搜索树逻辑实现
效率为O(logN)
验证:
我们去检查红黑树的四条规则
规则3前序遍历
规则4前序遍历用形参记录到当前结点的黑色结点数量,走到NULL,算处黑色结点的总个数,再选一条路径比较黑色结点数量,依次比较
空树也是红黑树。树中的空指针域为叶子结点,空树也是有节点的
红黑树也是二叉搜索树,按照中序遍历得到有序序列